Страница 181, часть 2 - гдз по алгебре 10-11 класс задачник часть 1, 2 Мордкович, Семенов


Авторы: Мордкович А. Г., Семенов П. В., Денищева Л. О., Корешкова Т. А., Мишустина Т. Н., Тульчинская Е. Е.
Тип: Задачник
Издательство: Мнемозина
Год издания: 2019 - 2025
Уровень обучения: базовый
Часть: 2
Цвет обложки:
ISBN: 978-5-346-04509-0 (общ.), 978-5-346-04510-6 (ч. 1), 978-5-346-04511-3 (ч. 2)
Рекомендовано Министерством образования и науки Российской Федерации
Математика: алгебра и начала математического анализа, геометрия
Популярные ГДЗ в 10 классе
ч. 2. Cтраница 181

№44.10 (с. 181)
Условие. №44.10 (с. 181)
скриншот условия

44.10 a) $log_3(x - 2) + log_3(x + 2) = log_3(2x - 1);$
б) $log_{11}(x + 4) + log_{11}(x - 7) = log_{11}(7 - x);$
в) $log_{0,6}(x + 3) + log_{0,6}(x - 3) = log_{0,6}(2x - 1);$
г) $log_{0,4}(x + 2) + log_{0,4}(x + 3) = log_{0,4}(1 - x).$
Решение 1. №44.10 (с. 181)

Решение 2. №44.10 (с. 181)


Решение 5. №44.10 (с. 181)



Решение 6. №44.10 (с. 181)
а) $log_3(x - 2) + log_3(x + 2) = log_3(2x - 1)$
1. Найдем область допустимых значений (ОДЗ). Аргументы всех логарифмов должны быть строго больше нуля:
$\begin{cases} x - 2 > 0 \\ x + 2 > 0 \\ 2x - 1 > 0 \end{cases}$ $\implies$ $\begin{cases} x > 2 \\ x > -2 \\ x > 0.5 \end{cases}$
Пересечением этих условий является $x > 2$. Таким образом, ОДЗ: $x \in (2; +\infty)$.
2. Используем свойство суммы логарифмов: $log_a(b) + log_a(c) = log_a(b \cdot c)$.
$log_3((x - 2)(x + 2)) = log_3(2x - 1)$
Применяем формулу разности квадратов: $(x - 2)(x + 2) = x^2 - 4$.
$log_3(x^2 - 4) = log_3(2x - 1)$
3. Так как основания логарифмов одинаковы, мы можем приравнять их аргументы:
$x^2 - 4 = 2x - 1$
Перенесем все члены в левую часть и решим полученное квадратное уравнение:
$x^2 - 2x - 3 = 0$
По теореме Виета, сумма корней равна 2, а произведение равно -3. Корни уравнения: $x_1 = 3$ и $x_2 = -1$.
4. Проверим найденные корни на соответствие ОДЗ ($x > 2$).
Корень $x_1 = 3$ удовлетворяет условию $3 > 2$.
Корень $x_2 = -1$ не удовлетворяет условию $-1 > 2$, следовательно, это посторонний корень.
Единственным решением уравнения является $x = 3$.
Ответ: $3$.
б) $log_{11}(x + 4) + log_{11}(x - 7) = log_{11}(7 - x)$
1. Найдем область допустимых значений (ОДЗ):
$\begin{cases} x + 4 > 0 \\ x - 7 > 0 \\ 7 - x > 0 \end{cases}$ $\implies$ $\begin{cases} x > -4 \\ x > 7 \\ x < 7 \end{cases}$
Система неравенств $x > 7$ и $x < 7$ не имеет совместных решений. Таким образом, область допустимых значений пуста.
Поскольку ОДЗ является пустым множеством, исходное уравнение не имеет решений.
Ответ: нет решений.
в) $log_{0.6}(x + 3) + log_{0.6}(x - 3) = log_{0.6}(2x - 1)$
1. Найдем область допустимых значений (ОДЗ):
$\begin{cases} x + 3 > 0 \\ x - 3 > 0 \\ 2x - 1 > 0 \end{cases}$ $\implies$ $\begin{cases} x > -3 \\ x > 3 \\ x > 0.5 \end{cases}$
Пересечением этих условий является $x > 3$. Таким образом, ОДЗ: $x \in (3; +\infty)$.
2. Используем свойство суммы логарифмов $log_a(b) + log_a(c) = log_a(b \cdot c)$:
$log_{0.6}((x + 3)(x - 3)) = log_{0.6}(2x - 1)$
Применяем формулу разности квадратов:
$log_{0.6}(x^2 - 9) = log_{0.6}(2x - 1)$
3. Приравниваем аргументы логарифмов:
$x^2 - 9 = 2x - 1$
Приводим к стандартному виду квадратного уравнения:
$x^2 - 2x - 8 = 0$
По теореме Виета, сумма корней равна 2, а произведение равно -8. Корни уравнения: $x_1 = 4$ и $x_2 = -2$.
4. Проверим найденные корни на соответствие ОДЗ ($x > 3$).
Корень $x_1 = 4$ удовлетворяет условию $4 > 3$.
Корень $x_2 = -2$ не удовлетворяет условию $-2 > 3$, следовательно, это посторонний корень.
Единственным решением является $x = 4$.
Ответ: $4$.
г) $log_{0.4}(x + 2) + log_{0.4}(x + 3) = log_{0.4}(1 - x)$
1. Найдем область допустимых значений (ОДЗ):
$\begin{cases} x + 2 > 0 \\ x + 3 > 0 \\ 1 - x > 0 \end{cases}$ $\implies$ $\begin{cases} x > -2 \\ x > -3 \\ x < 1 \end{cases}$
Пересечением этих условий является $-2 < x < 1$. Таким образом, ОДЗ: $x \in (-2; 1)$.
2. Преобразуем левую часть уравнения, используя свойство суммы логарифмов:
$log_{0.4}((x + 2)(x + 3)) = log_{0.4}(1 - x)$
Раскроем скобки в аргументе логарифма:
$log_{0.4}(x^2 + 5x + 6) = log_{0.4}(1 - x)$
3. Приравниваем аргументы логарифмов:
$x^2 + 5x + 6 = 1 - x$
Приводим к стандартному виду квадратного уравнения:
$x^2 + 6x + 5 = 0$
По теореме Виета, сумма корней равна -6, а произведение равно 5. Корни уравнения: $x_1 = -1$ и $x_2 = -5$.
4. Проверим найденные корни на соответствие ОДЗ ($x \in (-2; 1)$).
Корень $x_1 = -1$ удовлетворяет условию $-2 < -1 < 1$.
Корень $x_2 = -5$ не удовлетворяет условию, так как $-5 < -2$. Это посторонний корень.
Единственным решением является $x = -1$.
Ответ: $-1$.
№44.13 (с. 181)
Условие. №44.13 (с. 181)
скриншот условия

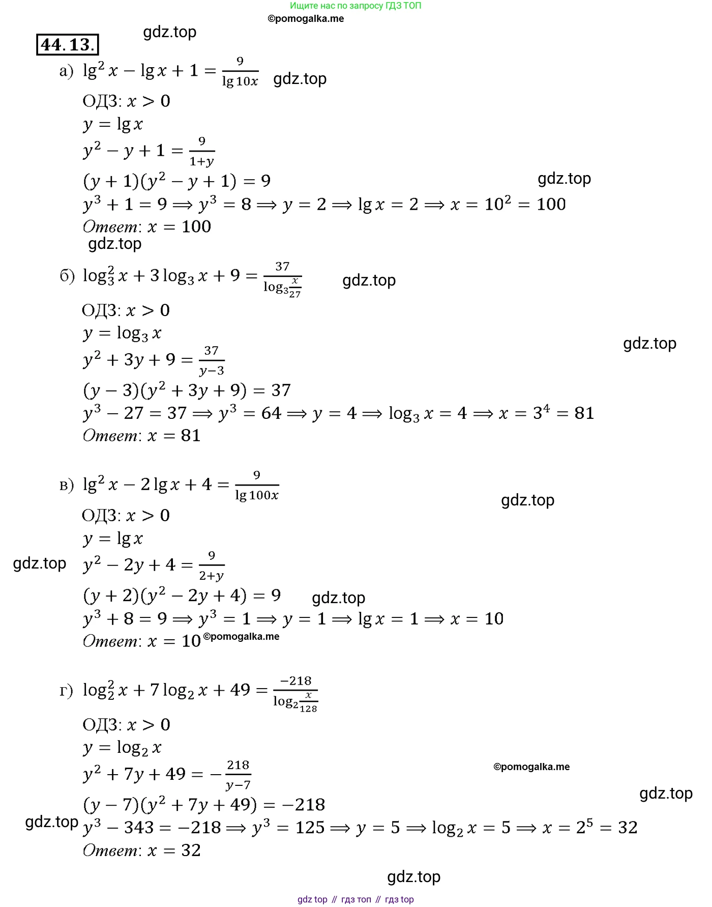
44.13 a) $\lg^2 x - \lg x + 1 = \frac{9}{\lg 10x}$
б) $\log_3^2 x + 3 \log_3 x + 9 = \frac{37}{\log_3 \frac{x}{27}}$
в) $\lg^2 x - 2 \lg x + 4 = \frac{9}{\lg 100x}$
г) $\log_2^2 x + 7 \log_2 x + 49 = \frac{-218}{\log_2 \frac{x}{128}}$
Решение 1. №44.13 (с. 181)

Решение 2. №44.13 (с. 181)



Решение 5. №44.13 (с. 181)



Решение 6. №44.13 (с. 181)
а)
Исходное уравнение: $ \lg^2 x - \lg x + 1 = \frac{9}{\lg 10x} $.
Сначала определим область допустимых значений (ОДЗ). Аргумент логарифма должен быть строго положительным, а знаменатель не должен равняться нулю:
$x > 0$
$\lg 10x \neq 0 \implies 10x \neq 1 \implies x \neq 0.1$.
Итак, ОДЗ: $x \in (0; 0.1) \cup (0.1; +\infty)$.
Упростим правую часть уравнения, используя свойство логарифма произведения: $\lg(ab) = \lg a + \lg b$.
$\lg 10x = \lg 10 + \lg x = 1 + \lg x$.
Подставим это в исходное уравнение:
$ \lg^2 x - \lg x + 1 = \frac{9}{1 + \lg x} $
Сделаем замену переменной. Пусть $t = \lg x$. Уравнение примет вид:
$ t^2 - t + 1 = \frac{9}{t + 1} $
Умножим обе части на $(t+1)$, при условии, что $t+1 \neq 0$ (что соответствует нашему ОДЗ $x \neq 0.1$):
$(t + 1)(t^2 - t + 1) = 9$
В левой части мы видим формулу суммы кубов: $(a+b)(a^2-ab+b^2) = a^3+b^3$.
$t^3 + 1^3 = 9$
$t^3 = 8$
$t = 2$
Теперь вернемся к исходной переменной:
$\lg x = 2$
$x = 10^2 = 100$.
Корень $x=100$ удовлетворяет ОДЗ.
Ответ: $100$
б)
Исходное уравнение: $ \log_3^2 x + 3\log_3 x + 9 = \frac{37}{\log_3 \frac{x}{27}} $.
ОДЗ:
$x > 0$
$\log_3 \frac{x}{27} \neq 0 \implies \frac{x}{27} \neq 1 \implies x \neq 27$.
ОДЗ: $x \in (0; 27) \cup (27; +\infty)$.
Упростим знаменатель в правой части, используя свойство логарифма частного: $\log_a \frac{b}{c} = \log_a b - \log_a c$.
$\log_3 \frac{x}{27} = \log_3 x - \log_3 27 = \log_3 x - 3$.
Подставим в уравнение:
$ \log_3^2 x + 3\log_3 x + 9 = \frac{37}{\log_3 x - 3} $
Сделаем замену $t = \log_3 x$:
$ t^2 + 3t + 9 = \frac{37}{t - 3} $
Умножим обе части на $(t-3)$, при условии, что $t-3 \neq 0$ (что соответствует ОДЗ $x \neq 27$):
$(t - 3)(t^2 + 3t + 9) = 37$
В левой части формула разности кубов: $(a-b)(a^2+ab+b^2) = a^3-b^3$.
$t^3 - 3^3 = 37$
$t^3 - 27 = 37$
$t^3 = 64$
$t = 4$
Вернемся к замене:
$\log_3 x = 4$
$x = 3^4 = 81$.
Корень $x=81$ удовлетворяет ОДЗ.
Ответ: $81$
в)
Исходное уравнение: $ \lg^2 x - 2\lg x + 4 = \frac{9}{\lg 100x} $.
ОДЗ:
$x > 0$
$\lg 100x \neq 0 \implies 100x \neq 1 \implies x \neq 0.01$.
ОДЗ: $x \in (0; 0.01) \cup (0.01; +\infty)$.
Упростим правую часть:
$\lg 100x = \lg 100 + \lg x = 2 + \lg x$.
Подставим в уравнение:
$ \lg^2 x - 2\lg x + 4 = \frac{9}{2 + \lg x} $
Сделаем замену $t = \lg x$:
$ t^2 - 2t + 4 = \frac{9}{t + 2} $
Умножим обе части на $(t+2)$, при условии, что $t+2 \neq 0$ (что соответствует ОДЗ $x \neq 0.01$):
$(t + 2)(t^2 - 2t + 4) = 9$
В левой части формула суммы кубов:
$t^3 + 2^3 = 9$
$t^3 + 8 = 9$
$t^3 = 1$
$t = 1$
Вернемся к замене:
$\lg x = 1$
$x = 10^1 = 10$.
Корень $x=10$ удовлетворяет ОДЗ.
Ответ: $10$
г)
Исходное уравнение: $ \log_2^2 x + 7\log_2 x + 49 = \frac{-218}{\log_2 \frac{x}{128}} $.
ОДЗ:
$x > 0$
$\log_2 \frac{x}{128} \neq 0 \implies \frac{x}{128} \neq 1 \implies x \neq 128$.
ОДЗ: $x \in (0; 128) \cup (128; +\infty)$.
Упростим знаменатель:
$\log_2 \frac{x}{128} = \log_2 x - \log_2 128 = \log_2 x - \log_2 2^7 = \log_2 x - 7$.
Подставим в уравнение:
$ \log_2^2 x + 7\log_2 x + 49 = \frac{-218}{\log_2 x - 7} $
Сделаем замену $t = \log_2 x$:
$ t^2 + 7t + 49 = \frac{-218}{t - 7} $
Умножим обе части на $(t-7)$, при условии, что $t-7 \neq 0$ (что соответствует ОДЗ $x \neq 128$):
$(t - 7)(t^2 + 7t + 49) = -218$
В левой части формула разности кубов:
$t^3 - 7^3 = -218$
$t^3 - 343 = -218$
$t^3 = 343 - 218$
$t^3 = 125$
$t = 5$
Вернемся к замене:
$\log_2 x = 5$
$x = 2^5 = 32$.
Корень $x=32$ удовлетворяет ОДЗ.
Ответ: $32$
№44.11 (с. 181)
Условие. №44.11 (с. 181)
скриншот условия

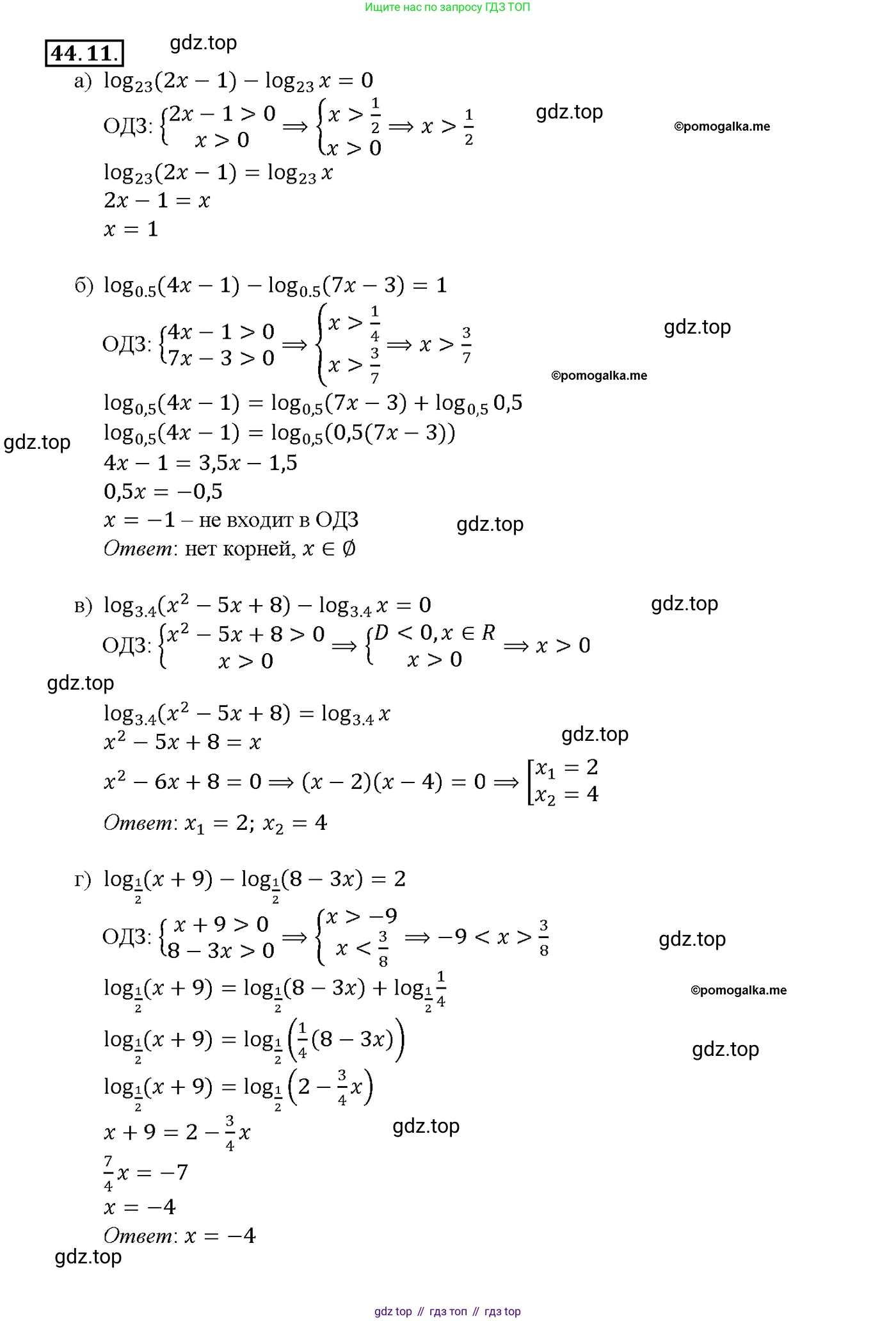
44.11 a) $log_{23}(2x - 1) - log_{23}x = 0;$
б) $log_{0.5}(4x - 1) - log_{0.5}(7x - 3) = 1;$
в) $log_{3.4}(x^2 - 5x + 8) - log_{3.4}x = 0;$
г) $log_{\frac{1}{2}}(x + 9) - log_{\frac{1}{2}}(8 - 3x) = 2.$
Решение 1. №44.11 (с. 181)

Решение 2. №44.11 (с. 181)


Решение 5. №44.11 (с. 181)



Решение 6. №44.11 (с. 181)
а) $log_{23}(2x - 1) - log_{23}x = 0$
Первым шагом найдем область допустимых значений (ОДЗ). Аргументы логарифмов должны быть строго положительными:
$\begin{cases} 2x - 1 > 0 \\ x > 0 \end{cases}$
$\begin{cases} 2x > 1 \\ x > 0 \end{cases}$
$\begin{cases} x > \frac{1}{2} \\ x > 0 \end{cases}$
Следовательно, ОДЗ: $x > \frac{1}{2}$.
Перенесем второй логарифм в правую часть уравнения:
$log_{23}(2x - 1) = log_{23}x$
Так как основания логарифмов одинаковы, мы можем приравнять их аргументы:
$2x - 1 = x$
$2x - x = 1$
$x = 1$
Проверим, удовлетворяет ли найденный корень ОДЗ.
$1 > \frac{1}{2}$, следовательно, корень подходит.
Ответ: $x = 1$
б) $log_{0,5}(4x - 1) - log_{0,5}(7x - 3) = 1$
Найдем ОДЗ:
$\begin{cases} 4x - 1 > 0 \\ 7x - 3 > 0 \end{cases}$
$\begin{cases} 4x > 1 \\ 7x > 3 \end{cases}$
$\begin{cases} x > \frac{1}{4} \\ x > \frac{3}{7} \end{cases}$
Так как $\frac{3}{7} > \frac{1}{4}$ (поскольку $12 > 7$), то ОДЗ: $x > \frac{3}{7}$.
Используем свойство разности логарифмов $log_a b - log_a c = log_a(\frac{b}{c})$:
$log_{0,5}\frac{4x - 1}{7x - 3} = 1$
По определению логарифма ($log_a b = c \Leftrightarrow a^c = b$):
$\frac{4x - 1}{7x - 3} = 0,5^1$
$\frac{4x - 1}{7x - 3} = \frac{1}{2}$
Используем свойство пропорции:
$2(4x - 1) = 1(7x - 3)$
$8x - 2 = 7x - 3$
$8x - 7x = -3 + 2$
$x = -1$
Проверим корень на соответствие ОДЗ ($x > \frac{3}{7}$).
$-1$ не больше $\frac{3}{7}$, следовательно, корень не входит в ОДЗ и является посторонним.
Ответ: нет корней
в) $log_{3,4}(x^2 - 5x + 8) - log_{3,4}x = 0$
Найдем ОДЗ:
$\begin{cases} x^2 - 5x + 8 > 0 \\ x > 0 \end{cases}$
Для квадратного трехчлена $x^2 - 5x + 8$ найдем дискриминант:
$D = b^2 - 4ac = (-5)^2 - 4 \cdot 1 \cdot 8 = 25 - 32 = -7$.
Так как дискриминант отрицательный ($D < 0$) и старший коэффициент положителен ($a=1 > 0$), то парабола $y=x^2 - 5x + 8$ полностью лежит выше оси Ox, и, следовательно, неравенство $x^2 - 5x + 8 > 0$ выполняется для любых действительных $x$.
Таким образом, ОДЗ определяется только вторым условием: $x > 0$.
Перенесем второй логарифм в правую часть уравнения:
$log_{3,4}(x^2 - 5x + 8) = log_{3,4}x$
Приравняем аргументы логарифмов:
$x^2 - 5x + 8 = x$
$x^2 - 6x + 8 = 0$
Решим квадратное уравнение. По теореме Виета:
$\begin{cases} x_1 + x_2 = 6 \\ x_1 \cdot x_2 = 8 \end{cases}$
Корни уравнения: $x_1 = 2$, $x_2 = 4$.
Оба корня удовлетворяют ОДЗ ($x > 0$).
Ответ: $x = 2; x = 4$
г) $log_{\frac{1}{2}}(x + 9) - log_{\frac{1}{2}}(8 - 3x) = 2$
Найдем ОДЗ:
$\begin{cases} x + 9 > 0 \\ 8 - 3x > 0 \end{cases}$
$\begin{cases} x > -9 \\ -3x > -8 \end{cases}$
$\begin{cases} x > -9 \\ x < \frac{8}{3} \end{cases}$
Следовательно, ОДЗ: $-9 < x < \frac{8}{3}$.
Используем свойство разности логарифмов:
$log_{\frac{1}{2}}\frac{x + 9}{8 - 3x} = 2$
По определению логарифма:
$\frac{x + 9}{8 - 3x} = (\frac{1}{2})^2$
$\frac{x + 9}{8 - 3x} = \frac{1}{4}$
Решим уравнение с помощью пропорции:
$4(x + 9) = 1(8 - 3x)$
$4x + 36 = 8 - 3x$
$4x + 3x = 8 - 36$
$7x = -28$
$x = -4$
Проверим корень на соответствие ОДЗ ($-9 < x < \frac{8}{3}$).
Так как $-9 < -4 < 2\frac{2}{3}$, корень $x=-4$ удовлетворяет ОДЗ.
Ответ: $x = -4$
№44.14 (с. 181)
Условие. №44.14 (с. 181)
скриншот условия

44.14 a) $\lg (100x) \cdot \lg x = -1;$
б) $\lg^2 (10x) + \lg (10x) = 6 - 3 \lg \frac{1}{x}.$
Решение 1. №44.14 (с. 181)

Решение 2. №44.14 (с. 181)

Решение 5. №44.14 (с. 181)


Решение 6. №44.14 (с. 181)
а)
Исходное уравнение: $\lg(100x) \cdot \lg x = -1$.
Область допустимых значений (ОДЗ) для логарифмических функций определяется условием, что аргумент логарифма должен быть строго положительным. В данном случае:
$x > 0$.
Воспользуемся свойством логарифма произведения: $\log_a(bc) = \log_a b + \log_a c$. В нашем случае основание логарифма равно 10 (десятичный логарифм $\lg$).
$\lg(100x) = \lg 100 + \lg x$.
Так как $\lg 100 = \lg(10^2) = 2$, уравнение можно переписать в виде:
$(2 + \lg x) \cdot \lg x = -1$.
Сделаем замену переменной. Пусть $t = \lg x$. Тогда уравнение примет вид:
$(2 + t) \cdot t = -1$.
Раскроем скобки и решим полученное квадратное уравнение:
$2t + t^2 = -1$
$t^2 + 2t + 1 = 0$.
Это формула квадрата суммы: $(t + 1)^2 = 0$.
Отсюда находим $t = -1$.
Теперь вернемся к исходной переменной $x$. Так как $t = \lg x$, получаем:
$\lg x = -1$.
По определению десятичного логарифма:
$x = 10^{-1} = \frac{1}{10} = 0.1$.
Полученное значение $x=0.1$ удовлетворяет ОДЗ ($x > 0$).
Ответ: $0.1$.
б)
Исходное уравнение: $\lg^2 10x + \lg 10x = 6 - 3\lg\frac{1}{x}$.
ОДЗ: $10x > 0$ и $\frac{1}{x} > 0$, что эквивалентно условию $x > 0$.
Преобразуем уравнение, используя свойства логарифмов:
1. $\lg 10x = \lg 10 + \lg x = 1 + \lg x$.
2. $\lg\frac{1}{x} = \lg(x^{-1}) = - \lg x$.
Подставим эти выражения в исходное уравнение:
$(1 + \lg x)^2 + (1 + \lg x) = 6 - 3(-\lg x)$.
$(1 + \lg x)^2 + 1 + \lg x = 6 + 3\lg x$.
Произведем замену переменной. Пусть $t = \lg x$.
$(1 + t)^2 + 1 + t = 6 + 3t$.
Раскроем скобки и приведем подобные слагаемые:
$1 + 2t + t^2 + 1 + t = 6 + 3t$
$t^2 + 3t + 2 = 6 + 3t$.
Перенесем все члены в левую часть уравнения:
$t^2 + 3t - 3t + 2 - 6 = 0$
$t^2 - 4 = 0$.
Это неполное квадратное уравнение, которое можно решить разложением на множители (разность квадратов):
$(t - 2)(t + 2) = 0$.
Отсюда получаем два возможных значения для $t$:
$t_1 = 2$ и $t_2 = -2$.
Вернемся к переменной $x$:
1. Если $t = 2$, то $\lg x = 2$, откуда $x = 10^2 = 100$.
2. Если $t = -2$, то $\lg x = -2$, откуда $x = 10^{-2} = \frac{1}{100} = 0.01$.
Оба корня, $x_1=100$ и $x_2=0.01$, удовлетворяют ОДЗ ($x > 0$).
Ответ: $0.01; 100$.
№44.8 (с. 181)
Условие. №44.8 (с. 181)
скриншот условия

44.8 a) $\log_2 x = \log_2 3 + \log_2 5$;
б) $\log_7 4 = \log_7 x - \log_7 9$;
в) $\log_{\frac{1}{3}} 4 + \log_{\frac{1}{3}} x = \log_{\frac{1}{3}} 18$;
г) $\log_{0,4} 9 - \log_{0,4} x = \log_{0,4} 3$.
Решение 1. №44.8 (с. 181)

Решение 2. №44.8 (с. 181)

Решение 5. №44.8 (с. 181)


Решение 6. №44.8 (с. 181)
а) Исходное уравнение: $\log_2 x = \log_2 3 + \log_2 5$.
Область допустимых значений (ОДЗ) для этого уравнения определяется условием $x > 0$.
Для решения воспользуемся свойством суммы логарифмов с одинаковым основанием: $\log_a b + \log_a c = \log_a(b \cdot c)$.
Применим это свойство к правой части уравнения:
$\log_2 3 + \log_2 5 = \log_2(3 \cdot 5) = \log_2 15$.
Таким образом, исходное уравнение принимает вид:
$\log_2 x = \log_2 15$.
Поскольку основания логарифмов равны, то и их аргументы должны быть равны:
$x = 15$.
Полученное значение $x=15$ удовлетворяет ОДЗ ($15 > 0$).
Ответ: $15$.
б) Исходное уравнение: $\log_7 4 = \log_7 x - \log_7 9$.
ОДЗ: $x > 0$.
Преобразуем уравнение, перенеся логарифм с неизвестным в одну сторону, а известные члены - в другую:
$\log_7 4 + \log_7 9 = \log_7 x$.
Используем свойство суммы логарифмов $\log_a b + \log_a c = \log_a(b \cdot c)$ для левой части:
$\log_7(4 \cdot 9) = \log_7 x$.
$\log_7 36 = \log_7 x$.
Так как основания логарифмов равны, приравниваем их аргументы:
$x = 36$.
Значение $x=36$ удовлетворяет ОДЗ ($36 > 0$).
Ответ: $36$.
в) Исходное уравнение: $\log_{\frac{1}{3}} 4 + \log_{\frac{1}{3}} x = \log_{\frac{1}{3}} 18$.
ОДЗ: $x > 0$.
Используем свойство суммы логарифмов $\log_a b + \log_a c = \log_a(b \cdot c)$ для левой части уравнения:
$\log_{\frac{1}{3}}(4 \cdot x) = \log_{\frac{1}{3}} 18$.
Поскольку основания логарифмов равны, приравниваем их аргументы:
$4x = 18$.
Решаем полученное линейное уравнение относительно $x$:
$x = \frac{18}{4} = \frac{9}{2} = 4.5$.
Значение $x=4.5$ удовлетворяет ОДЗ ($4.5 > 0$).
Ответ: $4.5$.
г) Исходное уравнение: $\log_{0.4} 9 - \log_{0.4} x = \log_{0.4} 3$.
ОДЗ: $x > 0$.
Используем свойство разности логарифмов $\log_a b - \log_a c = \log_a(\frac{b}{c})$ для левой части уравнения:
$\log_{0.4}(\frac{9}{x}) = \log_{0.4} 3$.
Так как основания логарифмов равны, приравниваем их аргументы:
$\frac{9}{x} = 3$.
Решаем полученное уравнение относительно $x$:
$9 = 3x$.
$x = \frac{9}{3} = 3$.
Значение $x=3$ удовлетворяет ОДЗ ($3 > 0$).
Ответ: $3$.
№44.12 (с. 181)
Условие. №44.12 (с. 181)
скриншот условия

44.12 a) $\log_x (2x^2 + x - 2) = 3;$
б) $\log_{x-1} (12x - x^2 - 19) = 3.$
Решение 1. №44.12 (с. 181)

Решение 2. №44.12 (с. 181)

Решение 5. №44.12 (с. 181)


Решение 6. №44.12 (с. 181)
Дано логарифмическое уравнение $\log_x(2x^2 + x - 2) = 3$.
По определению логарифма, $\log_b a = c$ эквивалентно $b^c = a$. Применим это к нашему уравнению. Но сначала определим область допустимых значений (ОДЗ).
ОДЗ:
1. Основание логарифма должно быть больше нуля и не равно единице: $x > 0$ и $x \neq 1$.
2. Выражение под знаком логарифма должно быть строго больше нуля: $2x^2 + x - 2 > 0$.
Теперь преобразуем исходное уравнение, используя определение логарифма:
$2x^2 + x - 2 = x^3$
Перенесем все члены в одну сторону, чтобы получить кубическое уравнение:
$x^3 - 2x^2 - x + 2 = 0$
Решим это уравнение методом группировки:
$(x^3 - 2x^2) - (x - 2) = 0$
$x^2(x - 2) - 1(x - 2) = 0$
$(x^2 - 1)(x - 2) = 0$
$(x - 1)(x + 1)(x - 2) = 0$
Отсюда получаем три возможных корня: $x_1 = 1$, $x_2 = -1$, $x_3 = 2$.
Проверим найденные корни на соответствие ОДЗ:
- $x_1 = 1$: не удовлетворяет условию $x \neq 1$.
- $x_2 = -1$: не удовлетворяет условию $x > 0$.
- $x_3 = 2$: удовлетворяет условиям $x > 0$ и $x \neq 1$. Проверим второе условие ОДЗ: $2(2^2) + 2 - 2 = 2 \cdot 4 + 0 = 8$. Так как $8 > 0$, условие выполняется.
Следовательно, уравнение имеет единственный корень $x=2$.
Ответ: 2
Дано логарифмическое уравнение $\log_{x-1}(12x - x^2 - 19) = 3$.
Найдем область допустимых значений (ОДЗ):
1. Основание логарифма должно быть больше нуля и не равно единице: $x-1 > 0$ и $x-1 \neq 1$. Отсюда $x > 1$ и $x \neq 2$.
2. Выражение под знаком логарифма должно быть строго больше нуля: $12x - x^2 - 19 > 0$. Умножим на -1 и изменим знак неравенства: $x^2 - 12x + 19 < 0$.
Найдем корни квадратного трехчлена $x^2 - 12x + 19 = 0$.
Дискриминант $D = (-12)^2 - 4 \cdot 1 \cdot 19 = 144 - 76 = 68$.
Корни: $x = \frac{12 \pm \sqrt{68}}{2} = \frac{12 \pm 2\sqrt{17}}{2} = 6 \pm \sqrt{17}$.
Так как ветви параболы $y=x^2 - 12x + 19$ направлены вверх, неравенство $x^2 - 12x + 19 < 0$ выполняется между корнями: $6 - \sqrt{17} < x < 6 + \sqrt{17}$.
Объединим все условия ОДЗ: $x > 1$, $x \neq 2$ и $6 - \sqrt{17} < x < 6 + \sqrt{17}$.
Поскольку $4 < \sqrt{17} < 5$, то $1 < 6 - \sqrt{17} < 2$. Таким образом, общая ОДЗ: $x \in (6 - \sqrt{17}; 2) \cup (2; 6 + \sqrt{17})$.
Теперь решим уравнение, используя определение логарифма:
$12x - x^2 - 19 = (x-1)^3$
Раскроем куб разности: $(x-1)^3 = x^3 - 3x^2 + 3x - 1$.
$12x - x^2 - 19 = x^3 - 3x^2 + 3x - 1$
Перенесем все члены в правую часть:
$x^3 - 3x^2 + x^2 + 3x - 12x - 1 + 19 = 0$
$x^3 - 2x^2 - 9x + 18 = 0$
Решим это уравнение методом группировки:
$(x^3 - 2x^2) - (9x - 18) = 0$
$x^2(x - 2) - 9(x - 2) = 0$
$(x^2 - 9)(x - 2) = 0$
$(x - 3)(x + 3)(x - 2) = 0$
Возможные корни: $x_1 = 3$, $x_2 = -3$, $x_3 = 2$.
Проверим корни на соответствие ОДЗ: $x \in (6 - \sqrt{17}; 2) \cup (2; 6 + \sqrt{17})$.
- $x_1 = 3$: Проверим, входит ли 3 в ОДЗ. $6 - \sqrt{17} \approx 6 - 4.12 = 1.88$ и $6 + \sqrt{17} \approx 6 + 4.12 = 10.12$. Неравенство $1.88 < 3 < 10.12$ верно, и $3 \neq 2$. Значит, $x=3$ является корнем.
- $x_2 = -3$: не удовлетворяет условию $x > 1$.
- $x_3 = 2$: не удовлетворяет условию $x \neq 2$.
Таким образом, решением уравнения является только $x=3$.
Ответ: 3
№44.15 (с. 181)
Условие. №44.15 (с. 181)
скриншот условия

44.15 a) $\log_5(6 - 5^x) = 1 - x$;
б) $\log_3(4 \cdot 3^{x-1} - 1) = 2x - 1$.
Решение 1. №44.15 (с. 181)

Решение 2. №44.15 (с. 181)


Решение 5. №44.15 (с. 181)


Решение 6. №44.15 (с. 181)
а) $\log_5(6 - 5^x) = 1 - x$
Найдем область допустимых значений (ОДЗ). Выражение под знаком логарифма должно быть строго положительным:
$6 - 5^x > 0$
$5^x < 6$
Прологарифмировав обе части по основанию 5, получаем:
$x < \log_5(6)$
Теперь решим само уравнение. По определению логарифма $\log_b a = c \iff a = b^c$:
$6 - 5^x = 5^{1-x}$
Используя свойство степеней $a^{m-n} = \frac{a^m}{a^n}$, преобразуем правую часть:
$6 - 5^x = \frac{5^1}{5^x}$
$6 - 5^x = \frac{5}{5^x}$
Сделаем замену переменной. Пусть $t = 5^x$. Так как показательная функция всегда положительна, то $t > 0$.
$6 - t = \frac{5}{t}$
Умножим обе части уравнения на $t$ (это возможно, так как $t \neq 0$):
$t(6 - t) = 5$
$6t - t^2 = 5$
Перенесем все члены в одну сторону, чтобы получить стандартное квадратное уравнение:
$t^2 - 6t + 5 = 0$
Решим это квадратное уравнение. По теореме Виета: сумма корней равна 6, а их произведение равно 5. Корни легко находятся: $t_1 = 1$ и $t_2 = 5$.
Оба корня удовлетворяют условию $t > 0$.
Выполним обратную замену:
1) $5^x = t_1 = 1 \implies 5^x = 5^0 \implies x_1 = 0$.
2) $5^x = t_2 = 5 \implies 5^x = 5^1 \implies x_2 = 1$.
Проверим, удовлетворяют ли найденные корни ОДЗ $x < \log_5(6)$.
Так как $5^1 = 5 < 6$, то $1 < \log_5(6)$.
Корень $x_1 = 0$ удовлетворяет условию $0 < \log_5(6)$.
Корень $x_2 = 1$ удовлетворяет условию $1 < \log_5(6)$.
Оба корня подходят.
Ответ: $0; 1$.
б) $\log_3(4 \cdot 3^{x-1} - 1) = 2x - 1$
Найдем область допустимых значений (ОДЗ). Выражение под знаком логарифма должно быть строго положительным:
$4 \cdot 3^{x-1} - 1 > 0$
$4 \cdot \frac{3^x}{3} > 1$
$\frac{4}{3} \cdot 3^x > 1$
$3^x > \frac{3}{4}$
Прологарифмировав обе части по основанию 3, получаем:
$x > \log_3(\frac{3}{4})$ (это отрицательное число, так как $\frac{3}{4} < 1$)
Теперь решим само уравнение. По определению логарифма:
$4 \cdot 3^{x-1} - 1 = 3^{2x-1}$
Используя свойства степеней, преобразуем уравнение:
$4 \cdot \frac{3^x}{3^1} - 1 = \frac{3^{2x}}{3^1}$
$\frac{4}{3} \cdot 3^x - 1 = \frac{(3^x)^2}{3}$
Сделаем замену переменной. Пусть $t = 3^x$. Так как $t > 0$.
$\frac{4}{3}t - 1 = \frac{t^2}{3}$
Умножим обе части уравнения на 3, чтобы избавиться от дробей:
$4t - 3 = t^2$
Перенесем все в одну сторону:
$t^2 - 4t + 3 = 0$
Решим полученное квадратное уравнение. По теореме Виета: сумма корней равна 4, произведение равно 3. Корни: $t_1 = 1$ и $t_2 = 3$.
Оба корня удовлетворяют условию $t > 0$.
Выполним обратную замену:
1) $3^x = t_1 = 1 \implies 3^x = 3^0 \implies x_1 = 0$.
2) $3^x = t_2 = 3 \implies 3^x = 3^1 \implies x_2 = 1$.
Проверим, удовлетворяют ли найденные корни ОДЗ $x > \log_3(\frac{3}{4})$.
Корень $x_1 = 0$. Условие $0 > \log_3(\frac{3}{4})$ выполняется, так как $\log_3(\frac{3}{4}) < 0$.
Корень $x_2 = 1$. Условие $1 > \log_3(\frac{3}{4})$ выполняется, так как $1 > 0$, а $\log_3(\frac{3}{4}) < 0$.
Оба корня подходят.
Ответ: $0; 1$.
№44.9 (с. 181)
Условие. №44.9 (с. 181)
скриншот условия

44.9 a) $2 \log_{8} x = \log_{8} 2,5 + \log_{8} 10;$
б) $3 \log_{2} \frac{1}{2} - \log_{2} \frac{1}{32} = \log_{2} x;$
в) $3 \log_{\frac{1}{7}} x = \log_{\frac{1}{7}} 9 + \log_{\frac{1}{7}} 3;$
г) $4 \log_{0,1} x = \log_{0,1} 2 + \log_{0,1} 8.$
Решение 1. №44.9 (с. 181)

Решение 2. №44.9 (с. 181)

Решение 5. №44.9 (с. 181)


Решение 6. №44.9 (с. 181)
а) Исходное уравнение: $2\log_8 x = \log_8 2,5 + \log_8 10$.
Область допустимых значений (ОДЗ) для логарифмических уравнений определяется условием, что аргумент логарифма должен быть строго положительным. В данном случае $x > 0$.
Воспользуемся свойствами логарифмов:
1. Свойство степени: $n \cdot \log_a b = \log_a b^n$.
2. Свойство суммы логарифмов: $\log_a b + \log_a c = \log_a (b \cdot c)$.
Преобразуем левую часть уравнения, используя свойство степени:
$2\log_8 x = \log_8 x^2$.
Преобразуем правую часть уравнения, используя свойство суммы логарифмов:
$\log_8 2,5 + \log_8 10 = \log_8 (2,5 \cdot 10) = \log_8 25$.
Теперь уравнение имеет вид:
$\log_8 x^2 = \log_8 25$.
Поскольку основания логарифмов в обеих частях уравнения равны, мы можем приравнять их аргументы:
$x^2 = 25$.
Решениями этого квадратного уравнения являются $x_1 = 5$ и $x_2 = -5$.
Проверяем решения на соответствие ОДЗ ($x > 0$). Корень $x = -5$ не удовлетворяет условию, поэтому он является посторонним. Корень $x=5$ удовлетворяет ОДЗ.
Ответ: $5$.
б) Исходное уравнение: $3\log_2 \frac{1}{2} - \log_2 \frac{1}{32} = \log_2 x$.
ОДЗ: $x > 0$.
Воспользуемся свойствами логарифмов:
1. Свойство степени: $n \cdot \log_a b = \log_a b^n$.
2. Свойство разности логарифмов: $\log_a b - \log_a c = \log_a (\frac{b}{c})$.
Преобразуем левую часть уравнения. Сначала применим свойство степени:
$3\log_2 \frac{1}{2} = \log_2 ((\frac{1}{2})^3) = \log_2 \frac{1}{8}$.
Теперь левая часть уравнения выглядит так: $\log_2 \frac{1}{8} - \log_2 \frac{1}{32}$.
Применим свойство разности логарифмов:
$\log_2 \frac{1}{8} - \log_2 \frac{1}{32} = \log_2 (\frac{1/8}{1/32}) = \log_2 (\frac{1}{8} \cdot 32) = \log_2 4$.
Уравнение принимает вид:
$\log_2 4 = \log_2 x$.
Приравниваем аргументы:
$x = 4$.
Полученное значение $x=4$ удовлетворяет ОДЗ.
Ответ: $4$.
в) Исходное уравнение: $3\log_{\frac{1}{7}} x = \log_{\frac{1}{7}} 9 + \log_{\frac{1}{7}} 3$.
ОДЗ: $x > 0$.
Применяем те же свойства логарифмов, что и в пункте а).
Преобразуем левую часть:
$3\log_{\frac{1}{7}} x = \log_{\frac{1}{7}} x^3$.
Преобразуем правую часть:
$\log_{\frac{1}{7}} 9 + \log_{\frac{1}{7}} 3 = \log_{\frac{1}{7}} (9 \cdot 3) = \log_{\frac{1}{7}} 27$.
Получаем уравнение:
$\log_{\frac{1}{7}} x^3 = \log_{\frac{1}{7}} 27$.
Приравниваем аргументы, так как основания логарифмов равны:
$x^3 = 27$.
Извлекаем кубический корень из обеих частей:
$x = \sqrt[3]{27} = 3$.
Значение $x=3$ удовлетворяет ОДЗ.
Ответ: $3$.
г) Исходное уравнение: $4\log_{0,1} x = \log_{0,1} 2 + \log_{0,1} 8$.
ОДЗ: $x > 0$.
Используем свойства логарифмов.
Преобразуем левую часть уравнения:
$4\log_{0,1} x = \log_{0,1} x^4$.
Преобразуем правую часть уравнения:
$\log_{0,1} 2 + \log_{0,1} 8 = \log_{0,1} (2 \cdot 8) = \log_{0,1} 16$.
Уравнение принимает вид:
$\log_{0,1} x^4 = \log_{0,1} 16$.
Приравниваем аргументы:
$x^4 = 16$.
Решениями этого уравнения являются $x_1 = 2$ и $x_2 = -2$.
Проверяем решения на соответствие ОДЗ ($x > 0$). Корень $x = -2$ не удовлетворяет условию. Корень $x=2$ удовлетворяет ОДЗ.
Ответ: $2$.
Помогло решение? Оставьте отзыв в комментариях ниже.