Страница 124, часть 2 - гдз по алгебре 10-11 класс задачник часть 1, 2 Мордкович, Семенов


Авторы: Мордкович А. Г., Семенов П. В., Денищева Л. О., Корешкова Т. А., Мишустина Т. Н., Тульчинская Е. Е.
Тип: Задачник
Издательство: Мнемозина
Год издания: 2019 - 2025
Уровень обучения: базовый
Часть: 2
Цвет обложки:
ISBN: 978-5-346-04509-0 (общ.), 978-5-346-04510-6 (ч. 1), 978-5-346-04511-3 (ч. 2)
Рекомендовано Министерством образования и науки Российской Федерации
Математика: алгебра и начала математического анализа, геометрия
Популярные ГДЗ в 10 классе
ч. 2. Cтраница 124

№32.4 (с. 124)
Условие. №32.4 (с. 124)
скриншот условия

32.4 a) $y = \sqrt{x}$, $[0; 9];$
б) $y = \sqrt{-x}$, $[-4; 0];$
в) $y = -\sqrt{x}$, $[4; 16];$
г) $y = -\sqrt{-x}$, $[-9; -4].$
Решение 1. №32.4 (с. 124)

Решение 2. №32.4 (с. 124)


Решение 3. №32.4 (с. 124)

Решение 5. №32.4 (с. 124)


Решение 6. №32.4 (с. 124)
а) Чтобы найти область значений функции $y = \sqrt{x}$ на отрезке $[0; 9]$, нужно определить ее наименьшее и наибольшее значения на этом отрезке.
Функция $y = \sqrt{x}$ является монотонно возрастающей на всей своей области определения ($x \ge 0$). Следовательно, на отрезке $[0; 9]$ она принимает свое наименьшее значение в левой границе отрезка, а наибольшее — в правой.
Найдем значения функции на концах отрезка:
Наименьшее значение: $y_{наим} = y(0) = \sqrt{0} = 0$.
Наибольшее значение: $y_{наиб} = y(9) = \sqrt{9} = 3$.
Таким образом, область значений функции на данном отрезке — это все числа от 0 до 3 включительно, то есть отрезок $[0; 3]$.
Ответ: $[0; 3]$.
б) Рассмотрим функцию $y = \sqrt{-x}$ на отрезке $[-4; 0]$.
Область определения этой функции задается условием $-x \ge 0$, что эквивалентно $x \le 0$. Заданный отрезок $[-4; 0]$ входит в область определения.
Функция $y = \sqrt{-x}$ является монотонно убывающей на всей своей области определения. Это происходит потому, что с увеличением $x$ (например, от -4 до 0) подкоренное выражение $-x$ уменьшается (от 4 до 0), а значит, и значение корня уменьшается.
Следовательно, на отрезке $[-4; 0]$ функция принимает наибольшее значение в левой границе отрезка, а наименьшее — в правой.
Найдем значения функции на концах отрезка:
Наибольшее значение: $y_{наиб} = y(-4) = \sqrt{-(-4)} = \sqrt{4} = 2$.
Наименьшее значение: $y_{наим} = y(0) = \sqrt{-0} = \sqrt{0} = 0$.
Таким образом, область значений функции на данном отрезке — это все числа от 0 до 2 включительно, то есть отрезок $[0; 2]$.
Ответ: $[0; 2]$.
в) Рассмотрим функцию $y = -\sqrt{x}$ на отрезке $[4; 16]$.
Функция $f(x) = \sqrt{x}$ является возрастающей. Так как перед корнем стоит знак минус, функция $y = -\sqrt{x}$ является монотонно убывающей на всей своей области определения ($x \ge 0$).
Следовательно, на отрезке $[4; 16]$ функция принимает наибольшее значение в левой границе отрезка, а наименьшее — в правой.
Найдем значения функции на концах отрезка:
Наибольшее значение: $y_{наиб} = y(4) = -\sqrt{4} = -2$.
Наименьшее значение: $y_{наим} = y(16) = -\sqrt{16} = -4$.
Таким образом, область значений функции на данном отрезке — это все числа от -4 до -2 включительно, то есть отрезок $[-4; -2]$.
Ответ: $[-4; -2]$.
г) Рассмотрим функцию $y = -\sqrt{-x}$ на отрезке $[-9; -4]$.
Область определения этой функции: $x \le 0$. Заданный отрезок $[-9; -4]$ входит в область определения.
Функция $f(x) = \sqrt{-x}$ является убывающей (как показано в пункте б). Так как перед ней стоит знак минус, то функция $y = -\sqrt{-x}$ является монотонно возрастающей. То есть, с увеличением $x$ (от -9 до -4) значение функции также увеличивается (от -3 до -2).
Следовательно, на отрезке $[-9; -4]$ функция принимает наименьшее значение в левой границе отрезка, а наибольшее — в правой.
Найдем значения функции на концах отрезка:
Наименьшее значение: $y_{наим} = y(-9) = -\sqrt{-(-9)} = -\sqrt{9} = -3$.
Наибольшее значение: $y_{наиб} = y(-4) = -\sqrt{-(-4)} = -\sqrt{4} = -2$.
Таким образом, область значений функции на данном отрезке — это все числа от -3 до -2 включительно, то есть отрезок $[-3; -2]$.
Ответ: $[-3; -2]$.
№32.8 (с. 124)
Условие. №32.8 (с. 124)
скриншот условия

32.8 Найдите наибольшее и наименьшее значения функции
$y = x^3 - 9x^2 + 24x - 1$ на отрезке:
а) $[-1; 3];$
б) $[3; 6];$
в) $[-2; 3];$
г) $[3; 5].$
Решение 1. №32.8 (с. 124)

Решение 2. №32.8 (с. 124)


Решение 3. №32.8 (с. 124)

Решение 5. №32.8 (с. 124)



Решение 6. №32.8 (с. 124)
Для нахождения наибольшего и наименьшего значений функции $y = x^3 - 9x^2 + 24x - 1$ на заданных отрезках, необходимо сначала найти ее производную и критические точки. Алгоритм решения заключается в том, чтобы вычислить значения функции в критических точках, принадлежащих отрезку, и на концах этого отрезка, а затем выбрать из них наибольшее и наименьшее.
1. Найдем производную функции:
$y' = (x^3 - 9x^2 + 24x - 1)' = 3x^2 - 18x + 24$
2. Найдем критические точки, приравняв производную к нулю:
$3x^2 - 18x + 24 = 0$
Разделим уравнение на 3:
$x^2 - 6x + 8 = 0$
Корни этого квадратного уравнения (по теореме Виета) равны $x_1 = 2$ и $x_2 = 4$. Это критические точки функции.
а) На отрезке $[-1; 3]$
Критическая точка $x=2$ принадлежит отрезку $[-1; 3]$, а точка $x=4$ не принадлежит.
Вычислим значения функции в точках $x=-1$, $x=2$ (критическая точка) и $x=3$:
$y(-1) = (-1)^3 - 9(-1)^2 + 24(-1) - 1 = -1 - 9 - 24 - 1 = -35$
$y(2) = 2^3 - 9(2^2) + 24(2) - 1 = 8 - 36 + 48 - 1 = 19$
$y(3) = 3^3 - 9(3^2) + 24(3) - 1 = 27 - 81 + 72 - 1 = 17$
Сравнивая значения $\{-35, 19, 17\}$, находим, что наибольшее значение функции равно 19, а наименьшее -35.
Ответ: $y_{наиб.} = 19$, $y_{наим.} = -35$.
б) На отрезке $[3; 6]$
Критическая точка $x=4$ принадлежит отрезку $[3; 6]$, а точка $x=2$ не принадлежит.
Вычислим значения функции в точках $x=3$, $x=4$ (критическая точка) и $x=6$:
$y(3) = 3^3 - 9(3^2) + 24(3) - 1 = 17$
$y(4) = 4^3 - 9(4^2) + 24(4) - 1 = 64 - 144 + 96 - 1 = 15$
$y(6) = 6^3 - 9(6^2) + 24(6) - 1 = 216 - 324 + 144 - 1 = 35$
Сравнивая значения $\{17, 15, 35\}$, находим, что наибольшее значение функции равно 35, а наименьшее 15.
Ответ: $y_{наиб.} = 35$, $y_{наим.} = 15$.
в) На отрезке $[-2; 3]$
Критическая точка $x=2$ принадлежит отрезку $[-2; 3]$, а точка $x=4$ не принадлежит.
Вычислим значения функции в точках $x=-2$, $x=2$ (критическая точка) и $x=3$:
$y(-2) = (-2)^3 - 9(-2)^2 + 24(-2) - 1 = -8 - 36 - 48 - 1 = -93$
$y(2) = 2^3 - 9(2^2) + 24(2) - 1 = 19$
$y(3) = 3^3 - 9(3^2) + 24(3) - 1 = 17$
Сравнивая значения $\{-93, 19, 17\}$, находим, что наибольшее значение функции равно 19, а наименьшее -93.
Ответ: $y_{наиб.} = 19$, $y_{наим.} = -93$.
г) На отрезке $[3; 5]$
Критическая точка $x=4$ принадлежит отрезку $[3; 5]$, а точка $x=2$ не принадлежит.
Вычислим значения функции в точках $x=3$, $x=4$ (критическая точка) и $x=5$:
$y(3) = 3^3 - 9(3^2) + 24(3) - 1 = 17$
$y(4) = 4^3 - 9(4^2) + 24(4) - 1 = 15$
$y(5) = 5^3 - 9(5^2) + 24(5) - 1 = 125 - 225 + 120 - 1 = 19$
Сравнивая значения $\{17, 15, 19\}$, находим, что наибольшее значение функции равно 19, а наименьшее 15.
Ответ: $y_{наиб.} = 19$, $y_{наим.} = 15$.
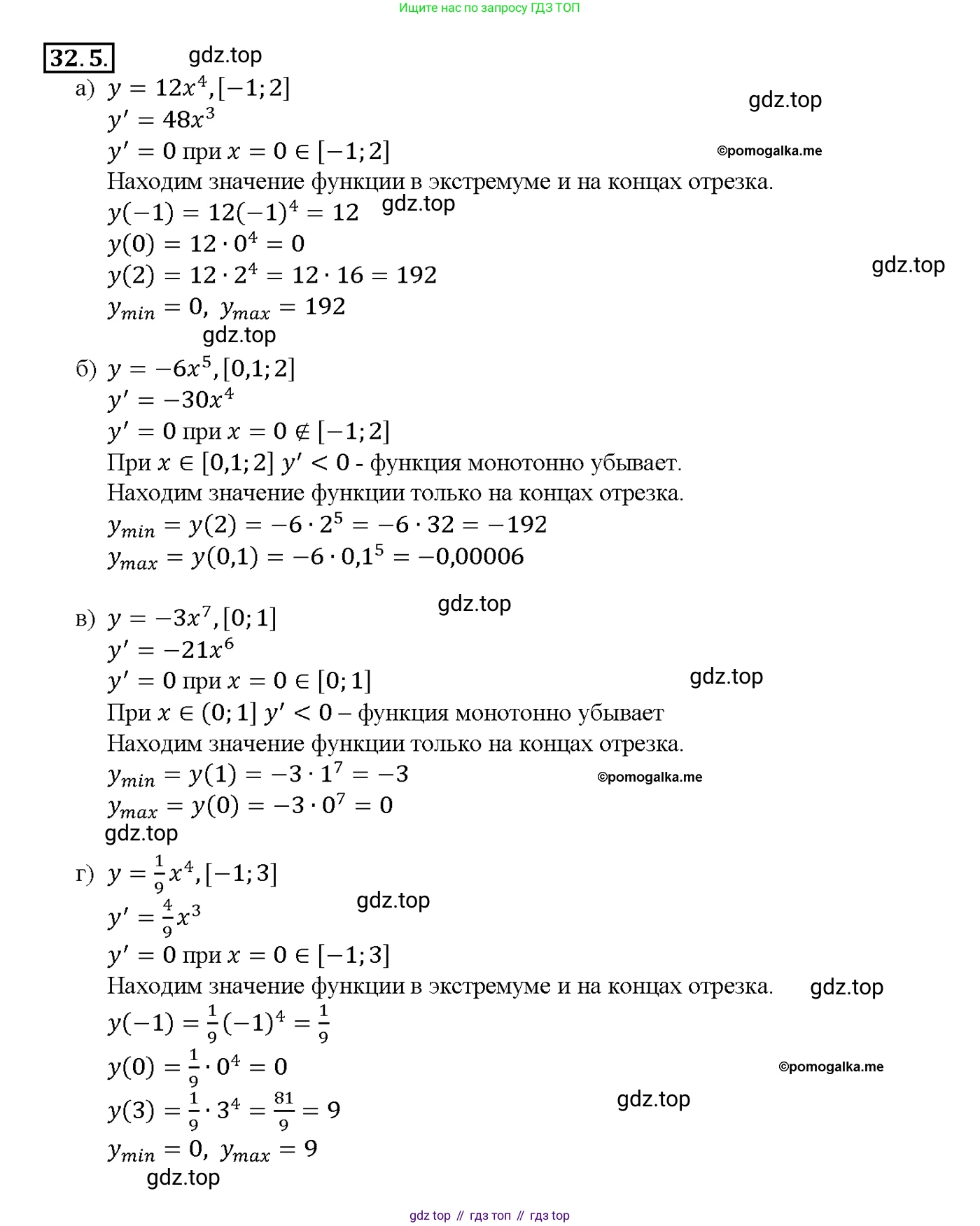
№32.5 (с. 124)
Условие. №32.5 (с. 124)
скриншот условия

32.5 a) $y = 12x^4, [-1; 2];$
Б) $y = -6x^5, [0,1; 2];$
В) $y = -3x^7, [0; 1];$
Г) $y = \frac{1}{9}x^4, [-1; 3].$
Решение 1. №32.5 (с. 124)

Решение 2. №32.5 (с. 124)


Решение 3. №32.5 (с. 124)

Решение 5. №32.5 (с. 124)



Решение 6. №32.5 (с. 124)
Для нахождения наименьшего и наибольшего значений функции $y = 12x^4$ на отрезке $[-1; 2]$ используется следующий алгоритм.
1. Находим производную функции: $y' = (12x^4)' = 12 \cdot 4x^3 = 48x^3$.
2. Находим критические точки, решив уравнение $y' = 0$: $48x^3 = 0$, откуда $x = 0$. Эта точка принадлежит отрезку $[-1; 2]$.
3. Вычисляем значения функции в критической точке и на концах отрезка:$y(0) = 12 \cdot 0^4 = 0$;$y(-1) = 12 \cdot (-1)^4 = 12 \cdot 1 = 12$;$y(2) = 12 \cdot 2^4 = 12 \cdot 16 = 192$.
4. Сравниваем полученные значения: $0$, $12$ и $192$. Наименьшее значение функции на отрезке — $0$, а наибольшее — $192$.
Ответ: наименьшее значение $y_{наим} = 0$, наибольшее значение $y_{наиб} = 192$.
б)Найдем наименьшее и наибольшее значения функции $y = -6x^5$ на отрезке $[0; 2]$. (Примечание: запись интервала в условии $[0,1; 2]$ является нестандартной, поэтому предполагается, что имелся в виду отрезок $[0; 2]$).
1. Находим производную функции: $y' = (-6x^5)' = -6 \cdot 5x^4 = -30x^4$.
2. Находим критические точки из уравнения $y' = 0$: $-30x^4 = 0$, откуда $x=0$. Эта точка совпадает с левым концом заданного отрезка.
3. Поскольку производная $y' = -30x^4 \le 0$ для всех действительных $x$, функция является невозрастающей (убывающей) на всей числовой прямой. Следовательно, на отрезке $[0; 2]$ наибольшее значение достигается в левой граничной точке ($x=0$), а наименьшее — в правой ($x=2$).
4. Вычисляем значения функции на концах отрезка:$y(0) = -6 \cdot 0^5 = 0$;$y(2) = -6 \cdot 2^5 = -6 \cdot 32 = -192$.
Ответ: наименьшее значение $y_{наим} = -192$, наибольшее значение $y_{наиб} = 0$.
в)Найдем наименьшее и наибольшее значения функции $y = -3x^7$ на отрезке $[0; 1]$.
1. Находим производную функции: $y' = (-3x^7)' = -3 \cdot 7x^6 = -21x^6$.
2. Критическая точка находится из условия $y' = 0$: $-21x^6 = 0$, что дает $x=0$. Эта точка является левым концом отрезка.
3. Производная $y' = -21x^6$ неположительна ($y' \le 0$) для всех $x$, поэтому функция является невозрастающей. На отрезке $[0; 1]$ наибольшее значение будет в точке $x=0$, а наименьшее — в точке $x=1$.
4. Вычисляем значения на концах отрезка:$y(0) = -3 \cdot 0^7 = 0$;$y(1) = -3 \cdot 1^7 = -3$.
Ответ: наименьшее значение $y_{наим} = -3$, наибольшее значение $y_{наиб} = 0$.
г)Найдем наименьшее и наибольшее значения функции $y = \frac{1}{9}x^4$ на отрезке $[-1; 3]$.
1. Находим производную функции: $y' = (\frac{1}{9}x^4)' = \frac{1}{9} \cdot 4x^3 = \frac{4}{9}x^3$.
2. Находим критические точки, решив уравнение $y' = 0$: $\frac{4}{9}x^3 = 0$, откуда $x=0$. Эта точка принадлежит отрезку $[-1; 3]$.
3. Вычисляем значения функции в критической точке $x=0$ и на концах отрезка $x=-1$ и $x=3$:$y(0) = \frac{1}{9} \cdot 0^4 = 0$;$y(-1) = \frac{1}{9} \cdot (-1)^4 = \frac{1}{9}$;$y(3) = \frac{1}{9} \cdot 3^4 = \frac{1}{9} \cdot 81 = 9$.
4. Сравнивая полученные значения $0$, $\frac{1}{9}$ и $9$, заключаем, что наименьшее значение функции равно $0$, а наибольшее равно $9$.
Ответ: наименьшее значение $y_{наим} = 0$, наибольшее значение $y_{наиб} = 9$.
№32.9 (с. 124)
Условие. №32.9 (с. 124)
скриншот условия

32.9 Найдите наибольшее и наименьшее значения функции
$y = x^3 + 3x^2 - 45x - 2$ на отрезке:
a) $[-6; 0];$
б) $[1; 2];$
в) $[-6; -1];$
г) $[0; 2].$
Решение 1. №32.9 (с. 124)

Решение 2. №32.9 (с. 124)


Решение 3. №32.9 (с. 124)

Решение 5. №32.9 (с. 124)



Решение 6. №32.9 (с. 124)
Для нахождения наибольшего и наименьшего значений функции на отрезке необходимо сначала найти критические точки функции, а затем сравнить значения функции в этих точках (если они принадлежат отрезку) и на концах отрезка.
Дана функция $y = x^3 + 3x^2 - 45x - 2$.
1. Найдем производную функции:
$y' = (x^3 + 3x^2 - 45x - 2)' = 3x^2 + 6x - 45$.
2. Найдем критические точки, приравняв производную к нулю:
$3x^2 + 6x - 45 = 0$
Разделим уравнение на 3:
$x^2 + 2x - 15 = 0$
Решая это квадратное уравнение (например, по теореме Виета или через дискриминант), находим корни:
$(x+5)(x-3) = 0$
Критические точки: $x_1 = -5$ и $x_2 = 3$.
Теперь рассмотрим каждый отрезок отдельно.
а) На отрезке $[-6; 0]$
Критическая точка $x = -5$ принадлежит этому отрезку, а точка $x = 3$ — нет.
Вычислим значения функции на концах отрезка ($x=-6$, $x=0$) и в критической точке $x=-5$:
- $y(-6) = (-6)^3 + 3(-6)^2 - 45(-6) - 2 = -216 + 3 \cdot 36 + 270 - 2 = -216 + 108 + 270 - 2 = 160$
- $y(-5) = (-5)^3 + 3(-5)^2 - 45(-5) - 2 = -125 + 3 \cdot 25 + 225 - 2 = -125 + 75 + 225 - 2 = 173$
- $y(0) = 0^3 + 3 \cdot 0^2 - 45 \cdot 0 - 2 = -2$
Сравнивая полученные значения $\{160, 173, -2\}$, заключаем, что наибольшее значение равно 173, а наименьшее — -2.
Ответ: наибольшее значение 173, наименьшее значение -2.
б) На отрезке $[1; 2]$
Ни одна из критических точек ($x = -5$, $x = 3$) не принадлежит этому отрезку.
Следовательно, наибольшее и наименьшее значения достигаются на концах отрезка. Вычислим их:
- $y(1) = 1^3 + 3 \cdot 1^2 - 45 \cdot 1 - 2 = 1 + 3 - 45 - 2 = -43$
- $y(2) = 2^3 + 3 \cdot 2^2 - 45 \cdot 2 - 2 = 8 + 12 - 90 - 2 = -72$
Сравнивая значения $\{-43, -72\}$, видим, что наибольшее значение равно -43, а наименьшее — -72.
Ответ: наибольшее значение -43, наименьшее значение -72.
в) На отрезке $[-6; -1]$
Критическая точка $x = -5$ принадлежит этому отрезку, а точка $x = 3$ — нет.
Вычислим значения функции на концах отрезка ($x=-6$, $x=-1$) и в критической точке $x=-5$:
- $y(-6) = 160$ (вычислено в пункте а))
- $y(-5) = 173$ (вычислено в пункте а))
- $y(-1) = (-1)^3 + 3(-1)^2 - 45(-1) - 2 = -1 + 3 + 45 - 2 = 45$
Среди значений $\{160, 173, 45\}$ наибольшее равно 173, а наименьшее — 45.
Ответ: наибольшее значение 173, наименьшее значение 45.
г) На отрезке $[0; 2]$
Ни одна из критических точек ($x = -5$, $x = 3$) не принадлежит этому отрезку.
Вычисляем значения функции на концах отрезка $x=0$ и $x=2$:
- $y(0) = -2$ (вычислено в пункте а))
- $y(2) = -72$ (вычислено в пункте б))
Сравнивая значения $\{-2, -72\}$, видим, что наибольшее значение равно -2, а наименьшее — -72.
Ответ: наибольшее значение -2, наименьшее значение -72.
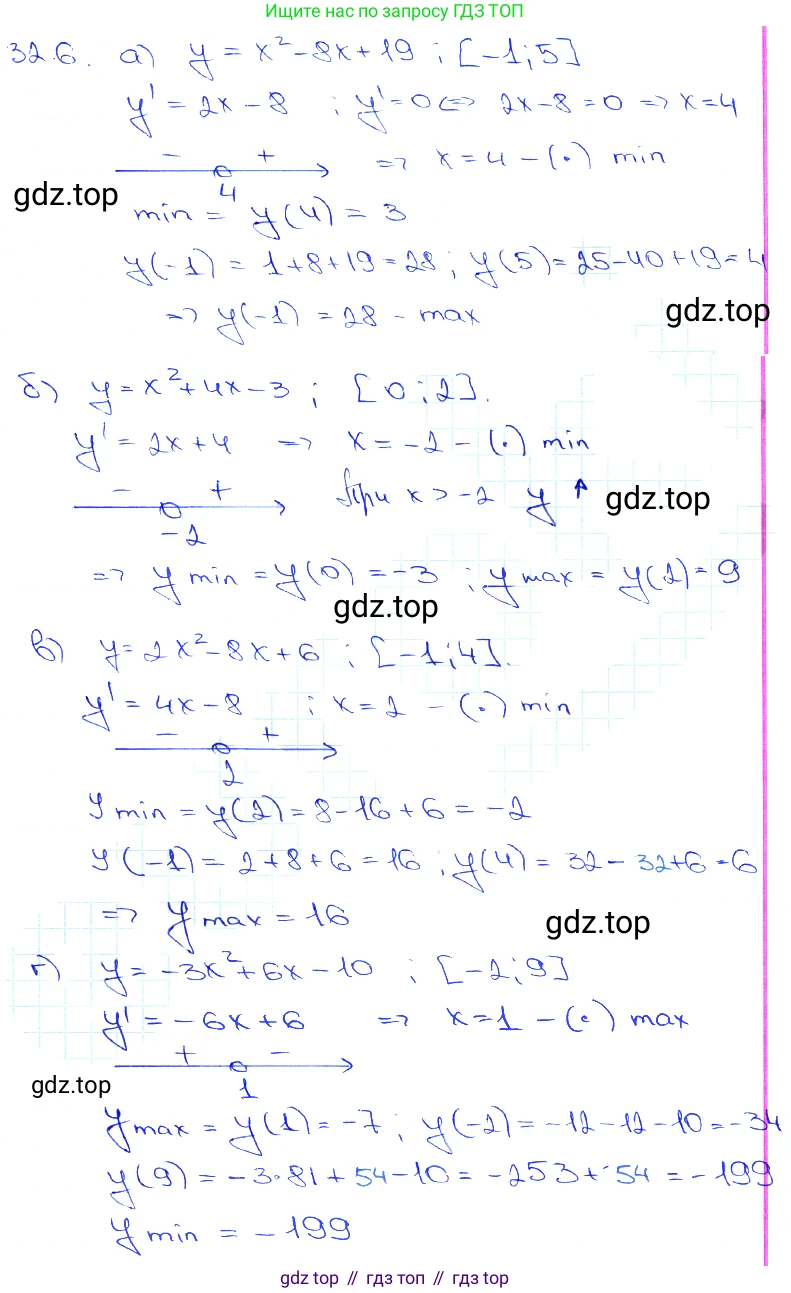
№32.6 (с. 124)
Условие. №32.6 (с. 124)
скриншот условия

32.6 a) $y = x^2 - 8x + 19$, $[-1; 5];$
б) $y = x^2 + 4x - 3$, $[0; 2];$
в) $y = 2x^2 - 8x + 6$, $[-1; 4];$
г) $y = -3x^2 + 6x - 10$, $[-2; 9].$
Решение 1. №32.6 (с. 124)

Решение 2. №32.6 (с. 124)


Решение 3. №32.6 (с. 124)

Решение 5. №32.6 (с. 124)


Решение 6. №32.6 (с. 124)
Для нахождения наименьшего и наибольшего значений квадратичной функции $y = ax^2 + bx + c$ на заданном отрезке $[d; e]$ необходимо выполнить следующие действия:
- Найти абсциссу вершины параболы по формуле $x_v = -\frac{b}{2a}$.
- Если $x_v$ принадлежит отрезку $[d; e]$, то нужно вычислить значения функции в точке $x_v$ и на концах отрезка, то есть $y(x_v)$, $y(d)$ и $y(e)$. Наименьшее из этих трех значений будет наименьшим значением функции на отрезке, а наибольшее — наибольшим.
- Если $x_v$ не принадлежит отрезку $[d; e]$, то функция на этом отрезке монотонна. В этом случае достаточно вычислить значения функции только на концах отрезка, $y(d)$ и $y(e)$. Меньшее из них будет наименьшим значением, а большее — наибольшим.
а) $y = x^2 - 8x + 19, [-1; 5]$
Графиком функции является парабола, ветви которой направлены вверх, так как коэффициент $a=1 > 0$.
Найдём абсциссу вершины параболы: $x_v = -\frac{-8}{2 \cdot 1} = 4$.
Абсцисса вершины $x_v = 4$ принадлежит отрезку $[-1; 5]$. Следовательно, наименьшее значение функции на отрезке будет в вершине. Наибольшее значение будет на одном из концов отрезка.
Вычислим значения функции в вершине и на концах отрезка:
$y(4) = 4^2 - 8 \cdot 4 + 19 = 16 - 32 + 19 = 3$.
$y(-1) = (-1)^2 - 8 \cdot (-1) + 19 = 1 + 8 + 19 = 28$.
$y(5) = 5^2 - 8 \cdot 5 + 19 = 25 - 40 + 19 = 4$.
Сравнивая значения $3, 28, 4$, находим, что наименьшее значение равно $3$, а наибольшее — $28$.
Ответ: наименьшее значение $3$, наибольшее значение $28$.
б) $y = x^2 + 4x - 3, [0; 2]$
Графиком функции является парабола, ветви которой направлены вверх ($a=1 > 0$).
Найдём абсциссу вершины параболы: $x_v = -\frac{4}{2 \cdot 1} = -2$.
Абсцисса вершины $x_v = -2$ не принадлежит отрезку $[0; 2]$. Поскольку вершина находится левее отрезка, а ветви параболы направлены вверх, функция на отрезке $[0; 2]$ монотонно возрастает.
Следовательно, наименьшее значение достигается на левом конце отрезка, а наибольшее — на правом. Вычислим значения функции на концах отрезка:
$y(0) = 0^2 + 4 \cdot 0 - 3 = -3$.
$y(2) = 2^2 + 4 \cdot 2 - 3 = 4 + 8 - 3 = 9$.
Ответ: наименьшее значение $-3$, наибольшее значение $9$.
в) $y = 2x^2 - 8x + 6, [-1; 4]$
Графиком функции является парабола с ветвями вверх ($a=2 > 0$).
Найдём абсциссу вершины параболы: $x_v = -\frac{-8}{2 \cdot 2} = \frac{8}{4} = 2$.
Абсцисса вершины $x_v = 2$ принадлежит отрезку $[-1; 4]$. Значит, наименьшее значение функции на отрезке достигается в вершине.
Вычислим значения функции в вершине и на концах отрезка:
$y(2) = 2 \cdot 2^2 - 8 \cdot 2 + 6 = 8 - 16 + 6 = -2$.
$y(-1) = 2 \cdot (-1)^2 - 8 \cdot (-1) + 6 = 2 + 8 + 6 = 16$.
$y(4) = 2 \cdot 4^2 - 8 \cdot 4 + 6 = 32 - 32 + 6 = 6$.
Сравнивая значения $-2, 16, 6$, находим, что наименьшее значение равно $-2$, а наибольшее — $16$.
Ответ: наименьшее значение $-2$, наибольшее значение $16$.
г) $y = -3x^2 + 6x - 10, [-2; 9]$
Графиком функции является парабола, ветви которой направлены вниз ($a=-3 < 0$).
Найдём абсциссу вершины параболы: $x_v = -\frac{6}{2 \cdot (-3)} = -\frac{6}{-6} = 1$.
Абсцисса вершины $x_v = 1$ принадлежит отрезку $[-2; 9]$. Поскольку ветви параболы направлены вниз, наибольшее значение функции на отрезке достигается в вершине.
Вычислим значения функции в вершине и на концах отрезка:
$y(1) = -3 \cdot 1^2 + 6 \cdot 1 - 10 = -3 + 6 - 10 = -7$.
$y(-2) = -3 \cdot (-2)^2 + 6 \cdot (-2) - 10 = -3 \cdot 4 - 12 - 10 = -12 - 12 - 10 = -34$.
$y(9) = -3 \cdot 9^2 + 6 \cdot 9 - 10 = -3 \cdot 81 + 54 - 10 = -243 + 44 = -199$.
Сравнивая значения $-7, -34, -199$, находим, что наименьшее значение равно $-199$, а наибольшее — $-7$.
Ответ: наименьшее значение $-199$, наибольшее значение $-7$.
№32.10 (с. 124)
Условие. №32.10 (с. 124)
скриншот условия

32.10 Найдите наибольшее и наименьшее значения функции
$y = x^3 - 9x^2 + 15x - 3$ на отрезке:
а) $[0; 2];$
б) $[3; 6];$
в) $[-1; 3];$
г) $[2; 7].$
Решение 1. №32.10 (с. 124)

Решение 2. №32.10 (с. 124)


Решение 3. №32.10 (с. 124)

Решение 5. №32.10 (с. 124)



Решение 6. №32.10 (с. 124)
Для нахождения наибольшего и наименьшего значений функции $y = x^3 - 9x^2 + 15x - 3$ на заданных отрезках, сначала найдём её производную и критические точки.
1. Находим производную функции:
$y' = (x^3 - 9x^2 + 15x - 3)' = 3x^2 - 18x + 15$
2. Приравниваем производную к нулю, чтобы найти критические точки:
$3x^2 - 18x + 15 = 0$
Разделив уравнение на 3, получаем:
$x^2 - 6x + 5 = 0$
Корни этого квадратного уравнения: $x_1 = 1$ и $x_2 = 5$.
Теперь исследуем функцию на каждом отрезке, вычисляя её значения в критических точках, принадлежащих отрезку, и на концах отрезка.
а) [0; 2]
Отрезку $[0; 2]$ принадлежит критическая точка $x = 1$.
Вычислим значения функции:
$y(0) = 0^3 - 9 \cdot 0^2 + 15 \cdot 0 - 3 = -3$
$y(1) = 1^3 - 9 \cdot 1^2 + 15 \cdot 1 - 3 = 1 - 9 + 15 - 3 = 4$
$y(2) = 2^3 - 9 \cdot 2^2 + 15 \cdot 2 - 3 = 8 - 36 + 30 - 3 = -1$
Среди значений $\{-3, 4, -1\}$ наибольшее равно 4, а наименьшее равно -3.
Ответ: наибольшее значение 4, наименьшее значение -3.
б) [3; 6]
Отрезку $[3; 6]$ принадлежит критическая точка $x = 5$.
Вычислим значения функции:
$y(3) = 3^3 - 9 \cdot 3^2 + 15 \cdot 3 - 3 = 27 - 81 + 45 - 3 = -12$
$y(5) = 5^3 - 9 \cdot 5^2 + 15 \cdot 5 - 3 = 125 - 225 + 75 - 3 = -28$
$y(6) = 6^3 - 9 \cdot 6^2 + 15 \cdot 6 - 3 = 216 - 324 + 90 - 3 = -21$
Среди значений $\{-12, -28, -21\}$ наибольшее равно -12, а наименьшее равно -28.
Ответ: наибольшее значение -12, наименьшее значение -28.
в) [-1; 3]
Отрезку $[-1; 3]$ принадлежит критическая точка $x = 1$.
Вычислим значения функции:
$y(-1) = (-1)^3 - 9(-1)^2 + 15(-1) - 3 = -1 - 9 - 15 - 3 = -28$
$y(1) = 1^3 - 9 \cdot 1^2 + 15 \cdot 1 - 3 = 1 - 9 + 15 - 3 = 4$
$y(3) = 3^3 - 9 \cdot 3^2 + 15 \cdot 3 - 3 = 27 - 81 + 45 - 3 = -12$
Среди значений $\{-28, 4, -12\}$ наибольшее равно 4, а наименьшее равно -28.
Ответ: наибольшее значение 4, наименьшее значение -28.
г) [2; 7]
Отрезку $[2; 7]$ принадлежит критическая точка $x = 5$.
Вычислим значения функции:
$y(2) = 2^3 - 9 \cdot 2^2 + 15 \cdot 2 - 3 = 8 - 36 + 30 - 3 = -1$
$y(5) = 5^3 - 9 \cdot 5^2 + 15 \cdot 5 - 3 = 125 - 225 + 75 - 3 = -28$
$y(7) = 7^3 - 9 \cdot 7^2 + 15 \cdot 7 - 3 = 343 - 441 + 105 - 3 = 4$
Среди значений $\{-1, -28, 4\}$ наибольшее равно 4, а наименьшее равно -28.
Ответ: наибольшее значение 4, наименьшее значение -28.
№32.3 (с. 124)
Условие. №32.3 (с. 124)
скриншот условия

32.3 а) $y = \operatorname{tg} x$, $\left[-\frac{\pi}{3}; -\frac{\pi}{6}\right];$
В) $y = -2 \operatorname{tg} x$, $\left[0; \frac{\pi}{6}\right];$
б) $y = -3 \operatorname{tg} x$, $\left[\pi; \frac{4\pi}{3}\right];$
Г) $y = \frac{1}{2} \operatorname{tg} x$, $\left[-\pi; -\frac{3\pi}{4}\right].$
Решение 1. №32.3 (с. 124)

Решение 2. №32.3 (с. 124)


Решение 3. №32.3 (с. 124)

Решение 5. №32.3 (с. 124)


Решение 6. №32.3 (с. 124)
а)
Чтобы найти множество значений функции $y = \operatorname{tg} x$ на отрезке $[-\frac{\pi}{3}; -\frac{\pi}{6}]$, необходимо исследовать ее поведение на этом отрезке. Функция $y = k \cdot \operatorname{tg} x$ является возрастающей при $k>0$ и убывающей при $k<0$ на каждом интервале своей области определения. В данном случае $k=1$, следовательно, функция $y = \operatorname{tg} x$ возрастает.
Отрезок $[-\frac{\pi}{3}; -\frac{\pi}{6}]$ принадлежит интервалу $(-\frac{\pi}{2}; \frac{\pi}{2})$, на котором функция $y = \operatorname{tg} x$ непрерывна и строго возрастает. Поэтому наименьшее значение функция принимает на левом конце отрезка, а наибольшее — на правом.
Вычислим значения функции на концах отрезка:
Наименьшее значение: $y(-\frac{\pi}{3}) = \operatorname{tg}(-\frac{\pi}{3}) = -\operatorname{tg}(\frac{\pi}{3}) = -\sqrt{3}$.
Наибольшее значение: $y(-\frac{\pi}{6}) = \operatorname{tg}(-\frac{\pi}{6}) = -\operatorname{tg}(\frac{\pi}{6}) = -\frac{1}{\sqrt{3}} = -\frac{\sqrt{3}}{3}$.
Таким образом, множество значений функции на данном отрезке есть промежуток от наименьшего значения до наибольшего.
Ответ: $[-\sqrt{3}; -\frac{\sqrt{3}}{3}] $.
б)
Для функции $y = -3 \operatorname{tg} x$ на отрезке $[\pi; \frac{4\pi}{3}]$ коэффициент $k=-3 < 0$, следовательно, функция является убывающей на каждом интервале своей области определения.
Точки разрыва функции $y = \operatorname{tg} x$ — это $x = \frac{\pi}{2} + \pi n, n \in \mathbb{Z}$. Ближайшая точка разрыва, $x = \frac{3\pi}{2}$, не входит в отрезок $[\pi; \frac{4\pi}{3}]$. Значит, на этом отрезке функция непрерывна и строго убывает.
Для убывающей функции наибольшее значение достигается на левом конце отрезка, а наименьшее — на правом.
Вычислим значения функции на концах отрезка:
Наибольшее значение: $y(\pi) = -3 \operatorname{tg}(\pi) = -3 \cdot 0 = 0$.
Наименьшее значение: $y(\frac{4\pi}{3}) = -3 \operatorname{tg}(\frac{4\pi}{3}) = -3 \operatorname{tg}(\pi + \frac{\pi}{3}) = -3 \operatorname{tg}(\frac{\pi}{3}) = -3\sqrt{3}$.
Множество значений функции — это промежуток от наименьшего значения до наибольшего.
Ответ: $[-3\sqrt{3}; 0]$.
в)
Для функции $y = -2 \operatorname{tg} x$ на отрезке $[0; \frac{\pi}{6}]$ коэффициент $k=-2 < 0$, поэтому функция является убывающей.
Отрезок $[0; \frac{\pi}{6}]$ принадлежит интервалу непрерывности $(-\frac{\pi}{2}; \frac{\pi}{2})$, на котором функция строго убывает. Следовательно, наибольшее значение функция принимает в левой точке отрезка, а наименьшее — в правой.
Вычислим значения функции на концах отрезка:
Наибольшее значение: $y(0) = -2 \operatorname{tg}(0) = -2 \cdot 0 = 0$.
Наименьшее значение: $y(\frac{\pi}{6}) = -2 \operatorname{tg}(\frac{\pi}{6}) = -2 \cdot \frac{1}{\sqrt{3}} = -\frac{2}{\sqrt{3}} = -\frac{2\sqrt{3}}{3}$.
Таким образом, множество значений функции на данном отрезке есть промежуток от наименьшего значения до наибольшего.
Ответ: $[-\frac{2\sqrt{3}}{3}; 0]$.
г)
Для функции $y = \frac{1}{2} \operatorname{tg} x$ на отрезке $[-\pi; -\frac{3\pi}{4}]$ коэффициент $k=\frac{1}{2} > 0$, значит, функция является возрастающей.
Проверим непрерывность. Точки разрыва $x = \frac{\pi}{2} + \pi n, n \in \mathbb{Z}$. Ближайшая точка разрыва $x = -\frac{\pi}{2}$ не принадлежит отрезку $[-\pi; -\frac{3\pi}{4}]$, так как $-\frac{\pi}{2} > -\frac{3\pi}{4}$. Следовательно, на данном отрезке функция непрерывна и строго возрастает.
Для возрастающей функции наименьшее значение достигается на левом конце отрезка, а наибольшее — на правом.
Вычислим значения функции на концах отрезка:
Наименьшее значение: $y(-\pi) = \frac{1}{2} \operatorname{tg}(-\pi) = \frac{1}{2} \cdot 0 = 0$.
Наибольшее значение: $y(-\frac{3\pi}{4}) = \frac{1}{2} \operatorname{tg}(-\frac{3\pi}{4}) = \frac{1}{2} \cdot (-\operatorname{tg}(\frac{3\pi}{4})) = \frac{1}{2} \cdot (-(-1)) = \frac{1}{2}$.
Множество значений функции — это промежуток от наименьшего значения до наибольшего.
Ответ: $[0; \frac{1}{2}]$.
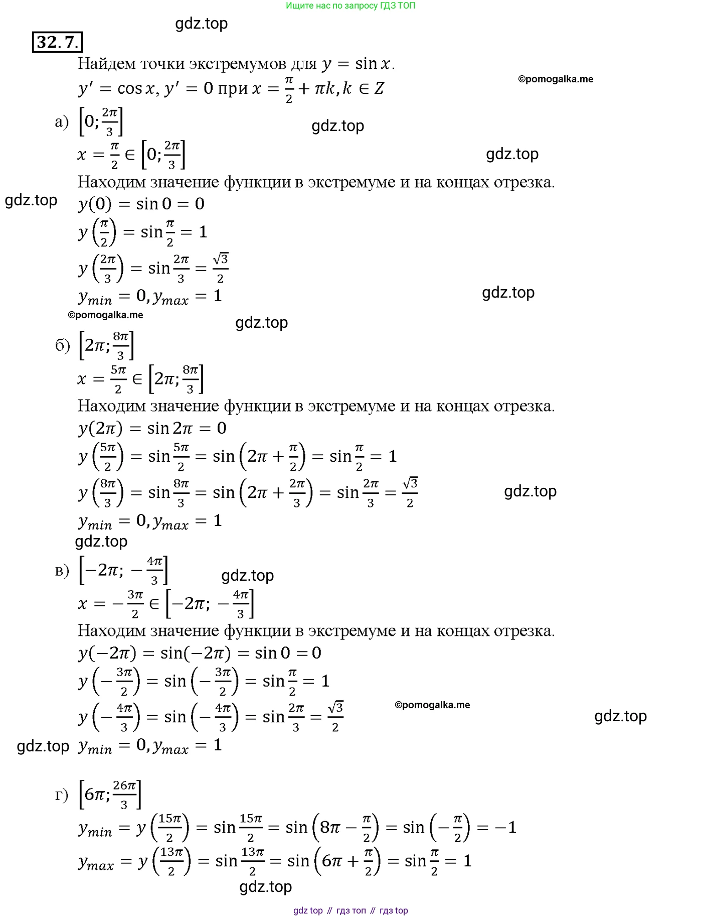
№32.7 (с. 124)
Условие. №32.7 (с. 124)
скриншот условия

32.7 Найдите наибольшее и наименьшее значения функции $y = \sin x$ на отрезке:
a) $[0; \frac{2\pi}{3}]$
б) $[2\pi; \frac{8\pi}{3}]$
в) $[-2\pi; -\frac{4\pi}{3}]$
г) $[6\pi; \frac{26\pi}{3}]$
Решение 1. №32.7 (с. 124)

Решение 2. №32.7 (с. 124)


Решение 3. №32.7 (с. 124)

Решение 5. №32.7 (с. 124)



Решение 6. №32.7 (с. 124)
а) Для нахождения наибольшего и наименьшего значений функции $y = \sin x$ на отрезке $[0; \frac{2\pi}{3}]$, выполним следующие шаги:
1. Вычислим значения функции на концах отрезка:
$y(0) = \sin(0) = 0$
$y(\frac{2\pi}{3}) = \sin(\frac{2\pi}{3}) = \frac{\sqrt{3}}{2}$
2. Найдем критические точки функции. Производная функции $y' = (\sin x)' = \cos x$. Приравняем ее к нулю, чтобы найти стационарные точки: $\cos x = 0$.
Решения этого уравнения имеют вид $x = \frac{\pi}{2} + \pi k$, где $k$ — любое целое число.
3. Определим, какие из этих критических точек попадают в заданный отрезок $[0; \frac{2\pi}{3}]$.
При $k=0$, $x = \frac{\pi}{2}$. Эта точка принадлежит отрезку, так как $0 \le \frac{\pi}{2} \le \frac{2\pi}{3}$.
При других целых значениях $k$ (например, $k=1$ или $k=-1$) точки $x = \frac{3\pi}{2}$ и $x = -\frac{\pi}{2}$ не принадлежат данному отрезку.
4. Вычислим значение функции в найденной критической точке:
$y(\frac{\pi}{2}) = \sin(\frac{\pi}{2}) = 1$.
5. Сравним все полученные значения: $0$, $\frac{\sqrt{3}}{2}$ и $1$.
Наименьшее из этих значений равно $0$, а наибольшее равно $1$.
Ответ: $y_{наим} = 0$, $y_{наиб} = 1$.
б) Для отрезка $[2\pi; \frac{8\pi}{3}]$:
Функция $y = \sin x$ является периодической с основным периодом $T = 2\pi$. Это означает, что $ \sin(x+2\pi) = \sin x $.
Значения функции на отрезке $[2\pi; \frac{8\pi}{3}]$ будут такими же, как на отрезке $[2\pi - 2\pi; \frac{8\pi}{3} - 2\pi]$, то есть на отрезке $[0; \frac{2\pi}{3}]$.
Эта задача сводится к предыдущей.
Проведем вычисления для проверки:
1. Значения на концах отрезка:
$y(2\pi) = \sin(2\pi) = 0$
$y(\frac{8\pi}{3}) = \sin(\frac{8\pi}{3}) = \sin(2\pi + \frac{2\pi}{3}) = \sin(\frac{2\pi}{3}) = \frac{\sqrt{3}}{2}$
2. Критические точки $x = \frac{\pi}{2} + \pi k$. Ищем те, что лежат в отрезке $[2\pi; \frac{8\pi}{3}]$.
$2\pi \le \frac{\pi}{2} + \pi k \le \frac{8\pi}{3} \implies 2 \le \frac{1}{2} + k \le \frac{8}{3} \implies 1.5 \le k \le \frac{13}{6} \approx 2.17$.
Единственное целое $k$ в этом диапазоне — это $k=2$.
Критическая точка: $x = \frac{\pi}{2} + 2\pi = \frac{5\pi}{2}$.
3. Значение функции в этой точке:
$y(\frac{5\pi}{2}) = \sin(\frac{5\pi}{2}) = \sin(\frac{\pi}{2} + 2\pi) = \sin(\frac{\pi}{2}) = 1$.
4. Сравнивая значения $0$, $\frac{\sqrt{3}}{2}$ и $1$, получаем тот же результат.
Ответ: $y_{наим} = 0$, $y_{наиб} = 1$.
в) Для отрезка $[-2\pi; -\frac{4\pi}{3}]$:
Используем периодичность функции $y=\sin x$. Сдвинем отрезок на $2\pi$ вправо (добавим $2\pi$ к концам):
$[-2\pi+2\pi; -\frac{4\pi}{3}+2\pi] = [0; \frac{2\pi}{3}]$.
Эта задача также сводится к пункту а).
Проверка вычислением:
1. Значения на концах отрезка:
$y(-2\pi) = \sin(-2\pi) = 0$
$y(-\frac{4\pi}{3}) = \sin(-\frac{4\pi}{3}) = -\sin(\frac{4\pi}{3}) = -(-\frac{\sqrt{3}}{2}) = \frac{\sqrt{3}}{2}$
2. Критические точки $x = \frac{\pi}{2} + \pi k$. Ищем те, что лежат в отрезке $[-2\pi; -\frac{4\pi}{3}]$.
$-2\pi \le \frac{\pi}{2} + \pi k \le -\frac{4\pi}{3} \implies -2 \le \frac{1}{2} + k \le -\frac{4}{3} \implies -2.5 \le k \le -\frac{11}{6} \approx -1.83$.
Единственное целое $k$ в этом диапазоне — это $k=-2$.
Критическая точка: $x = \frac{\pi}{2} - 2\pi = -\frac{3\pi}{2}$.
3. Значение функции в этой точке:
$y(-\frac{3\pi}{2}) = \sin(-\frac{3\pi}{2}) = -\sin(\frac{3\pi}{2}) = -(-1) = 1$.
4. Сравнивая значения $0$, $\frac{\sqrt{3}}{2}$ и $1$, получаем тот же результат.
Ответ: $y_{наим} = 0$, $y_{наиб} = 1$.
г) Для отрезка $[6\pi; \frac{26\pi}{3}]$:
Воспользуемся периодичностью функции $y = \sin x$. Сдвинем отрезок на $6\pi$ влево (вычтем $6\pi$ из концов):
$[6\pi - 6\pi; \frac{26\pi}{3} - 6\pi] = [0; \frac{26\pi - 18\pi}{3}] = [0; \frac{8\pi}{3}]$.
Длина полученного отрезка равна $\frac{8\pi}{3} = 2\pi + \frac{2\pi}{3}$, что больше полного периода $2\pi$. Это означает, что функция $\sin x$ на этом отрезке примет все свои возможные значения. Следовательно, наименьшее значение будет $-1$, а наибольшее $1$.
Проверим это вычислением:
1. Значения на концах отрезка:
$y(6\pi) = \sin(6\pi) = 0$
$y(\frac{26\pi}{3}) = \sin(\frac{26\pi}{3}) = \sin(8\pi + \frac{2\pi}{3}) = \sin(\frac{2\pi}{3}) = \frac{\sqrt{3}}{2}$
2. Критические точки $x = \frac{\pi}{2} + \pi k$. Ищем те, что лежат в отрезке $[6\pi; \frac{26\pi}{3}]$.
$6\pi \le \frac{\pi}{2} + \pi k \le \frac{26\pi}{3} \implies 6 \le \frac{1}{2} + k \le \frac{26}{3} \implies 5.5 \le k \le \frac{49}{6} \approx 8.17$.
Целые значения $k$ в этом диапазоне: $k=6, 7, 8$.
Критические точки: $x_1 = \frac{\pi}{2} + 6\pi = \frac{13\pi}{2}$, $x_2 = \frac{\pi}{2} + 7\pi = \frac{15\pi}{2}$, $x_3 = \frac{\pi}{2} + 8\pi = \frac{17\pi}{2}$.
3. Значения функции в этих точках:
$y(\frac{13\pi}{2}) = \sin(6\pi + \frac{\pi}{2}) = \sin(\frac{\pi}{2}) = 1$.
$y(\frac{15\pi}{2}) = \sin(6\pi + \frac{3\pi}{2}) = \sin(\frac{3\pi}{2}) = -1$.
$y(\frac{17\pi}{2}) = \sin(8\pi + \frac{\pi}{2}) = \sin(\frac{\pi}{2}) = 1$.
4. Сравниваем все полученные значения: $0$, $\frac{\sqrt{3}}{2}$, $1$ и $-1$.
Наименьшее значение равно $-1$, наибольшее равно $1$.
Ответ: $y_{наим} = -1$, $y_{наиб} = 1$.
№32.11 (с. 124)
Условие. №32.11 (с. 124)
скриншот условия

32.11 Найдите наибольшее и наименьшее значения функции
$y = x^4 - 8x^3 + 10x^2 + 1$ на отрезке:
а) [-1; 2];
б) [1; 6];
в) [-2; 3];
г) [-1; 7].
Решение 1. №32.11 (с. 124)

Решение 2. №32.11 (с. 124)


Решение 3. №32.11 (с. 124)

Решение 5. №32.11 (с. 124)



Решение 6. №32.11 (с. 124)
Для нахождения наибольшего и наименьшего значений функции на отрезке используется следующий алгоритм:
- Найти производную функции $y'(x)$.
- Найти стационарные (критические) точки, решив уравнение $y'(x) = 0$.
- Выбрать критические точки, которые принадлежат заданному отрезку.
- Вычислить значения функции $y(x)$ в выбранных критических точках и на концах отрезка.
- Среди полученных значений найти наибольшее и наименьшее.
Исходная функция: $y = x^4 - 8x^3 + 10x^2 + 1$.
1. Находим производную функции:
$y'(x) = (x^4 - 8x^3 + 10x^2 + 1)' = 4x^3 - 24x^2 + 20x$.
2. Находим критические точки:
$4x^3 - 24x^2 + 20x = 0$
$4x(x^2 - 6x + 5) = 0$
Отсюда получаем три критические точки:
$x_1 = 0$
$x^2 - 6x + 5 = 0 \implies (x-1)(x-5) = 0 \implies x_2 = 1, x_3 = 5$.
Критические точки функции: $0, 1, 5$.
Теперь проанализируем каждый отрезок.
а) [-1; 2]
Критические точки, принадлежащие отрезку $[-1; 2]$: $x=0$ и $x=1$.
Вычислим значения функции в этих точках и на концах отрезка ($x=-1$ и $x=2$):
- $y(-1) = (-1)^4 - 8(-1)^3 + 10(-1)^2 + 1 = 1 + 8 + 10 + 1 = 20$
- $y(0) = 0^4 - 8(0)^3 + 10(0)^2 + 1 = 1$
- $y(1) = 1^4 - 8(1)^3 + 10(1)^2 + 1 = 1 - 8 + 10 + 1 = 4$
- $y(2) = 2^4 - 8(2)^3 + 10(2)^2 + 1 = 16 - 64 + 40 + 1 = -7$
Сравниваем полученные значения: $\{20, 1, 4, -7\}$.
Наибольшее значение: $20$. Наименьшее значение: $-7$.
Ответ: наименьшее значение $y_{min} = -7$, наибольшее значение $y_{max} = 20$.
б) [1; 6]
Критические точки, принадлежащие отрезку $[1; 6]$: $x=1$ и $x=5$.
Вычислим значения функции в этих точках и на концах отрезка ($x=1$ и $x=6$):
- $y(1) = 1^4 - 8(1)^3 + 10(1)^2 + 1 = 1 - 8 + 10 + 1 = 4$
- $y(5) = 5^4 - 8(5)^3 + 10(5)^2 + 1 = 625 - 1000 + 250 + 1 = -124$
- $y(6) = 6^4 - 8(6)^3 + 10(6)^2 + 1 = 1296 - 1728 + 360 + 1 = -71$
Сравниваем полученные значения: $\{4, -124, -71\}$.
Наибольшее значение: $4$. Наименьшее значение: $-124$.
Ответ: наименьшее значение $y_{min} = -124$, наибольшее значение $y_{max} = 4$.
в) [-2; 3]
Критические точки, принадлежащие отрезку $[-2; 3]$: $x=0$ и $x=1$.
Вычислим значения функции в этих точках и на концах отрезка ($x=-2$ и $x=3$):
- $y(-2) = (-2)^4 - 8(-2)^3 + 10(-2)^2 + 1 = 16 + 64 + 40 + 1 = 121$
- $y(0) = 0^4 - 8(0)^3 + 10(0)^2 + 1 = 1$
- $y(1) = 1^4 - 8(1)^3 + 10(1)^2 + 1 = 1 - 8 + 10 + 1 = 4$
- $y(3) = 3^4 - 8(3)^3 + 10(3)^2 + 1 = 81 - 216 + 90 + 1 = -44$
Сравниваем полученные значения: $\{121, 1, 4, -44\}$.
Наибольшее значение: $121$. Наименьшее значение: $-44$.
Ответ: наименьшее значение $y_{min} = -44$, наибольшее значение $y_{max} = 121$.
г) [-1; 7]
Критические точки, принадлежащие отрезку $[-1; 7]$: $x=0$, $x=1$ и $x=5$.
Вычислим значения функции в этих точках и на концах отрезка ($x=-1$ и $x=7$):
- $y(-1) = (-1)^4 - 8(-1)^3 + 10(-1)^2 + 1 = 1 + 8 + 10 + 1 = 20$
- $y(0) = 0^4 - 8(0)^3 + 10(0)^2 + 1 = 1$
- $y(1) = 1^4 - 8(1)^3 + 10(1)^2 + 1 = 1 - 8 + 10 + 1 = 4$
- $y(5) = 5^4 - 8(5)^3 + 10(5)^2 + 1 = 625 - 1000 + 250 + 1 = -124$
- $y(7) = 7^4 - 8(7)^3 + 10(7)^2 + 1 = 2401 - 2744 + 490 + 1 = 148$
Сравниваем полученные значения: $\{20, 1, 4, -124, 148\}$.
Наибольшее значение: $148$. Наименьшее значение: $-124$.
Ответ: наименьшее значение $y_{min} = -124$, наибольшее значение $y_{max} = 148$.
Помогло решение? Оставьте отзыв в комментариях ниже.