Номер 48.21, страница 195, часть 2 - гдз по алгебре 10-11 класс задачник Мордкович, Семенов


Авторы: Мордкович А. Г., Семенов П. В., Денищева Л. О., Корешкова Т. А., Мишустина Т. Н., Тульчинская Е. Е.
Тип: Задачник
Издательство: Мнемозина
Год издания: 2019 - 2025
Уровень обучения: базовый
Часть: 2
Цвет обложки:
ISBN: 978-5-346-04509-0 (общ.), 978-5-346-04510-6 (ч. 1), 978-5-346-04511-3 (ч. 2)
Рекомендовано Министерством образования и науки Российской Федерации
Математика: алгебра и начала математического анализа, геометрия
Популярные ГДЗ в 10 классе
§48. Первообразная. Глава 8. Первообразная и интеграл. ч. 2 - номер 48.21, страница 195.
№48.21 (с. 195)
Условие. №48.21 (с. 195)
скриншот условия

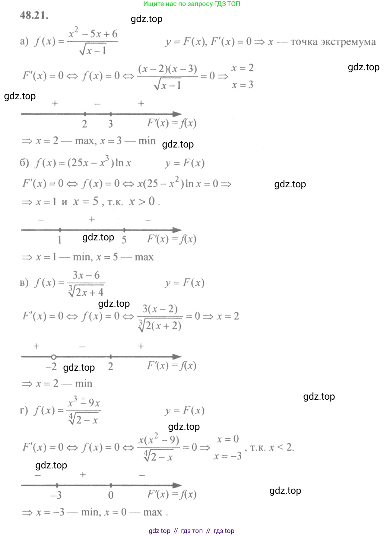
48.21 Известно, что функция $y = F(x)$ является первообразной для функции $y = f(x)$. Найдите точки экстремума функции $y = F(x)$, если:
а) $f(x) = \frac{x^2 - 5x + 6}{\sqrt{x - 1}}$
б) $f(x) = (25x - x^3) \ln x$
в) $f(x) = \frac{3x - 6}{\sqrt[3]{2x + 4}}$
г) $f(x) = \frac{x^3 - 9x}{\sqrt[4]{2 - x}}$
Решение 1. №48.21 (с. 195)

Решение 2. №48.21 (с. 195)



Решение 5. №48.21 (с. 195)



Решение 6. №48.21 (с. 195)
По условию, функция $y = F(x)$ является первообразной для функции $y = f(x)$. Это означает, что производная функции $F(x)$ равна $f(x)$, то есть $F'(x) = f(x)$.
Точки экстремума функции $F(x)$ – это точки из области определения функции $F(x)$, в которых ее производная $F'(x)$ (то есть $f(x)$) равна нулю или не существует, и при переходе через которые производная меняет свой знак. Точки, в которых производная равна нулю или не существует, называются критическими точками.
Таким образом, чтобы найти точки экстремума функции $F(x)$, нужно:
- Найти область определения функции $f(x)$, которая будет являться областью определения и для $F(x)$.
- Найти критические точки функции $F(x)$, решив уравнение $f(x) = 0$ и найдя точки, в которых $f(x)$ не существует.
- Определить знаки функции $f(x)$ на интервалах, на которые область определения разбивается критическими точками.
- Сделать вывод о наличии и характере экстремумов. Если в критической точке $x_0$ производная $F'(x)=f(x)$ меняет знак с «+» на «−», то $x_0$ — точка максимума. Если с «−» на «+», то $x_0$ — точка минимума.
а) $f(x) = \frac{x^2 - 5x + 6}{\sqrt{x - 1}}$
1. Область определения: знаме-натель не должен быть равен нулю и подкоренное выражение должно быть положительным. $x - 1 > 0 \implies x > 1$. Область определения $D(f) = (1; +\infty)$.
2. Критические точки: найдем точки, где $f(x) = 0$. $\frac{x^2 - 5x + 6}{\sqrt{x - 1}} = 0$ $x^2 - 5x + 6 = 0$ Решая квадратное уравнение, получаем корни $x_1 = 2$ и $x_2 = 3$. Оба корня принадлежат области определения $(1; +\infty)$. Функция $f(x)$ не существует при $x \le 1$, но эти точки не являются внутренними для области определения. Таким образом, критические точки: $x=2$ и $x=3$.
3. Знаки производной: знаменатель $\sqrt{x-1}$ всегда положителен в области определения. Следовательно, знак $f(x)$ совпадает со знаком числителя $x^2 - 5x + 6 = (x-2)(x-3)$. Это парабола с ветвями вверх.
- При $x \in (1; 2)$, $f(x) > 0$.
- При $x \in (2; 3)$, $f(x) < 0$.
- При $x \in (3; +\infty)$, $f(x) > 0$.
4. Выводы:
- В точке $x=2$ производная $F'(x)=f(x)$ меняет знак с «+» на «−», следовательно, $x=2$ — точка максимума.
- В точке $x=3$ производная $F'(x)=f(x)$ меняет знак с «−» на «+», следовательно, $x=3$ — точка минимума.
Ответ: $x_{max} = 2$, $x_{min} = 3$.
б) $f(x) = (25x - x^3) \ln x$
1. Область определения: из-за наличия $\ln x$, требуется $x > 0$. $D(f) = (0; +\infty)$.
2. Критические точки: $f(x) = 0$. $(25x - x^3) \ln x = 0$ $x(25 - x^2) \ln x = 0$ $x(5-x)(5+x) \ln x = 0$ Возможные корни: $x=0$, $x=5$, $x=-5$, $\ln x = 0 \implies x=1$. Учитывая область определения $x > 0$, получаем критические точки $x=1$ и $x=5$.
3. Знаки производной: на области определения $(0; +\infty)$ множители $x$ и $(5+x)$ всегда положительны. Знак $f(x)$ определяется знаком выражения $(5-x)\ln x$.
- При $x \in (0; 1)$: $5-x > 0$, $\ln x < 0$. Значит, $f(x) < 0$.
- При $x \in (1; 5)$: $5-x > 0$, $\ln x > 0$. Значит, $f(x) > 0$.
- При $x \in (5; +\infty)$: $5-x < 0$, $\ln x > 0$. Значит, $f(x) < 0$.
4. Выводы:
- В точке $x=1$ производная меняет знак с «−» на «+», следовательно, $x=1$ — точка минимума.
- В точке $x=5$ производная меняет знак с «+» на «−», следовательно, $x=5$ — точка максимума.
Ответ: $x_{min} = 1$, $x_{max} = 5$.
в) $f(x) = \frac{3x - 6}{\sqrt[3]{2x + 4}}$
1. Область определения: кубический корень определен для любых чисел, но знаменатель не может быть равен нулю. $2x + 4 \neq 0 \implies x \neq -2$. $D(f) = (-\infty; -2) \cup (-2; +\infty)$.
2. Критические точки: $f(x) = 0 \implies 3x - 6 = 0 \implies x = 2$. $f(x)$ не существует при $2x+4=0 \implies x=-2$. Критические точки: $x=-2$ и $x=2$.
3. Знаки производной: знак $f(x)$ зависит от знаков числителя $(3x-6)$ и знаменателя $\sqrt[3]{2x+4}$ (знак которого совпадает со знаком $2x+4$).
- При $x \in (-\infty; -2)$: числитель $3x-6 < 0$, знаменатель $2x+4 < 0$. $f(x) = \frac{-}{-} > 0$.
- При $x \in (-2; 2)$: числитель $3x-6 < 0$, знаменатель $2x+4 > 0$. $f(x) = \frac{-}{+} < 0$.
- При $x \in (2; +\infty)$: числитель $3x-6 > 0$, знаменатель $2x+4 > 0$. $f(x) = \frac{+}{+} > 0$.
4. Выводы:
- В точке $x=-2$ производная меняет знак с «+» на «−», следовательно, $x=-2$ — точка максимума.
- В точке $x=2$ производная меняет знак с «−» на «+», следовательно, $x=2$ — точка минимума.
Ответ: $x_{max} = -2$, $x_{min} = 2$.
г) $f(x) = \frac{x^3 - 9x}{\sqrt[4]{2 - x}}$
1. Область определения: выражение под корнем четной степени в знаменателе должно быть строго положительным. $2 - x > 0 \implies x < 2$. $D(f) = (-\infty; 2)$.
2. Критические точки: $f(x) = 0$. $x^3 - 9x = 0$ $x(x^2-9) = 0$ $x(x-3)(x+3) = 0$ Корни: $x=0$, $x=3$, $x=-3$. Проверяем принадлежность области определения $(-\infty; 2)$: $x=0$ — принадлежит. $x=3$ — не принадлежит. $x=-3$ — принадлежит. Критические точки: $x=-3$ и $x=0$.
3. Знаки производной: знаменатель $\sqrt[4]{2-x}$ всегда положителен на области определения. Знак $f(x)$ совпадает со знаком числителя $x^3-9x = x(x-3)(x+3)$.
- При $x \in (-\infty; -3)$: $x<0$, $x-3<0$, $x+3<0$. $f(x)$ имеет знак $(-)(-)(-) = -$.
- При $x \in (-3; 0)$: $x<0$, $x-3<0$, $x+3>0$. $f(x)$ имеет знак $(-)(-)(+) = +$.
- При $x \in (0; 2)$: $x>0$, $x-3<0$, $x+3>0$. $f(x)$ имеет знак $(+)(-)(+) = -$.
4. Выводы:
- В точке $x=-3$ производная меняет знак с «−» на «+», следовательно, $x=-3$ — точка минимума.
- В точке $x=0$ производная меняет знак с «+» на «−», следовательно, $x=0$ — точка максимума.
Ответ: $x_{min} = -3$, $x_{max} = 0$.
Другие задания:
Помогло решение? Оставьте отзыв в комментариях ниже.
Мы подготовили для вас ответ c подробным объяснением домашего задания по алгебре за 10-11 класс, для упражнения номер 48.21 расположенного на странице 195 для 2-й части к задачнику 2019 года издания для учащихся школ и гимназий.
Теперь на нашем сайте ГДЗ.ТОП вы всегда легко и бесплатно найдёте условие с правильным ответом на вопрос «Как решить ДЗ» и «Как сделать» задание по алгебре к упражнению №48.21 (с. 195), авторов: Мордкович (Александр Григорьевич), Семенов (Павел Владимирович), Денищева (Лариса Олеговна), Корешкова (Т А), Мишустина (Татьяна Николаевна), Тульчинская (Елена Ефимовна), 2-й части ФГОС (старый) базовый уровень обучения учебного пособия издательства Мнемозина.