Страница 188, часть 2 - гдз по алгебре 10-11 класс задачник часть 1, 2 Мордкович, Семенов


Авторы: Мордкович А. Г., Семенов П. В., Денищева Л. О., Корешкова Т. А., Мишустина Т. Н., Тульчинская Е. Е.
Тип: Задачник
Издательство: Мнемозина
Год издания: 2019 - 2025
Уровень обучения: базовый
Часть: 2
Цвет обложки:
ISBN: 978-5-346-04509-0 (общ.), 978-5-346-04510-6 (ч. 1), 978-5-346-04511-3 (ч. 2)
Рекомендовано Министерством образования и науки Российской Федерации
Математика: алгебра и начала математического анализа, геометрия
Популярные ГДЗ в 10 классе
ч. 2. Cтраница 188

№47.4 (с. 188)
Условие. №47.4 (с. 188)
скриншот условия

47.4 a) $y = e^{3x-1}$, $x_0 = \frac{1}{3}$;
б) $y = 3e^{6+x}$, $x_0 = -5$;
в) $y = e^{4-9x}$, $x_0 = \frac{4}{9}$;
г) $y = e^{0,5x-3}$, $x_0 = 4.
Решение 1. №47.4 (с. 188)

Решение 2. №47.4 (с. 188)

Решение 5. №47.4 (с. 188)


Решение 6. №47.4 (с. 188)
а) Чтобы найти значение производной функции $y = e^{3x-1}$ в точке $x_0 = \frac{1}{3}$, сначала необходимо найти производную этой функции. Это сложная функция, и ее производная находится по правилу: $(e^{u(x)})' = e^{u(x)} \cdot u'(x)$.
В данном случае $u(x) = 3x-1$, а производная внутренней функции $u'(x) = (3x-1)' = 3$.
Следовательно, производная функции $y$ равна:
$y' = (e^{3x-1})' = e^{3x-1} \cdot (3x-1)' = 3e^{3x-1}$.
Теперь подставим значение $x_0 = \frac{1}{3}$ в выражение для производной:
$y'(\frac{1}{3}) = 3e^{3 \cdot \frac{1}{3} - 1} = 3e^{1-1} = 3e^0 = 3 \cdot 1 = 3$.
Ответ: 3
б) Дана функция $y = 3e^{6+x}$ и точка $x_0 = -5$.
Найдем производную функции, используя правило вынесения константы за знак производной и правило дифференцирования сложной функции: $y' = (3e^{6+x})' = 3 \cdot (e^{6+x})'$.
Для функции $e^{6+x}$ внутренняя функция $u(x) = 6+x$, и ее производная $u'(x) = 1$.
Таким образом, $y' = 3 \cdot e^{6+x} \cdot (6+x)' = 3e^{6+x} \cdot 1 = 3e^{6+x}$.
Вычислим значение производной в точке $x_0 = -5$:
$y'(-5) = 3e^{6+(-5)} = 3e^{6-5} = 3e^1 = 3e$.
Ответ: $3e$
в) Дана функция $y = e^{4-9x}$ и точка $x_0 = \frac{4}{9}$.
Найдем производную, используя правило дифференцирования сложной функции. Внутренняя функция $u(x) = 4-9x$, ее производная $u'(x) = -9$.
$y' = (e^{4-9x})' = e^{4-9x} \cdot (4-9x)' = e^{4-9x} \cdot (-9) = -9e^{4-9x}$.
Вычислим значение производной в точке $x_0 = \frac{4}{9}$:
$y'(\frac{4}{9}) = -9e^{4 - 9 \cdot \frac{4}{9}} = -9e^{4-4} = -9e^0 = -9 \cdot 1 = -9$.
Ответ: -9
г) Дана функция $y = e^{0.5x-3}$ и точка $x_0 = 4$.
Найдем производную сложной функции. Внутренняя функция $u(x) = 0.5x-3$, ее производная $u'(x) = 0.5$.
$y' = (e^{0.5x-3})' = e^{0.5x-3} \cdot (0.5x-3)' = 0.5e^{0.5x-3}$.
Вычислим значение производной в точке $x_0 = 4$:
$y'(4) = 0.5e^{0.5 \cdot 4 - 3} = 0.5e^{2-3} = 0.5e^{-1} = \frac{1}{2}e^{-1} = \frac{1}{2e}$.
Ответ: $\frac{1}{2e}$
№47.7 (с. 188)
Условие. №47.7 (с. 188)
скриншот условия

47.7 Найдите угол, образованный касательной к графику функции $y = h(x)$ с положительным направлением оси абсцисс в точке с абсциссой $x_0$:
a) $h(x) = \frac{1}{5}e^{5x-1}$, $x_0 = 0,2$;
б) $h(x) = e^{-x-\sqrt{3}}$, $x_0 = -\sqrt{3}$;
в) $h(x) = \frac{1}{3}e^{1-3x}$, $x_0 = \frac{1}{3}$;
г) $h(x) = e^{\frac{\sqrt{3}}{3}x-1}$, $x_0 = \sqrt{3}$.
Решение 1. №47.7 (с. 188)

Решение 2. №47.7 (с. 188)


Решение 5. №47.7 (с. 188)


Решение 6. №47.7 (с. 188)
Угол $\alpha$, образованный касательной к графику функции $y=h(x)$ с положительным направлением оси абсцисс, определяется тангенсом угла наклона этой касательной. Тангенс угла наклона, в свою очередь, равен значению производной функции в точке касания $x_0$. Таким образом, задача сводится к нахождению значения производной $h'(x_0)$ и последующему вычислению угла $\alpha$ из уравнения $\tan(\alpha) = h'(x_0)$.
а) Дана функция $h(x) = \frac{1}{5}e^{5x-1}$ и точка $x_0 = 0,2$. Сначала находим производную функции, используя правило дифференцирования сложной функции: $h'(x) = \left(\frac{1}{5}e^{5x-1}\right)' = \frac{1}{5} \cdot e^{5x-1} \cdot (5x-1)' = \frac{1}{5} \cdot e^{5x-1} \cdot 5 = e^{5x-1}$. Затем вычисляем значение производной в точке $x_0 = 0,2$: $h'(0,2) = e^{5 \cdot 0,2 - 1} = e^{1 - 1} = e^0 = 1$. Тангенс угла наклона касательной равен 1, то есть $\tan(\alpha) = 1$. Следовательно, искомый угол $\alpha = 45^\circ$.
Ответ: $45^\circ$
б) Дана функция $h(x) = e^{-x-\sqrt{3}}$ и точка $x_0 = -\sqrt{3}$. Находим производную: $h'(x) = \left(e^{-x-\sqrt{3}}\right)' = e^{-x-\sqrt{3}} \cdot (-x-\sqrt{3})' = -e^{-x-\sqrt{3}}$. Вычисляем значение производной в точке $x_0 = -\sqrt{3}$: $h'(-\sqrt{3}) = -e^{-(-\sqrt{3})-\sqrt{3}} = -e^{\sqrt{3}-\sqrt{3}} = -e^0 = -1$. Тангенс угла наклона касательной равен -1, то есть $\tan(\alpha) = -1$. Следовательно, искомый угол $\alpha = 135^\circ$.
Ответ: $135^\circ$
в) Дана функция $h(x) = \frac{1}{3}e^{1-3x}$ и точка $x_0 = \frac{1}{3}$. Находим производную: $h'(x) = \left(\frac{1}{3}e^{1-3x}\right)' = \frac{1}{3} \cdot e^{1-3x} \cdot (1-3x)' = \frac{1}{3} \cdot e^{1-3x} \cdot (-3) = -e^{1-3x}$. Вычисляем значение производной в точке $x_0 = \frac{1}{3}$: $h'\left(\frac{1}{3}\right) = -e^{1 - 3 \cdot \frac{1}{3}} = -e^{1-1} = -e^0 = -1$. Тангенс угла наклона касательной равен -1, то есть $\tan(\alpha) = -1$. Следовательно, искомый угол $\alpha = 135^\circ$.
Ответ: $135^\circ$
г) Дана функция $h(x) = e^{\frac{\sqrt{3}}{3}x - 1}$ и точка $x_0 = \sqrt{3}$. Находим производную: $h'(x) = \left(e^{\frac{\sqrt{3}}{3}x - 1}\right)' = e^{\frac{\sqrt{3}}{3}x - 1} \cdot \left(\frac{\sqrt{3}}{3}x - 1\right)' = e^{\frac{\sqrt{3}}{3}x - 1} \cdot \frac{\sqrt{3}}{3}$. Вычисляем значение производной в точке $x_0 = \sqrt{3}$: $h'(\sqrt{3}) = e^{\frac{\sqrt{3}}{3} \cdot \sqrt{3} - 1} \cdot \frac{\sqrt{3}}{3} = e^{\frac{3}{3} - 1} \cdot \frac{\sqrt{3}}{3} = e^{1-1} \cdot \frac{\sqrt{3}}{3} = e^0 \cdot \frac{\sqrt{3}}{3} = \frac{\sqrt{3}}{3}$. Тангенс угла наклона касательной равен $\frac{\sqrt{3}}{3}$, то есть $\tan(\alpha) = \frac{\sqrt{3}}{3}$. Следовательно, искомый угол $\alpha = 30^\circ$.
Ответ: $30^\circ$
№47.2 (с. 188)
Условие. №47.2 (с. 188)
скриншот условия

47.2 Найдите производную функции $y = f(x)$:
a) $f(x) = 4 - e^x$;
б) $f(x) = x^3e^x$;
в) $f(x) = -8e^x$;
г) $f(x) = \frac{e^x}{x^3}$.
Решение 1. №47.2 (с. 188)

Решение 2. №47.2 (с. 188)

Решение 5. №47.2 (с. 188)

Решение 6. №47.2 (с. 188)
а) Для нахождения производной функции $f(x) = 4 - e^x$ воспользуемся правилом дифференцирования разности: производная разности равна разности производных.
$f'(x) = (4 - e^x)' = (4)' - (e^x)'$.
Производная константы (числа 4) равна нулю: $(4)' = 0$.
Производная показательной функции $e^x$ равна самой себе: $(e^x)' = e^x$.
Таким образом, получаем:
$f'(x) = 0 - e^x = -e^x$.
Ответ: $f'(x) = -e^x$.
б) Для нахождения производной функции $f(x) = x^3e^x$ применим правило дифференцирования произведения двух функций: $(u \cdot v)' = u'v + uv'$.
Пусть $u(x) = x^3$ и $v(x) = e^x$.
Найдём их производные: $u'(x) = (x^3)' = 3x^2$ и $v'(x) = (e^x)' = e^x$.
Теперь подставим всё в формулу производной произведения:
$f'(x) = (x^3)' \cdot e^x + x^3 \cdot (e^x)' = 3x^2 \cdot e^x + x^3 \cdot e^x$.
Результат можно оставить в таком виде или вынести общий множитель $x^2e^x$ за скобки: $f'(x) = x^2e^x(3 + x)$.
Ответ: $f'(x) = 3x^2e^x + x^3e^x$.
в) Для нахождения производной функции $f(x) = -8e^x$ используем правило вынесения константы за знак производной: $(c \cdot u)' = c \cdot u'$.
$f'(x) = (-8e^x)' = -8 \cdot (e^x)'$.
Так как производная $(e^x)' = e^x$, получаем:
$f'(x) = -8e^x$.
Ответ: $f'(x) = -8e^x$.
г) Для нахождения производной функции $f(x) = \frac{e^x}{x^3}$ воспользуемся правилом дифференцирования частного (дроби): $(\frac{u}{v})' = \frac{u'v - uv'}{v^2}$.
Пусть $u(x) = e^x$ и $v(x) = x^3$.
Найдём их производные: $u'(x) = (e^x)' = e^x$ и $v'(x) = (x^3)' = 3x^2$.
Подставляем в формулу:
$f'(x) = \frac{(e^x)' \cdot x^3 - e^x \cdot (x^3)'}{(x^3)^2} = \frac{e^x \cdot x^3 - e^x \cdot 3x^2}{x^6}$.
Упростим выражение, вынеся в числителе общий множитель $e^x x^2$:
$f'(x) = \frac{e^x x^2(x - 3)}{x^6}$.
Сократим дробь на $x^2$ (при условии $x \neq 0$):
$f'(x) = \frac{e^x(x - 3)}{x^4}$.
Ответ: $f'(x) = \frac{e^x(x - 3)}{x^4}$.
№47.5 (с. 188)
Условие. №47.5 (с. 188)
скриншот условия

47.5 Найдите угловой коэффициент касательной к графику функции $y = f(x)$ в точке с абсциссой $x_0$:
а) $f(x) = \sqrt[3]{x} \cdot e^x, x_0 = 1;$
б) $f(x) = \frac{\sqrt{x}}{e^x}, x_0 = 1;$
в) $f(x) = 4e^x + 3, x_0 = -2;$
г) $f(x) = 0,1e^x - 10x, x_0 = 0.$
Решение 1. №47.5 (с. 188)

Решение 2. №47.5 (с. 188)


Решение 5. №47.5 (с. 188)


Решение 6. №47.5 (с. 188)
Угловой коэффициент касательной к графику функции $y = f(x)$ в точке с абсциссой $x_0$ равен значению производной функции в этой точке, то есть $k = f'(x_0)$.
а) $f(x) = \sqrt[3]{x} \cdot e^x, x_0 = 1$
Для нахождения производной функции, представленной в виде произведения двух функций $u(x) = \sqrt[3]{x} = x^{1/3}$ и $v(x) = e^x$, воспользуемся правилом дифференцирования произведения $(uv)' = u'v + uv'$.
Находим производные функций $u(x)$ и $v(x)$:
$u'(x) = (x^{1/3})' = \frac{1}{3}x^{1/3-1} = \frac{1}{3}x^{-2/3} = \frac{1}{3\sqrt[3]{x^2}}$
$v'(x) = (e^x)' = e^x$
Теперь находим производную исходной функции:
$f'(x) = (\sqrt[3]{x} \cdot e^x)' = (\sqrt[3]{x})' \cdot e^x + \sqrt[3]{x} \cdot (e^x)' = \frac{1}{3\sqrt[3]{x^2}} \cdot e^x + \sqrt[3]{x} \cdot e^x = e^x \left(\frac{1}{3\sqrt[3]{x^2}} + \sqrt[3]{x}\right)$.
Вычисляем значение производной в точке $x_0 = 1$:
$k = f'(1) = e^1 \left(\frac{1}{3\sqrt[3]{1^2}} + \sqrt[3]{1}\right) = e \left(\frac{1}{3} + 1\right) = e \cdot \frac{4}{3} = \frac{4e}{3}$.
Ответ: $\frac{4e}{3}$.
б) $f(x) = \frac{\sqrt{x}}{e^x}, x_0 = 1$
Для нахождения производной функции, представленной в виде частного двух функций $u(x) = \sqrt{x}$ и $v(x) = e^x$, воспользуемся правилом дифференцирования частного $\left(\frac{u}{v}\right)' = \frac{u'v - uv'}{v^2}$.
Находим производные функций $u(x)$ и $v(x)$:
$u'(x) = (\sqrt{x})' = \frac{1}{2\sqrt{x}}$
$v'(x) = (e^x)' = e^x$
Находим производную исходной функции:
$f'(x) = \left(\frac{\sqrt{x}}{e^x}\right)' = \frac{(\sqrt{x})' \cdot e^x - \sqrt{x} \cdot (e^x)'}{(e^x)^2} = \frac{\frac{1}{2\sqrt{x}} \cdot e^x - \sqrt{x} \cdot e^x}{e^{2x}}$.
Вынесем $e^x$ за скобки в числителе и сократим дробь:
$f'(x) = \frac{e^x \left(\frac{1}{2\sqrt{x}} - \sqrt{x}\right)}{e^{2x}} = \frac{\frac{1}{2\sqrt{x}} - \sqrt{x}}{e^x}$.
Вычисляем значение производной в точке $x_0 = 1$:
$k = f'(1) = \frac{\frac{1}{2\sqrt{1}} - \sqrt{1}}{e^1} = \frac{\frac{1}{2} - 1}{e} = \frac{-1/2}{e} = -\frac{1}{2e}$.
Ответ: $-\frac{1}{2e}$.
в) $f(x) = 4e^x + 3, x_0 = -2$
Находим производную функции, используя правило дифференцирования суммы и то, что производная константы равна нулю:
$f'(x) = (4e^x + 3)' = (4e^x)' + (3)' = 4(e^x)' + 0 = 4e^x$.
Вычисляем значение производной в точке $x_0 = -2$:
$k = f'(-2) = 4e^{-2} = \frac{4}{e^2}$.
Ответ: $4e^{-2}$.
г) $f(x) = 0,1e^x - 10x, x_0 = 0$
Находим производную функции, используя правило дифференцирования разности:
$f'(x) = (0,1e^x - 10x)' = (0,1e^x)' - (10x)' = 0,1e^x - 10$.
Вычисляем значение производной в точке $x_0 = 0$:
$k = f'(0) = 0,1e^0 - 10$.
Так как $e^0 = 1$, получаем:
$k = 0,1 \cdot 1 - 10 = 0,1 - 10 = -9,9$.
Ответ: $-9,9$.
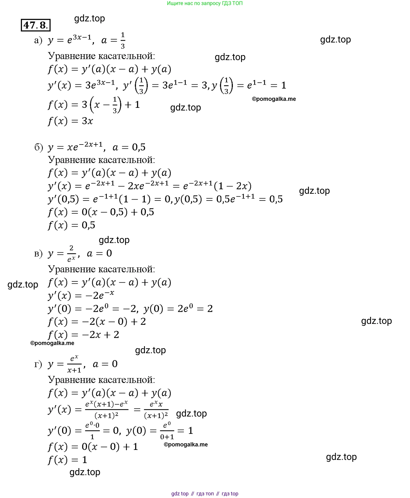
№47.8 (с. 188)
Условие. №47.8 (с. 188)
скриншот условия

47.8 Решите уравнение $f'(x) = a$, если:
а) $f(x) = 3e^{x+4}$, $a = -\frac{3}{e}$;
б) $f(x) = 2 + \frac{1}{3}e^{-6x-13}$, $a = -2$;
в) $f(x) = 2e^{-7x+9}$, $a = -14$;
г) $f(x) = 42 - e^{0.1x-4}$, $a = 0.1$.
Решение 1. №47.8 (с. 188)

Решение 2. №47.8 (с. 188)


Решение 5. №47.8 (с. 188)



Решение 6. №47.8 (с. 188)
а) Дана функция $f(x) = 3e^{x+4}$ и значение производной $a = \frac{3}{e}$.
Сначала найдем производную функции $f(x)$, используя правило дифференцирования сложной функции $(Ce^{u(x)})' = C \cdot e^{u(x)} \cdot u'(x)$.
$f'(x) = (3e^{x+4})' = 3 \cdot e^{x+4} \cdot (x+4)' = 3e^{x+4}$.
Теперь приравняем производную к заданному значению $a$ и решим уравнение:
$3e^{x+4} = \frac{3}{e}$
Разделим обе части на 3: $e^{x+4} = \frac{1}{e}$.
Поскольку $\frac{1}{e} = e^{-1}$, уравнение принимает вид: $e^{x+4} = e^{-1}$.
Приравнивая показатели степени, получаем: $x+4 = -1$, откуда $x = -5$.
Ответ: -5.
б) Дана функция $f(x) = 2 + \frac{1}{3}e^{-6x-13}$ и значение производной $a = -2$.
Найдем производную функции $f(x)$. Производная константы равна нулю.
$f'(x) = (2 + \frac{1}{3}e^{-6x-13})' = 0 + \frac{1}{3}e^{-6x-13} \cdot (-6x-13)' = \frac{1}{3}e^{-6x-13} \cdot (-6) = -2e^{-6x-13}$.
Приравняем производную к $a$ и решим уравнение:
$-2e^{-6x-13} = -2$
Разделим обе части на -2: $e^{-6x-13} = 1$.
Так как $1 = e^0$, имеем: $e^{-6x-13} = e^0$.
Приравнивая показатели степени, получаем: $-6x-13 = 0$, откуда $-6x = 13$ и $x = -\frac{13}{6}$.
Ответ: $-\frac{13}{6}$.
в) Дана функция $f(x) = 2e^{-7x+9}$ и значение производной $a = -14$.
Найдем производную функции $f(x)$:
$f'(x) = (2e^{-7x+9})' = 2 \cdot e^{-7x+9} \cdot (-7x+9)' = 2e^{-7x+9} \cdot (-7) = -14e^{-7x+9}$.
Приравняем производную к $a$ и решим уравнение:
$-14e^{-7x+9} = -14$
Разделим обе части на -14: $e^{-7x+9} = 1$.
Так как $1 = e^0$, имеем: $e^{-7x+9} = e^0$.
Приравнивая показатели степени, получаем: $-7x+9 = 0$, откуда $-7x = -9$ и $x = \frac{9}{7}$.
Ответ: $\frac{9}{7}$.
г) Дана функция $f(x) = 42 - e^{0.1x-4}$ и значение производной $a = 0.1$.
Найдем производную функции $f(x)$:
$f'(x) = (42 - e^{0.1x-4})' = 0 - e^{0.1x-4} \cdot (0.1x-4)' = -e^{0.1x-4} \cdot 0.1 = -0.1e^{0.1x-4}$.
Приравняем производную к $a$ и решим уравнение:
$-0.1e^{0.1x-4} = 0.1$
Разделим обе части на -0.1: $e^{0.1x-4} = -1$.
Показательная функция $e^y$ всегда положительна ($e^y > 0$) для любого действительного аргумента $y$. Следовательно, уравнение $e^{0.1x-4} = -1$ не имеет решений в действительных числах.
Ответ: нет корней.
№47.3 (с. 188)
Условие. №47.3 (с. 188)
скриншот условия

Найдите значение производной заданной функции в указанной точке $x_0$:
47.3 а) $y = e^x + x^2$, $x_0 = 0$;
б) $y = e^x (x + 1)$, $x_0 = -1$;
в) $y = e^x - x$, $x_0 = 1$;
г) $y = \frac{e^x}{x+1}$, $x_0 = 0$.
Решение 1. №47.3 (с. 188)

Решение 2. №47.3 (с. 188)

Решение 5. №47.3 (с. 188)


Решение 6. №47.3 (с. 188)
а) Дана функция $y = e^x + x^2$ и точка $x_0 = 0$.
Для нахождения значения производной в точке, сначала найдем производную функции $y'(x)$. Функция является суммой двух функций, поэтому ее производная равна сумме производных: $y' = (e^x + x^2)' = (e^x)' + (x^2)'$.
Используем известные правила дифференцирования: производная экспоненциальной функции $(e^x)' = e^x$, а производная степенной функции $(x^n)' = nx^{n-1}$. Таким образом, $(x^2)' = 2x$.
Получаем производную: $y' = e^x + 2x$.
Теперь подставим значение $x_0 = 0$ в выражение для производной: $y'(0) = e^0 + 2 \cdot 0 = 1 + 0 = 1$.
Ответ: 1
б) Дана функция $y = e^x (x + 1)$ и точка $x_0 = -1$.
Найдем производную функции, используя правило дифференцирования произведения двух функций $(uv)' = u'v + uv'$. Пусть $u(x) = e^x$ и $v(x) = x + 1$. Тогда их производные: $u'(x) = (e^x)' = e^x$ и $v'(x) = (x+1)' = 1$.
Подставляем в формулу производной произведения: $y' = (e^x)'(x+1) + e^x(x+1)' = e^x(x+1) + e^x \cdot 1$.
Упростим выражение: $y' = e^x(x+1+1) = e^x(x+2)$.
Теперь вычислим значение производной в точке $x_0 = -1$: $y'(-1) = e^{-1}(-1 + 2) = e^{-1} \cdot 1 = e^{-1} = \frac{1}{e}$.
Ответ: $\frac{1}{e}$
в) Дана функция $y = e^x - x$ и точка $x_0 = 1$.
Найдем производную функции, используя правило дифференцирования разности: $(u-v)' = u' - v'$. $y' = (e^x - x)' = (e^x)' - (x)'$.
Производная $(e^x)' = e^x$ и производная $(x)'=1$. Следовательно, $y' = e^x - 1$.
Вычислим значение производной в точке $x_0 = 1$: $y'(1) = e^1 - 1 = e - 1$.
Ответ: $e - 1$
г) Дана функция $y = \frac{e^x}{x+1}$ и точка $x_0 = 0$.
Найдем производную функции, используя правило дифференцирования частного $(\frac{u}{v})' = \frac{u'v - uv'}{v^2}$. Пусть $u(x) = e^x$ и $v(x) = x + 1$. Их производные: $u'(x) = e^x$ и $v'(x) = 1$.
Подставляем в формулу: $y' = \frac{(e^x)'(x+1) - e^x(x+1)'}{(x+1)^2} = \frac{e^x(x+1) - e^x \cdot 1}{(x+1)^2}$.
Упростим выражение в числителе: $y' = \frac{e^x(x+1-1)}{(x+1)^2} = \frac{xe^x}{(x+1)^2}$.
Вычислим значение производной в точке $x_0 = 0$: $y'(0) = \frac{0 \cdot e^0}{(0+1)^2} = \frac{0 \cdot 1}{1^2} = \frac{0}{1} = 0$.
Ответ: 0
№47.6 (с. 188)
Условие. №47.6 (с. 188)
скриншот условия

47.6 Найдите тангенс угла наклона касательной к графику функции $y = h(x)$ в точке с абсциссой $x_0$:
a) $h(x) = \left(\frac{1}{e}\right)^x, x_0 = 0;$
в) $h(x) = \frac{1}{e^x} + x^5, x_0 = -1;$
б) $h(x) = e^{-x + 2}, x_0 = 2;$
г) $h(x) = x + e^{2x - 3}, x_0 = 1,5.$
Решение 1. №47.6 (с. 188)

Решение 2. №47.6 (с. 188)

Решение 5. №47.6 (с. 188)


Решение 6. №47.6 (с. 188)
Тангенс угла наклона касательной к графику функции $y = h(x)$ в точке с абсциссой $x_0$ равен значению производной этой функции в данной точке. Это следует из геометрического смысла производной. Таким образом, нам нужно найти $h'(x_0)$ для каждого случая.
Формула: $\tan(\alpha) = h'(x_0)$.
а) Дана функция $h(x) = (\frac{1}{e})^x$ и точка $x_0 = 0$.
Сначала упростим вид функции: $h(x) = (e^{-1})^x = e^{-x}$.
Найдем производную функции, используя правило дифференцирования показательной функции и правило для сложной функции: $h'(x) = (e^{-x})' = e^{-x} \cdot (-x)' = -e^{-x}$.
Теперь вычислим значение производной в точке $x_0 = 0$: $h'(0) = -e^{-0} = -e^0 = -1$.
Ответ: -1
б) Дана функция $h(x) = e^{-x+2}$ и точка $x_0 = 2$.
Найдем производную функции по правилу дифференцирования сложной функции: $h'(x) = (e^{-x+2})' = e^{-x+2} \cdot (-x+2)' = e^{-x+2} \cdot (-1) = -e^{-x+2}$.
Вычислим значение производной в точке $x_0 = 2$: $h'(2) = -e^{-2+2} = -e^0 = -1$.
Ответ: -1
в) Дана функция $h(x) = \frac{1}{e^x} + x^5$ и точка $x_0 = -1$.
Представим функцию в виде $h(x) = e^{-x} + x^5$.
Найдем производную как сумму производных: $h'(x) = (e^{-x})' + (x^5)' = -e^{-x} + 5x^4$.
Вычислим значение производной в точке $x_0 = -1$: $h'(-1) = -e^{-(-1)} + 5(-1)^4 = -e^1 + 5 \cdot 1 = 5 - e$.
Ответ: $5 - e$
г) Дана функция $h(x) = x + e^{2x-3}$ и точка $x_0 = 1,5$.
Найдем производную как сумму производных, используя правило дифференцирования сложной функции для второго слагаемого: $h'(x) = (x)' + (e^{2x-3})' = 1 + e^{2x-3} \cdot (2x-3)' = 1 + 2e^{2x-3}$.
Вычислим значение производной в точке $x_0 = 1,5$: $h'(1,5) = 1 + 2e^{2 \cdot 1,5 - 3} = 1 + 2e^{3 - 3} = 1 + 2e^0 = 1 + 2 \cdot 1 = 3$.
Ответ: 3
Помогло решение? Оставьте отзыв в комментариях ниже.