Страница 187, часть 2 - гдз по алгебре 10-11 класс задачник часть 1, 2 Мордкович, Семенов


Авторы: Мордкович А. Г., Семенов П. В., Денищева Л. О., Корешкова Т. А., Мишустина Т. Н., Тульчинская Е. Е.
Тип: Задачник
Издательство: Мнемозина
Год издания: 2019 - 2025
Уровень обучения: базовый
Часть: 2
Цвет обложки:
ISBN: 978-5-346-04509-0 (общ.), 978-5-346-04510-6 (ч. 1), 978-5-346-04511-3 (ч. 2)
Рекомендовано Министерством образования и науки Российской Федерации
Математика: алгебра и начала математического анализа, геометрия
Популярные ГДЗ в 10 классе
ч. 2. Cтраница 187

№46.11 (с. 187)
Условие. №46.11 (с. 187)
скриншот условия

46.11 Известно, что $\lg 2 = a$, $\lg 3 = b$. Вычислите:
а) $\log_4 12$;
б) $\log_6 18$;
в) $\log_{0.5} 3$;
г) $\log_{\frac{1}{3}} 24$.
Решение 1. №46.11 (с. 187)

Решение 2. №46.11 (с. 187)

Решение 5. №46.11 (с. 187)

Решение 6. №46.11 (с. 187)
Для решения всех пунктов задачи воспользуемся формулой перехода к новому основанию логарифма: $log_x y = \frac{log_z y}{log_z x}$. В нашем случае удобно перейти к десятичному логарифму ($lg$), так как даны значения $lg 2 = a$ и $lg 3 = b$. Также будем использовать свойства логарифмов: $lg(xy) = lg(x) + lg(y)$ и $lg(x^k) = k \cdot lg(x)$.
а) Вычислим $log_4 12$.
Перейдем к основанию 10:
$log_4 12 = \frac{lg 12}{lg 4}$
Разложим числа 12 и 4 на простые множители 2 и 3:
$12 = 4 \cdot 3 = 2^2 \cdot 3$
$4 = 2^2$
Подставим разложения в формулу и применим свойства логарифмов:
$\frac{lg(2^2 \cdot 3)}{lg(2^2)} = \frac{lg(2^2) + lg 3}{2 \cdot lg 2} = \frac{2 \cdot lg 2 + lg 3}{2 \cdot lg 2}$
Теперь подставим известные значения $lg 2 = a$ и $lg 3 = b$:
$\frac{2a + b}{2a}$
Ответ: $\frac{2a + b}{2a}$
б) Вычислим $log_6 18$.
Перейдем к основанию 10:
$log_6 18 = \frac{lg 18}{lg 6}$
Разложим числа 18 и 6 на простые множители 2 и 3:
$18 = 2 \cdot 9 = 2 \cdot 3^2$
$6 = 2 \cdot 3$
Подставим разложения и применим свойства логарифмов:
$\frac{lg(2 \cdot 3^2)}{lg(2 \cdot 3)} = \frac{lg 2 + lg(3^2)}{lg 2 + lg 3} = \frac{lg 2 + 2 \cdot lg 3}{lg 2 + lg 3}$
Подставим известные значения $a$ и $b$:
$\frac{a + 2b}{a + b}$
Ответ: $\frac{a + 2b}{a + b}$
в) Вычислим $log_{0,5} 3$.
Перейдем к основанию 10:
$log_{0,5} 3 = \frac{lg 3}{lg 0,5}$
Представим 0,5 в виде степени двойки:
$0,5 = \frac{1}{2} = 2^{-1}$
Подставим это значение в знаменатель и используем свойство логарифма степени:
$\frac{lg 3}{lg(2^{-1})} = \frac{lg 3}{-1 \cdot lg 2} = -\frac{lg 3}{lg 2}$
Подставим известные значения $a$ и $b$:
$-\frac{b}{a}$
Ответ: $-\frac{b}{a}$
г) Вычислим $log_{\frac{1}{3}} 24$.
Перейдем к основанию 10:
$log_{\frac{1}{3}} 24 = \frac{lg 24}{lg(\frac{1}{3})}$
Разложим 24 на простые множители и представим $\frac{1}{3}$ в виде степени:
$24 = 8 \cdot 3 = 2^3 \cdot 3$
$\frac{1}{3} = 3^{-1}$
Подставим разложения и применим свойства логарифмов:
$\frac{lg(2^3 \cdot 3)}{lg(3^{-1})} = \frac{lg(2^3) + lg 3}{-1 \cdot lg 3} = \frac{3 \cdot lg 2 + lg 3}{-lg 3}$
Подставим известные значения $a$ и $b$:
$\frac{3a + b}{-b} = -\frac{3a + b}{b}$
Ответ: $-\frac{3a + b}{b}$
№46.14 (с. 187)
Условие. №46.14 (с. 187)
скриншот условия

46.14 a) $\log_4(x + 12) \cdot \log_x 2 = 1;$
б) $1 + \log_x 5 \cdot \log_7 x = \log_5 35 \cdot \log_x 5.$
Решение 1. №46.14 (с. 187)

Решение 2. №46.14 (с. 187)

Решение 5. №46.14 (с. 187)


Решение 6. №46.14 (с. 187)
a) Исходное уравнение: $\log_4(x + 12) \cdot \log_x 2 = 1$.
Сначала найдем область допустимых значений (ОДЗ). Аргумент логарифма должен быть положительным, а основание — положительным и не равным единице.
$\begin{cases} x + 12 > 0 \\ x > 0 \\ x \neq 1\end{cases}$
Из первого неравенства получаем $x > -12$. Объединяя все условия, получаем ОДЗ: $x > 0$ и $x \neq 1$.
Для решения уравнения воспользуемся формулой перехода к новому основанию: $\log_a b = \frac{\log_c b}{\log_c a}$.
Преобразуем множители в левой части уравнения, перейдя к основанию 2:
$\log_4(x + 12) = \frac{\log_2(x + 12)}{\log_2 4} = \frac{\log_2(x + 12)}{2}$
$\log_x 2 = \frac{\log_2 2}{\log_2 x} = \frac{1}{\log_2 x}$
Подставим преобразованные выражения в исходное уравнение:
$\frac{\log_2(x + 12)}{2} \cdot \frac{1}{\log_2 x} = 1$
Умножим обе части на $2 \log_2 x$ (с учетом ОДЗ, $\log_2 x \neq 0$, так как $x \neq 1$):
$\log_2(x + 12) = 2 \log_2 x$
Используя свойство степени логарифма $n \log_a b = \log_a b^n$, получаем:
$\log_2(x + 12) = \log_2(x^2)$
Так как основания логарифмов равны, приравниваем их аргументы:
$x + 12 = x^2$
Перенесем все члены в одну сторону, чтобы получить квадратное уравнение:
$x^2 - x - 12 = 0$
Решим это уравнение. По теореме Виета, сумма корней равна 1, а произведение равно -12. Корни: $x_1 = 4$ и $x_2 = -3$.
Проверим найденные корни на соответствие ОДЗ ($x > 0$ и $x \neq 1$). Корень $x_1 = 4$ удовлетворяет условиям ОДЗ, так как $4 > 0$ и $4 \neq 1$. Корень $x_2 = -3$ не удовлетворяет условию $x > 0$, поэтому является посторонним корнем.
Таким образом, единственным решением уравнения является $x=4$.
Ответ: $4$.
б) Исходное уравнение: $1 + \log_x 5 \cdot \log_7 x = \log_5 35 \cdot \log_x 5$.
ОДЗ определяется условиями на основание и аргумент логарифма: $x > 0$ и $x \neq 1$.
Упростим некоторые части уравнения, используя свойства логарифмов. Воспользуемся формулой $\log_a b \cdot \log_b c = \log_a c$ (формула перехода к новому основанию, записанная в виде произведения).
Рассмотрим произведение $\log_x 5 \cdot \log_7 x$. Поменяв множители местами, получаем $\log_7 x \cdot \log_x 5 = \log_7 5$.
Теперь преобразуем логарифм в правой части: $\log_5 35 = \log_5 (5 \cdot 7) = \log_5 5 + \log_5 7 = 1 + \log_5 7$.
Подставим упрощенные выражения обратно в уравнение:
$1 + \log_7 5 = (1 + \log_5 7) \cdot \log_x 5$
Раскроем скобки в правой части:
$1 + \log_7 5 = 1 \cdot \log_x 5 + \log_5 7 \cdot \log_x 5$
$1 + \log_7 5 = \log_x 5 + \log_5 7 \cdot \log_x 5$
Снова применим формулу $\log_a b \cdot \log_b c = \log_a c$ к последнему слагаемому в правой части: $\log_5 7 \cdot \log_x 5 = \log_x 5 \cdot \log_5 7 = \log_x 7$.
Уравнение принимает вид:
$1 + \log_7 5 = \log_x 5 + \log_x 7$
Используем свойство суммы логарифмов $\log_a b + \log_a c = \log_a (bc)$:
$1 + \log_7 5 = \log_x (5 \cdot 7)$
$1 + \log_7 5 = \log_x 35$
Представим 1 в левой части как логарифм по основанию 7: $1 = \log_7 7$.
$\log_7 7 + \log_7 5 = \log_x 35$
$\log_7 (7 \cdot 5) = \log_x 35$
$\log_7 35 = \log_x 35$
Из этого равенства следует, что основания логарифмов должны быть равны (поскольку их аргументы равны и не равны 1).
$x = 7$
Проверим корень на соответствие ОДЗ ($x > 0$ и $x \neq 1$). Корень $x=7$ удовлетворяет этим условиям.
Ответ: $7$.
№46.9 (с. 187)
Условие. №46.9 (с. 187)
скриншот условия

Вычислите:
46.9 а) $9^{\log_3 4} + \log_{\sqrt{6}} 3 \cdot \log_3 36;$
б) $\log_3 8 \cdot \log_2 27 - 3^{\log_9 25};$
в) $3^{4 \log_3^2} + \log_5 \sqrt{2} \cdot \log_4 25;$
г) $10^{0,5 \lg 16} + 14 \log_3 \sqrt{2} \cdot \log_4 81.$
Решение 1. №46.9 (с. 187)

Решение 2. №46.9 (с. 187)

Решение 5. №46.9 (с. 187)


Решение 6. №46.9 (с. 187)
а) $9^{\log_3 4} + \log_{\sqrt{6}} 3 \cdot \log_3 36$
Для решения данного выражения, вычислим каждое слагаемое по отдельности.
1. Упростим первое слагаемое $9^{\log_3 4}$. Представим основание $9$ в виде степени числа $3$: $9=3^2$.
$9^{\log_3 4} = (3^2)^{\log_3 4} = 3^{2\log_3 4}$
Используя свойство логарифма $n\log_a b = \log_a b^n$, получаем:
$3^{2\log_3 4} = 3^{\log_3 4^2} = 3^{\log_3 16}$
По основному логарифмическому тождеству $a^{\log_a b} = b$, имеем:
$3^{\log_3 16} = 16$.
2. Упростим второе слагаемое $\log_{\sqrt{6}} 3 \cdot \log_3 36$. Преобразуем оба логарифма, используя свойства логарифмов $\log_{a^k} b = \frac{1}{k}\log_a b$ и $\log_a b^k = k\log_a b$:
$\log_{\sqrt{6}} 3 = \log_{6^{1/2}} 3 = \frac{1}{1/2}\log_6 3 = 2\log_6 3$
$\log_3 36 = \log_3 6^2 = 2\log_3 6$
Теперь перемножим полученные выражения:
$(2\log_6 3) \cdot (2\log_3 6) = 4 \cdot (\log_6 3 \cdot \log_3 6)$
Используя свойство $\log_a b \cdot \log_b a = 1$, получаем:
$4 \cdot 1 = 4$.
3. Сложим полученные результаты:
$16 + 4 = 20$.
Ответ: 20.
б) $\log_3 8 \cdot \log_2 27 - 3^{\log_9 25}$
Решим по частям.
1. Вычислим произведение $\log_3 8 \cdot \log_2 27$. Представим $8$ как $2^3$ и $27$ как $3^3$:
$\log_3 8 = \log_3 2^3 = 3\log_3 2$
$\log_2 27 = \log_2 3^3 = 3\log_2 3$
Их произведение:
$(3\log_3 2) \cdot (3\log_2 3) = 9 \cdot (\log_3 2 \cdot \log_2 3)$
По свойству $\log_a b \cdot \log_b a = 1$:
$9 \cdot 1 = 9$.
2. Упростим вычитаемое $3^{\log_9 25}$. Преобразуем логарифм в показателе степени, используя свойство $\log_{a^k} b^m = \frac{m}{k}\log_a b$:
$\log_9 25 = \log_{3^2} 5^2 = \frac{2}{2}\log_3 5 = \log_3 5$
Подставим это в выражение:
$3^{\log_9 25} = 3^{\log_3 5}$
По основному логарифмическому тождеству $a^{\log_a b} = b$:
$3^{\log_3 5} = 5$.
3. Вычислим разность:
$9 - 5 = 4$.
Ответ: 4.
в) $3^{4 \log_3^2} + \log_5 \sqrt{2} \cdot \log_4 25$
Запись первого слагаемого $3^{4 \log_3^2}$ является неоднозначной и, скорее всего, содержит опечатку. Наиболее вероятный вариант исходного выражения — $3^{4\log_3 2}$. Решим задачу при этом условии.
1. Упростим первое слагаемое $3^{4\log_3 2}$.
$3^{4\log_3 2} = 3^{\log_3 2^4} = 3^{\log_3 16}$
По основному логарифмическому тождеству, $3^{\log_3 16} = 16$.
2. Упростим второе слагаемое $\log_5 \sqrt{2} \cdot \log_4 25$.
Преобразуем множители:
$\log_5 \sqrt{2} = \log_5 2^{1/2} = \frac{1}{2}\log_5 2$
$\log_4 25 = \log_{2^2} 5^2 = \frac{2}{2}\log_2 5 = \log_2 5$
Перемножим их:
$(\frac{1}{2}\log_5 2) \cdot (\log_2 5) = \frac{1}{2} \cdot (\log_5 2 \cdot \log_2 5) = \frac{1}{2} \cdot 1 = 0,5$.
3. Сложим результаты:
$16 + 0,5 = 16,5$.
Ответ: 16,5.
г) $10^{0,5 \lg 16} + 14 \log_3 \sqrt{2} \cdot \log_4 81$
Вычислим каждое слагаемое отдельно.
1. Упростим $10^{0,5 \lg 16}$. Запись $\lg$ означает логарифм по основанию 10.
$10^{0,5 \lg 16} = 10^{0,5 \log_{10} 16} = 10^{\log_{10} 16^{0,5}}$
Так как $16^{0,5} = \sqrt{16} = 4$, получаем:
$10^{\log_{10} 4} = 4$.
2. Упростим второе слагаемое $14 \log_3 \sqrt{2} \cdot \log_4 81$.
Преобразуем логарифмы:
$\log_3 \sqrt{2} = \log_3 2^{1/2} = \frac{1}{2}\log_3 2$
$\log_4 81 = \log_{2^2} 3^4 = \frac{4}{2}\log_2 3 = 2\log_2 3$
Теперь вычислим все произведение:
$14 \cdot (\frac{1}{2}\log_3 2) \cdot (2\log_2 3) = 14 \cdot \frac{1}{2} \cdot 2 \cdot (\log_3 2 \cdot \log_2 3)$
$14 \cdot 1 \cdot (\log_3 2 \cdot \log_2 3) = 14 \cdot 1 = 14$.
3. Сложим полученные значения:
$4 + 14 = 18$.
Ответ: 18.
№46.12 (с. 187)
Условие. №46.12 (с. 187)
скриншот условия

46.12 Известно, что $log_2 5 = a$, $log_2 3 = b$. Вычислите:
а) $log_3 15$;
б) $log_8 75$;
в) $log_{16} 45$;
г) $log_{15} 12$.
Решение 1. №46.12 (с. 187)

Решение 2. №46.12 (с. 187)

Решение 5. №46.12 (с. 187)

Решение 6. №46.12 (с. 187)
а) Чтобы вычислить $\log_3 15$, воспользуемся формулой перехода к новому основанию. Перейдем к основанию 2, так как нам даны логарифмы по этому основанию: $\log_3 15 = \frac{\log_2 15}{\log_2 3}$. Теперь преобразуем числитель, используя свойство логарифма произведения ($15 = 3 \cdot 5$): $\log_2 15 = \log_2 (3 \cdot 5) = \log_2 3 + \log_2 5$. Подставим известные значения $\log_2 5 = a$ и $\log_2 3 = b$: $\log_3 15 = \frac{\log_2 3 + \log_2 5}{\log_2 3} = \frac{b + a}{b}$.
Ответ: $\frac{a+b}{b}$
б) Для вычисления $\log_8 75$ перейдем к основанию 2: $\log_8 75 = \frac{\log_2 75}{\log_2 8}$. Преобразуем знаменатель: $\log_2 8 = \log_2 (2^3) = 3$. Преобразуем числитель, разложив $75$ на множители ($75 = 3 \cdot 25 = 3 \cdot 5^2$): $\log_2 75 = \log_2 (3 \cdot 5^2) = \log_2 3 + \log_2 (5^2) = \log_2 3 + 2 \log_2 5$. Подставив известные значения $a$ и $b$, получаем: $\log_2 75 = b + 2a$. Следовательно, $\log_8 75 = \frac{2a + b}{3}$.
Ответ: $\frac{2a+b}{3}$
в) Для вычисления $\log_{16} 45$ перейдем к основанию 2: $\log_{16} 45 = \frac{\log_2 45}{\log_2 16}$. Преобразуем знаменатель: $\log_2 16 = \log_2 (2^4) = 4$. Преобразуем числитель, разложив $45$ на множители ($45 = 9 \cdot 5 = 3^2 \cdot 5$): $\log_2 45 = \log_2 (3^2 \cdot 5) = \log_2 (3^2) + \log_2 5 = 2 \log_2 3 + \log_2 5$. Подставив известные значения $a$ и $b$, получаем: $\log_2 45 = 2b + a$. Следовательно, $\log_{16} 45 = \frac{a + 2b}{4}$.
Ответ: $\frac{a+2b}{4}$
г) Для вычисления $\log_{15} 12$ перейдем к основанию 2: $\log_{15} 12 = \frac{\log_2 12}{\log_2 15}$. Преобразуем числитель, разложив $12 = 4 \cdot 3 = 2^2 \cdot 3$: $\log_2 12 = \log_2 (2^2 \cdot 3) = \log_2 (2^2) + \log_2 3 = 2 + \log_2 3 = 2 + b$. Преобразуем знаменатель, разложив $15 = 3 \cdot 5$: $\log_2 15 = \log_2 (3 \cdot 5) = \log_2 3 + \log_2 5 = b + a$. Следовательно, $\log_{15} 12 = \frac{2 + b}{a + b}$.
Ответ: $\frac{b+2}{a+b}$
№46.15 (с. 187)
Условие. №46.15 (с. 187)
скриншот условия

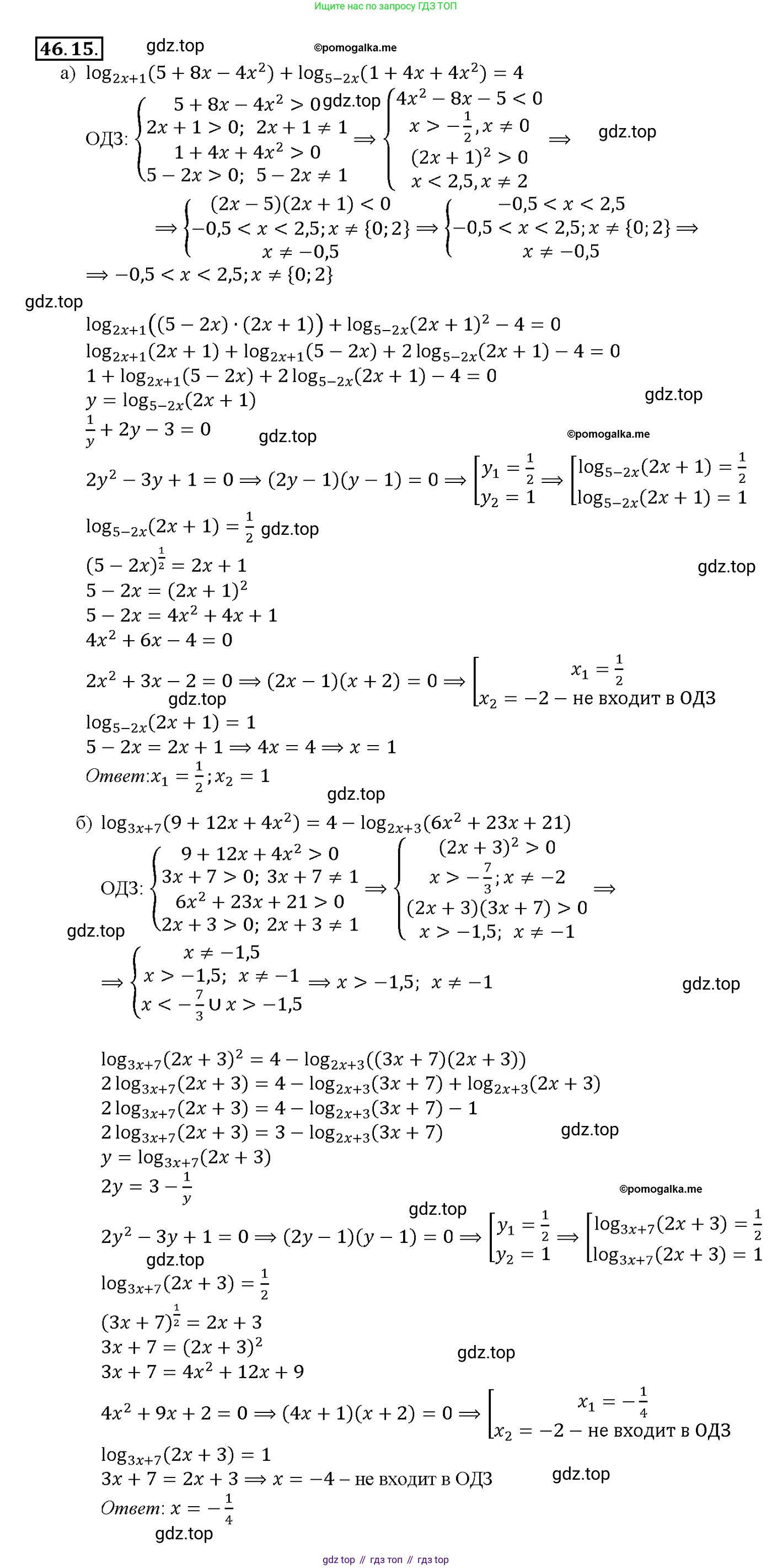
46.15 a) $\log_{2x+1}(5 + 8x - 4x^2) + \log_{5-2x}(1 + 4x + 4x^2) = 4;$
б) $\log_{3x+7}(9 + 12x + 4x^2) = 4 - \log_{2x+3}(6x^2 + 23x + 21).$
Решение 1. №46.15 (с. 187)

Решение 2. №46.15 (с. 187)



Решение 5. №46.15 (с. 187)




Решение 6. №46.15 (с. 187)
а) $\log_{2x+1}(5 + 8x - 4x^2) + \log_{5-2x}(1 + 4x + 4x^2) = 4$
1. Найдем область допустимых значений (ОДЗ). Основания логарифмов должны быть положительны и не равны единице, а подлогарифмические выражения должны быть положительны.
$\begin{cases} 2x+1 > 0 \\ 2x+1 \neq 1 \\ 5-2x > 0 \\ 5-2x \neq 1 \\ 5 + 8x - 4x^2 > 0 \\ 1 + 4x + 4x^2 > 0 \end{cases}$ $\implies$ $\begin{cases} x > -1/2 \\ x \neq 0 \\ x < 5/2 \\ x \neq 2 \\ -(4x^2 - 8x - 5) > 0 \\ (2x+1)^2 > 0 \end{cases}$
Рассмотрим неравенство $4x^2 - 8x - 5 < 0$. Корни уравнения $4x^2 - 8x - 5 = 0$ равны $x = \frac{8 \pm \sqrt{64 - 4(4)(-5)}}{8} = \frac{8 \pm \sqrt{144}}{8} = \frac{8 \pm 12}{8}$, то есть $x_1 = 20/8 = 5/2$ и $x_2 = -4/8 = -1/2$. Следовательно, неравенство выполняется при $x \in (-1/2, 5/2)$.
Неравенство $(2x+1)^2 > 0$ выполняется для всех $x \neq -1/2$.
Объединяя все условия, получаем ОДЗ: $x \in (-1/2, 5/2) \setminus \{0, 2\}$.
2. Упростим подлогарифмические выражения.
$5 + 8x - 4x^2 = -(4x^2 - 8x - 5) = -(2x-5)(2x+1) = (5-2x)(2x+1)$.
$1 + 4x + 4x^2 = (2x+1)^2$.
3. Подставим упрощенные выражения в исходное уравнение:
$\log_{2x+1}((2x+1)(5-2x)) + \log_{5-2x}((2x+1)^2) = 4$
4. Используем свойства логарифмов $\log_a(bc) = \log_a b + \log_a c$ и $\log_a(b^k) = k \log_a b$:
$\log_{2x+1}(2x+1) + \log_{2x+1}(5-2x) + 2\log_{5-2x}(2x+1) = 4$
$1 + \log_{2x+1}(5-2x) + 2\log_{5-2x}(2x+1) = 4$
5. Сделаем замену. Пусть $t = \log_{2x+1}(5-2x)$. Тогда $\log_{5-2x}(2x+1) = \frac{1}{t}$.
$1 + t + \frac{2}{t} = 4$
$t + \frac{2}{t} - 3 = 0$
Умножим на $t \neq 0$ (в ОДЗ основания не равны 1, поэтому аргументы тоже не равны 1, значит $t \neq 0$):
$t^2 - 3t + 2 = 0$
По теореме Виета, корни уравнения: $t_1 = 1$, $t_2 = 2$.
6. Вернемся к исходной переменной.
Случай 1: $t=1$.
$\log_{2x+1}(5-2x) = 1$
$5-2x = 2x+1$
$4 = 4x$
$x = 1$. Этот корень принадлежит ОДЗ.
Случай 2: $t=2$.
$\log_{2x+1}(5-2x) = 2$
$5-2x = (2x+1)^2$
$5-2x = 4x^2 + 4x + 1$
$4x^2 + 6x - 4 = 0$
$2x^2 + 3x - 2 = 0$
Дискриминант $D = 3^2 - 4(2)(-2) = 9 + 16 = 25$.
$x = \frac{-3 \pm \sqrt{25}}{4} = \frac{-3 \pm 5}{4}$
$x_1 = \frac{2}{4} = \frac{1}{2}$. Этот корень принадлежит ОДЗ.
$x_2 = \frac{-8}{4} = -2$. Этот корень не принадлежит ОДЗ, так как $-2 < -1/2$.
Ответ: $1; 1/2$.
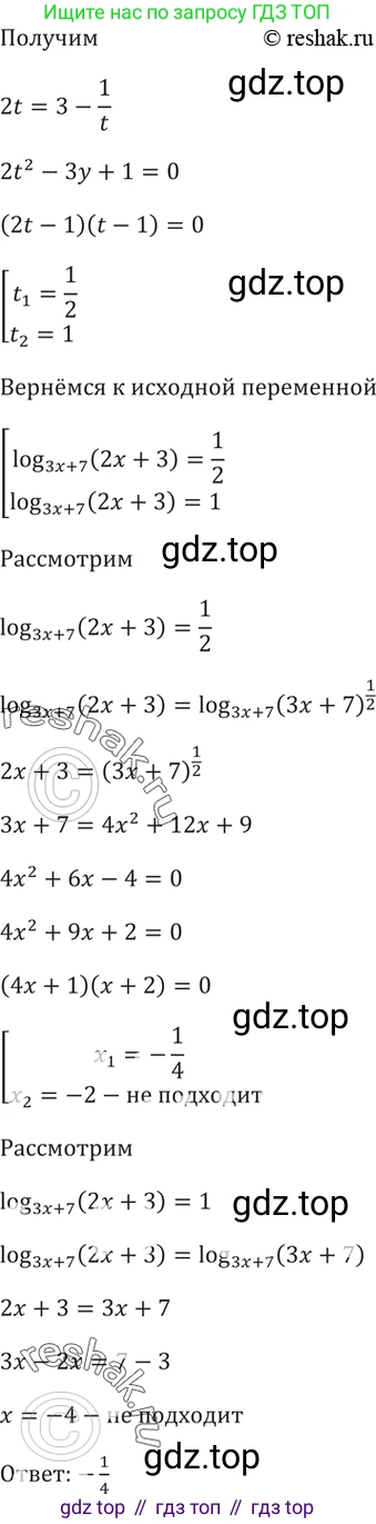
б) $\log_{3x+7}(9 + 12x + 4x^2) = 4 - \log_{2x+3}(6x^2 + 23x + 21)$
1. Найдем область допустимых значений (ОДЗ).
$\begin{cases} 3x+7 > 0 \\ 3x+7 \neq 1 \\ 2x+3 > 0 \\ 2x+3 \neq 1 \\ 9 + 12x + 4x^2 > 0 \\ 6x^2 + 23x + 21 > 0 \end{cases}$ $\implies$ $\begin{cases} x > -7/3 \\ x \neq -2 \\ x > -3/2 \\ x \neq -1 \\ (2x+3)^2 > 0 \\ (2x+3)(3x+7) > 0 \end{cases}$
Из $x > -7/3$ (т.е. $x \approx -2.33$) и $x > -3/2$ (т.е. $x = -1.5$) следует, что $x > -3/2$. При этом условии неравенства $(2x+3)^2 > 0$ и $(2x+3)(3x+7) > 0$ выполняются автоматически. Условие $x \neq -2$ также выполняется.
Остается ОДЗ: $x \in (-3/2, \infty) \setminus \{-1\}$.
2. Преобразуем уравнение. Перенесем второй логарифм в левую часть:
$\log_{3x+7}(9 + 12x + 4x^2) + \log_{2x+3}(6x^2 + 23x + 21) = 4$
Упростим подлогарифмические выражения:
$9 + 12x + 4x^2 = (2x+3)^2$
$6x^2 + 23x + 21 = (2x+3)(3x+7)$
3. Подставим в уравнение:
$\log_{3x+7}((2x+3)^2) + \log_{2x+3}((2x+3)(3x+7)) = 4$
4. Используем свойства логарифмов:
$2\log_{3x+7}(2x+3) + \log_{2x+3}(2x+3) + \log_{2x+3}(3x+7) = 4$
$2\log_{3x+7}(2x+3) + 1 + \log_{2x+3}(3x+7) = 4$
5. Сделаем замену. Пусть $t = \log_{3x+7}(2x+3)$. Тогда $\log_{2x+3}(3x+7) = \frac{1}{t}$.
$2t + 1 + \frac{1}{t} = 4$
$2t + \frac{1}{t} - 3 = 0$
Умножим на $t \neq 0$:
$2t^2 - 3t + 1 = 0$
Дискриминант $D = (-3)^2 - 4(2)(1) = 9 - 8 = 1$.
$t = \frac{3 \pm \sqrt{1}}{4} = \frac{3 \pm 1}{4}$
$t_1 = \frac{4}{4} = 1$, $t_2 = \frac{2}{4} = \frac{1}{2}$.
6. Вернемся к исходной переменной.
Случай 1: $t=1$.
$\log_{3x+7}(2x+3) = 1$
$2x+3 = 3x+7$
$x = -4$. Этот корень не принадлежит ОДЗ, так как $-4 < -3/2$.
Случай 2: $t=1/2$.
$\log_{3x+7}(2x+3) = 1/2$
$(3x+7)^{1/2} = 2x+3$
$\sqrt{3x+7} = 2x+3$
Возведем в квадрат обе части. В ОДЗ обе части неравенства положительны, поэтому это преобразование является равносильным.
$3x+7 = (2x+3)^2$
$3x+7 = 4x^2 + 12x + 9$
$4x^2 + 9x + 2 = 0$
Дискриминант $D = 9^2 - 4(4)(2) = 81 - 32 = 49$.
$x = \frac{-9 \pm \sqrt{49}}{8} = \frac{-9 \pm 7}{8}$
$x_1 = \frac{-2}{8} = -1/4$. Этот корень принадлежит ОДЗ $(-3/2, \infty) \setminus \{-1\}$.
$x_2 = \frac{-16}{8} = -2$. Этот корень не принадлежит ОДЗ, так как $-2 < -3/2$.
Ответ: $-1/4$.
№46.10 (с. 187)
Условие. №46.10 (с. 187)
скриншот условия

46.10 a) $\frac{\log_2 56}{\log_{28} 2} - \frac{\log_2 7}{\log_{224} 2}$;
б) $\frac{\log_3 135}{\log_{45} 3} - \frac{\log_3 5}{\log_{1215} 3}$.
Решение 1. №46.10 (с. 187)

Решение 2. №46.10 (с. 187)

Решение 5. №46.10 (с. 187)

Решение 6. №46.10 (с. 187)
a)
Дано выражение: $\frac{\log_2 56}{\log_{28} 2} - \frac{\log_2 7}{\log_{224} 2}$.
Воспользуемся формулой замены основания логарифма: $\log_b a = \frac{1}{\log_a b}$. Применим ее к знаменателям дробей:
$\log_{28} 2 = \frac{1}{\log_2 28}$
$\log_{224} 2 = \frac{1}{\log_2 224}$
Подставим эти выражения обратно в исходное:
$\frac{\log_2 56}{\frac{1}{\log_2 28}} - \frac{\log_2 7}{\frac{1}{\log_2 224}} = (\log_2 56)(\log_2 28) - (\log_2 7)(\log_2 224)$.
Теперь применим свойство логарифма произведения $\log_a (bc) = \log_a b + \log_a c$. Для этого разложим числа под логарифмами на множители:
$56 = 8 \cdot 7 = 2^3 \cdot 7$
$28 = 4 \cdot 7 = 2^2 \cdot 7$
$224 = 32 \cdot 7 = 2^5 \cdot 7$
Теперь преобразуем логарифмы:
$\log_2 56 = \log_2(2^3 \cdot 7) = \log_2(2^3) + \log_2 7 = 3 + \log_2 7$
$\log_2 28 = \log_2(2^2 \cdot 7) = \log_2(2^2) + \log_2 7 = 2 + \log_2 7$
$\log_2 224 = \log_2(2^5 \cdot 7) = \log_2(2^5) + \log_2 7 = 5 + \log_2 7$
Подставим полученные выражения в наше уравнение:
$(3 + \log_2 7)(2 + \log_2 7) - (\log_2 7)(5 + \log_2 7)$.
Чтобы упростить вычисления, введем замену: пусть $x = \log_2 7$. Тогда выражение примет вид:
$(3 + x)(2 + x) - x(5 + x)$.
Раскроем скобки и приведем подобные слагаемые:
$(6 + 3x + 2x + x^2) - (5x + x^2) = 6 + 5x + x^2 - 5x - x^2 = 6$.
Ответ: 6
б)
Дано выражение: $\frac{\log_3 135}{\log_{45} 3} - \frac{\log_3 5}{\log_{1215} 3}$.
Используем ту же формулу замены основания логарифма $\log_b a = \frac{1}{\log_a b}$ для знаменателей:
$\log_{45} 3 = \frac{1}{\log_3 45}$
$\log_{1215} 3 = \frac{1}{\log_3 1215}$
Подставляем в исходное выражение:
$\frac{\log_3 135}{\frac{1}{\log_3 45}} - \frac{\log_3 5}{\frac{1}{\log_3 1215}} = (\log_3 135)(\log_3 45) - (\log_3 5)(\log_3 1215)$.
Применим свойство логарифма произведения. Разложим числа под логарифмами на множители:
$135 = 27 \cdot 5 = 3^3 \cdot 5$
$45 = 9 \cdot 5 = 3^2 \cdot 5$
$1215 = 243 \cdot 5 = 3^5 \cdot 5$
Преобразуем логарифмы:
$\log_3 135 = \log_3(3^3 \cdot 5) = \log_3(3^3) + \log_3 5 = 3 + \log_3 5$
$\log_3 45 = \log_3(3^2 \cdot 5) = \log_3(3^2) + \log_3 5 = 2 + \log_3 5$
$\log_3 1215 = \log_3(3^5 \cdot 5) = \log_3(3^5) + \log_3 5 = 5 + \log_3 5$
Подставим эти выражения в наше уравнение:
$(3 + \log_3 5)(2 + \log_3 5) - (\log_3 5)(5 + \log_3 5)$.
Введем замену: пусть $y = \log_3 5$. Выражение примет вид:
$(3 + y)(2 + y) - y(5 + y)$.
Раскроем скобки и упростим:
$(6 + 3y + 2y + y^2) - (5y + y^2) = 6 + 5y + y^2 - 5y - y^2 = 6$.
Ответ: 6
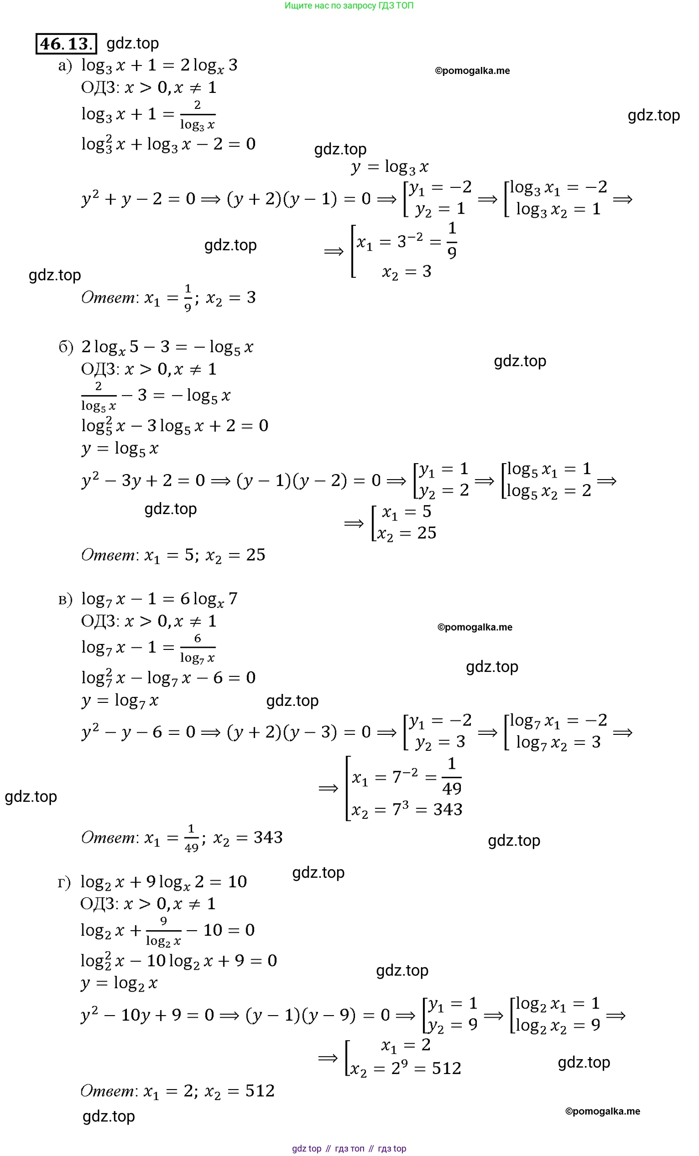
№46.13 (с. 187)
Условие. №46.13 (с. 187)
скриншот условия

Решите уравнение:
46.13 a) $ \log_3 x + 1 = 2 \log_x 3; $
б) $ 2 \log_x 5 - 3 = - \log_5 x; $
в) $ \log_7 x - 1 = 6 \log_x 7; $
г) $ \log_2 x + 9 \log_x 2 = 10. $
Решение 1. №46.13 (с. 187)

Решение 2. №46.13 (с. 187)



Решение 5. №46.13 (с. 187)



Решение 6. №46.13 (с. 187)
а) $log_3 x + 1 = 2 log_x 3$
Область допустимых значений (ОДЗ) определяется условиями на основание и аргумент логарифма: $x > 0$ и $x \ne 1$.
Используем формулу смены основания логарифма $log_b a = \frac{1}{log_a b}$, чтобы привести $log_x 3$ к основанию 3: $log_x 3 = \frac{1}{log_3 x}$.
Подставим это выражение в исходное уравнение:
$log_3 x + 1 = 2 \cdot \frac{1}{log_3 x}$
Введем замену переменной. Пусть $t = log_3 x$. Уравнение примет вид:
$t + 1 = \frac{2}{t}$
Умножим обе части уравнения на $t$ (по ОДЗ $x \ne 1$, следовательно $t = log_3 x \ne 0$):
$t(t + 1) = 2$
$t^2 + t - 2 = 0$
Решим полученное квадратное уравнение. Его корни: $t_1 = 1$ и $t_2 = -2$.
Выполним обратную замену:
1) $log_3 x = 1 \implies x = 3^1 = 3$.
2) $log_3 x = -2 \implies x = 3^{-2} = \frac{1}{9}$.
Оба найденных значения $x$ удовлетворяют ОДЗ.
Ответ: $3; \frac{1}{9}$.
б) $2 log_x 5 - 3 = -log_5 x$
ОДЗ: $x > 0$ и $x \ne 1$.
Приведем уравнение к одному логарифму. Перенесем $log_5 x$ в левую часть и воспользуемся свойством $log_x 5 = \frac{1}{log_5 x}$:
$2 \cdot \frac{1}{log_5 x} + log_5 x - 3 = 0$
Сделаем замену $t = log_5 x$ (где $t \ne 0$):
$\frac{2}{t} + t - 3 = 0$
Умножим все члены уравнения на $t$:
$2 + t^2 - 3t = 0$
$t^2 - 3t + 2 = 0$
Корни этого квадратного уравнения: $t_1 = 1$ и $t_2 = 2$.
Выполним обратную замену:
1) $log_5 x = 1 \implies x = 5^1 = 5$.
2) $log_5 x = 2 \implies x = 5^2 = 25$.
Оба корня удовлетворяют ОДЗ.
Ответ: $5; 25$.
в) $log_7 x - 1 = 6 log_x 7$
ОДЗ: $x > 0$ и $x \ne 1$.
Используем свойство $log_x 7 = \frac{1}{log_7 x}$ и подставим в уравнение:
$log_7 x - 1 = 6 \cdot \frac{1}{log_7 x}$
Пусть $t = log_7 x$ ($t \ne 0$):
$t - 1 = \frac{6}{t}$
Умножим на $t$:
$t(t-1) = 6$
$t^2 - t - 6 = 0$
Корни квадратного уравнения: $t_1 = 3$ и $t_2 = -2$.
Выполним обратную замену:
1) $log_7 x = 3 \implies x = 7^3 = 343$.
2) $log_7 x = -2 \implies x = 7^{-2} = \frac{1}{49}$.
Оба корня удовлетворяют ОДЗ.
Ответ: $343; \frac{1}{49}$.
г) $log_2 x + 9 log_x 2 = 10$
ОДЗ: $x > 0$ и $x \ne 1$.
Используем свойство $log_x 2 = \frac{1}{log_2 x}$:
$log_2 x + 9 \cdot \frac{1}{log_2 x} = 10$
Пусть $t = log_2 x$ ($t \ne 0$):
$t + \frac{9}{t} = 10$
Умножим обе части на $t$:
$t^2 + 9 = 10t$
$t^2 - 10t + 9 = 0$
Корни квадратного уравнения: $t_1 = 1$ и $t_2 = 9$.
Выполним обратную замену:
1) $log_2 x = 1 \implies x = 2^1 = 2$.
2) $log_2 x = 9 \implies x = 2^9 = 512$.
Оба корня удовлетворяют ОДЗ.
Ответ: $2; 512$.
№46.16 (с. 187)
Условие. №46.16 (с. 187)
скриншот условия

46.16 Решите неравенство:
a) $\log_9 x^2 + \log_3^2(-x) < 2;$
б) $\log_4 x^2 + \log_2^2(-x) > 6.$
Решение 1. №46.16 (с. 187)

Решение 2. №46.16 (с. 187)


Решение 5. №46.16 (с. 187)


Решение 6. №46.16 (с. 187)
а)
Решим неравенство $\log_9 x^2 + \log_3^2(-x) < 2$.
1. Найдем область допустимых значений (ОДЗ). Аргумент логарифма должен быть строго больше нуля.
$\begin{cases} x^2 > 0 \\ -x > 0 \end{cases} \implies \begin{cases} x \neq 0 \\ x < 0 \end{cases} \implies x < 0$.
Таким образом, ОДЗ: $x \in (-\infty, 0)$.
2. Преобразуем левую часть неравенства, используя свойства логарифмов. Воспользуемся формулой перехода к новому основанию и свойством логарифма степени.
$\log_9 x^2 = \log_{3^2} x^2 = \frac{1}{2}\log_3 x^2 = \frac{1}{2} \cdot 2 \log_3 |x| = \log_3|x|$.
Поскольку из ОДЗ мы знаем, что $x < 0$, то $|x| = -x$.
Следовательно, $\log_9 x^2 = \log_3(-x)$.
Неравенство принимает вид: $\log_3(-x) + \log_3^2(-x) < 2$.
3. Сделаем замену переменной. Пусть $t = \log_3(-x)$.
Неравенство превращается в квадратное: $t + t^2 < 2$, или $t^2 + t - 2 < 0$.
Найдем корни квадратного трехчлена $t^2 + t - 2 = 0$. По теореме Виета, корни $t_1 = -2$ и $t_2 = 1$.
Так как ветви параболы $y = t^2 + t - 2$ направлены вверх, неравенство $t^2 + t - 2 < 0$ выполняется между корнями: $-2 < t < 1$.
4. Вернемся к исходной переменной:
$-2 < \log_3(-x) < 1$.
Это двойное неравенство равносильно системе:
$\begin{cases} \log_3(-x) > -2 \\ \log_3(-x) < 1 \end{cases}$
Так как основание логарифма $3 > 1$, при потенцировании знак неравенства сохраняется:
$\begin{cases} -x > 3^{-2} \\ -x < 3^1 \end{cases} \implies \begin{cases} -x > \frac{1}{9} \\ -x < 3 \end{cases} \implies \begin{cases} x < -\frac{1}{9} \\ x > -3 \end{cases}$
Получаем интервал $-3 < x < -\frac{1}{9}$.
5. Сравним полученное решение с ОДЗ. Интервал $(-3, -1/9)$ полностью входит в область допустимых значений $x < 0$.
Ответ: $x \in (-3, -1/9)$.
б)
Решим неравенство $\log_4 x^2 + \log_2^2(-x) > 6$.
1. Найдем область допустимых значений (ОДЗ).
$\begin{cases} x^2 > 0 \\ -x > 0 \end{cases} \implies \begin{cases} x \neq 0 \\ x < 0 \end{cases} \implies x < 0$.
ОДЗ: $x \in (-\infty, 0)$.
2. Преобразуем левую часть неравенства.
$\log_4 x^2 = \log_{2^2} x^2 = \frac{1}{2}\log_2 x^2 = \frac{1}{2} \cdot 2 \log_2 |x| = \log_2|x|$.
Так как $x < 0$, то $|x| = -x$.
Таким образом, $\log_4 x^2 = \log_2(-x)$.
Неравенство принимает вид: $\log_2(-x) + \log_2^2(-x) > 6$.
3. Сделаем замену переменной. Пусть $t = \log_2(-x)$.
Получим квадратное неравенство: $t + t^2 > 6$, или $t^2 + t - 6 > 0$.
Найдем корни уравнения $t^2 + t - 6 = 0$. По теореме Виета, корни $t_1 = -3$ и $t_2 = 2$.
Ветви параболы $y = t^2 + t - 6$ направлены вверх, поэтому неравенство $t^2 + t - 6 > 0$ выполняется вне интервала между корнями: $t < -3$ или $t > 2$.
4. Вернемся к исходной переменной. Получаем совокупность двух неравенств:
$\left[\begin{array}{l} \log_2(-x) < -3 \\ \log_2(-x) > 2 \end{array}\right.$
Так как основание логарифма $2 > 1$, при потенцировании знак неравенства сохраняется:
$\left[\begin{array}{l} -x < 2^{-3} \\ -x > 2^2 \end{array}\right. \implies \left[\begin{array}{l} -x < \frac{1}{8} \\ -x > 4 \end{array}\right. \implies \left[\begin{array}{l} x > -\frac{1}{8} \\ x < -4 \end{array}\right.$
5. Учтем ОДЗ $x < 0$.
Для первого случая $x > -1/8$, с учетом ОДЗ получаем $-1/8 < x < 0$.
Для второго случая $x < -4$, с учетом ОДЗ получаем $x < -4$.
Объединяя эти два интервала, получаем окончательное решение.
Ответ: $x \in (-\infty, -4) \cup (-1/8, 0)$.
№47.1 (с. 187)
Условие. №47.1 (с. 187)
скриншот условия

47.1 Постройте график функции:
а) $y = e^x + 4$;
б) $y = e^{-x} + 1$;
в) $y = e^{x - 3}$;
г) $y = e^{x - 2} - 3$.
Решение 1. №47.1 (с. 187)

Решение 2. №47.1 (с. 187)




Решение 5. №47.1 (с. 187)



Решение 6. №47.1 (с. 187)
Для построения графиков данных функций мы будем использовать метод преобразования графика основной показательной функции $y = e^x$.
Основные свойства функции $y = e^x$:
- Область определения: все действительные числа, $D(y) = (-\infty, +\infty)$.
- Область значений: все положительные действительные числа, $E(y) = (0, +\infty)$.
- График проходит через точку $(0, 1)$, так как $e^0 = 1$.
- Горизонтальная асимптота: ось Ox (прямая $y=0$) при $x \to -\infty$.
- Функция является возрастающей на всей области определения.
а) $y = e^x + 4$
График этой функции можно получить из графика функции $y = e^x$ путем сдвига вверх.
1. Базовый график: Возьмем график функции $y = e^x$.
2. Преобразование: Данная функция имеет вид $y = f(x) + c$, где $f(x) = e^x$ и $c=4$. Это означает, что мы должны выполнить параллельный перенос (сдвиг) графика $y = e^x$ на 4 единицы вверх вдоль оси Oy.
3. Свойства полученного графика:
- Контрольная точка $(0, 1)$ с базового графика перемещается в точку $(0, 1+4) = (0, 5)$.
- Горизонтальная асимптота $y=0$ также смещается на 4 единицы вверх и становится прямой $y=4$.
- Область значений изменяется на $E(y) = (4, +\infty)$.
Построение: Схематично строим график $y = e^x$, проходящий через точку $(0, 1)$ и приближающийся к оси Ox слева. Затем сдвигаем весь график, включая асимптоту, на 4 единицы вверх.
Ответ: График функции $y = e^x + 4$ получается из графика $y = e^x$ сдвигом на 4 единицы вверх. Горизонтальная асимптота — $y=4$.
б) $y = e^{-x} + 1$
График этой функции получается из графика $y = e^x$ в два шага: отражение и сдвиг.
1. Первое преобразование (отражение): Сначала построим график функции $y = e^{-x}$. Это преобразование вида $y=f(-x)$, которое соответствует симметричному отражению графика $y = e^x$ относительно оси Oy. Полученный график будет убывающей функцией, по-прежнему проходящей через точку $(0, 1)$ и имеющей горизонтальную асимптоту $y=0$ (при $x \to +\infty$).
2. Второе преобразование (сдвиг): Теперь к функции $y = e^{-x}$ прибавляется 1. Это сдвиг графика $y = e^{-x}$ на 1 единицу вверх вдоль оси Oy.
3. Свойства полученного графика:
- Контрольная точка $(0, 1)$ с графика $y = e^{-x}$ перемещается в точку $(0, 1+1) = (0, 2)$.
- Горизонтальная асимптота $y=0$ смещается на 1 единицу вверх и становится прямой $y=1$.
- Область значений функции: $E(y) = (1, +\infty)$.
Построение: Строим график $y=e^x$. Отражаем его относительно оси Oy, чтобы получить $y=e^{-x}$. Затем сдвигаем полученный график на 1 единицу вверх.
Ответ: График функции $y = e^{-x} + 1$ получается из графика $y = e^x$ путем отражения относительно оси Oy и последующего сдвига на 1 единицу вверх. Горизонтальная асимптота — $y=1$.
в) $y = e^x - 3$
График этой функции можно получить из графика функции $y = e^x$ путем сдвига вниз.
1. Базовый график: $y = e^x$.
2. Преобразование: Функция имеет вид $y = f(x) + c$, где $f(x) = e^x$ и $c=-3$. Это соответствует параллельному переносу графика $y = e^x$ на 3 единицы вниз вдоль оси Oy.
3. Свойства полученного графика:
- Контрольная точка $(0, 1)$ смещается в точку $(0, 1-3) = (0, -2)$.
- Горизонтальная асимптота $y=0$ смещается на 3 единицы вниз и становится прямой $y=-3$.
- Область значений: $E(y) = (-3, +\infty)$.
- График пересекает ось Ox. Найдем точку пересечения: $e^x - 3 = 0 \implies e^x = 3 \implies x = \ln 3$. Точка пересечения с осью Ox: $(\ln 3, 0)$.
Построение: Схематично строим график $y = e^x$. Затем сдвигаем его на 3 единицы вниз. Проводим новую горизонтальную асимптоту $y=-3$.
Ответ: График функции $y = e^x - 3$ получается из графика $y = e^x$ сдвигом на 3 единицы вниз. Горизонтальная асимптота — $y=-3$.
г) $y = e^{x-2} - 3$
График этой функции получается из графика $y = e^x$ в два шага: горизонтальный и вертикальный сдвиги.
1. Первое преобразование (горизонтальный сдвиг): Сначала построим график функции $y = e^{x-2}$. Это преобразование вида $y=f(x-d)$, где $d=2$. Оно соответствует сдвигу графика $y = e^x$ на 2 единицы вправо вдоль оси Ox.
- Точка $(0, 1)$ сместится в точку $(0+2, 1) = (2, 1)$.
- Асимптота $y=0$ не изменится.
2. Второе преобразование (вертикальный сдвиг): Теперь из функции $y = e^{x-2}$ вычитается 3. Это сдвиг графика $y = e^{x-2}$ на 3 единицы вниз вдоль оси Oy.
3. Свойства полученного графика:
- Контрольная точка $(2, 1)$ с графика $y = e^{x-2}$ перемещается в точку $(2, 1-3) = (2, -2)$.
- Горизонтальная асимптота $y=0$ смещается на 3 единицы вниз и становится прямой $y=-3$.
- Область значений: $E(y) = (-3, +\infty)$.
Построение: Строим график $y=e^x$. Сдвигаем его на 2 единицы вправо, чтобы получить $y = e^{x-2}$. Затем сдвигаем полученный график на 3 единицы вниз.
Ответ: График функции $y = e^{x-2} - 3$ получается из графика $y = e^x$ сдвигом на 2 единицы вправо и на 3 единицы вниз. Горизонтальная асимптота — $y=-3$.
№14 (с. 187)
Условие. №14 (с. 187)
скриншот условия

14. Какая существует связь между дифференцируемостью и непрерывностью функции в точке?
Решение 6. №14 (с. 187)
Связь между дифференцируемостью и непрерывностью функции в точке является фундаментальным положением математического анализа. Она описывается следующей теоремой: дифференцируемость является более сильным свойством, чем непрерывность.
Теорема: Из дифференцируемости следует непрерывность
Если функция $f(x)$ дифференцируема в точке $x_0$, то она непрерывна в этой точке.
Доказательство:
Пусть функция $f(x)$ дифференцируема в точке $x_0$. По определению, это означает, что существует конечный предел, равный производной функции в этой точке:
$f'(x_0) = \lim_{\Delta x \to 0} \frac{f(x_0 + \Delta x) - f(x_0)}{\Delta x}$
Для доказательства непрерывности функции $f(x)$ в точке $x_0$, нам необходимо показать, что предел функции в этой точке равен ее значению в этой точке, то есть $\lim_{x \to x_0} f(x) = f(x_0)$. Это условие эквивалентно следующему:
$\lim_{\Delta x \to 0} (f(x_0 + \Delta x) - f(x_0)) = 0$
Рассмотрим приращение функции $\Delta f = f(x_0 + \Delta x) - f(x_0)$. Для $\Delta x \neq 0$ мы можем записать тождество:
$f(x_0 + \Delta x) - f(x_0) = \frac{f(x_0 + \Delta x) - f(x_0)}{\Delta x} \cdot \Delta x$
Теперь найдем предел этого выражения при $\Delta x \to 0$, используя теорему о пределе произведения:
$\lim_{\Delta x \to 0} (f(x_0 + \Delta x) - f(x_0)) = \lim_{\Delta x \to 0} \left( \frac{f(x_0 + \Delta x) - f(x_0)}{\Delta x} \cdot \Delta x \right)$
$= \left( \lim_{\Delta x \to 0} \frac{f(x_0 + \Delta x) - f(x_0)}{\Delta x} \right) \cdot \left( \lim_{\Delta x \to 0} \Delta x \right)$
Поскольку функция дифференцируема, первый предел равен $f'(x_0)$. Второй предел очевидно равен 0. Таким образом, получаем:
$= f'(x_0) \cdot 0 = 0$
Мы доказали, что предел приращения функции равен нулю, а значит, функция $f(x)$ непрерывна в точке $x_0$.
Обратное утверждение: Из непрерывности не следует дифференцируемость
Обратное утверждение неверно. Функция может быть непрерывной в точке, но не иметь в ней производной. Это означает, что непрерывность является необходимым, но не достаточным условием для дифференцируемости.
Контрпример:
Рассмотрим функцию $f(x) = |x|$ в точке $x_0 = 0$.
Проверка на непрерывность.
Значение функции в точке: $f(0) = |0| = 0$.
Предел функции в точке: $\lim_{x \to 0} |x| = 0$.
Так как $\lim_{x \to 0} f(x) = f(0)$, функция непрерывна в точке $x=0$.Проверка на дифференцируемость.
Найдем производную по определению: $f'(0) = \lim_{\Delta x \to 0} \frac{f(0 + \Delta x) - f(0)}{\Delta x} = \lim_{\Delta x \to 0} \frac{|0 + \Delta x| - |0|}{\Delta x} = \lim_{\Delta x \to 0} \frac{|\Delta x|}{\Delta x}$.
Чтобы этот предел существовал, должны существовать и быть равными односторонние пределы.
Предел справа (когда $\Delta x > 0$): $\lim_{\Delta x \to 0^+} \frac{|\Delta x|}{\Delta x} = \lim_{\Delta x \to 0^+} \frac{\Delta x}{\Delta x} = 1$.
Предел слева (когда $\Delta x < 0$): $\lim_{\Delta x \to 0^-} \frac{|\Delta x|}{\Delta x} = \lim_{\Delta x \to 0^-} \frac{-\Delta x}{\Delta x} = -1$.
Поскольку односторонние пределы не равны ($1 \neq -1$), предел не существует. Следовательно, функция $f(x) = |x|$ не дифференцируема в точке $x=0$.
Геометрически это означает, что график функции $y=|x|$ в точке $(0,0)$ имеет излом, и в этой точке невозможно однозначно провести касательную.
Ответ: Связь между дифференцируемостью и непрерывностью функции в точке односторонняя. Если функция дифференцируема в точке, то она обязательно и непрерывна в этой точке. Однако обратное неверно: непрерывная в точке функция не обязательно является в ней дифференцируемой. Таким образом, дифференцируемость — это более сильное требование, чем непрерывность.
№15 (с. 187)
Условие. №15 (с. 187)
скриншот условия

15. Приведите пример графически заданной функции, которая дифференцируема во всех точках числовой прямой за исключением:
а) одной точки;
б) двух точек;
в) трёх точек.
Решение 6. №15 (с. 187)
а) В качестве примера функции, которая дифференцируема во всех точках числовой прямой за исключением одной, можно рассмотреть функцию модуля (абсолютной величины): $y = |x|$. Эта функция определена и непрерывна на всей числовой прямой. Графически она представляет собой два луча, выходящих из начала координат. Для $x \ge 0$ это луч $y=x$, а для $x < 0$ — луч $y=-x$. В точке $(0,0)$ эти лучи образуют "излом" (угол), что является графическим признаком отсутствия производной. Формально, производная в точке $x=0$ не существует, так как левосторонняя производная в этой точке равна $-1$, а правосторонняя производная равна $1$. Поскольку односторонние производные не совпадают, функция не дифференцируема в точке $x=0$. Во всех остальных точках функция дифференцируема.
Ответ: Функция $y = |x|$, которая не дифференцируема в одной точке $x=0$.
б) В качестве примера функции, недифференцируемой ровно в двух точках, можно взять сумму двух модулей, например, $y = |x+1| + |x-1|$. Эта функция непрерывна на всей числовой прямой. Ее график состоит из трех линейных участков, которые образуют "изломы" в точках, где подмодульные выражения равны нулю, то есть при $x=-1$ и $x=1$.
• При $x < -1$ график представляет собой луч $y = -2x$.
• При $-1 \le x \le 1$ график является горизонтальным отрезком $y=2$.
• При $x > 1$ график представляет собой луч $y = 2x$.В точке $x=-1$ левая производная равна $-2$ (наклон луча $y=-2x$), а правая производная равна $0$ (наклон отрезка $y=2$). В точке $x=1$ левая производная равна $0$, а правая — $2$. Так как в обеих точках односторонние производные различны, функция не является дифференцируемой в точках $x=-1$ и $x=1$.
Ответ: Функция $y = |x+1| + |x-1|$, которая не дифференцируема в двух точках $x=-1$ и $x=1$.
в) По аналогии с предыдущими пунктами, для получения функции, недифференцируемой в трех точках, можно рассмотреть сумму трех модулей, например: $y = |x+2| + |x| + |x-2|$. Эта функция непрерывна на всей числовой прямой. График этой функции имеет "изломы" в точках $x=-2$, $x=0$ и $x=2$. В каждой из этих точек происходит смена выражения для функции, и, как следствие, меняется наклон касательной (производная).
Проанализируем производные в точках "излома":
- В точке $x=-2$ левая производная равна $-3$, а правая — $-1$.
- В точке $x=0$ левая производная равна $-1$, а правая — $1$.
- В точке $x=2$ левая производная равна $1$, а правая — $3$.
Поскольку в каждой из этих трех точек односторонние производные не совпадают, функция в них не дифференцируема. Во всех остальных точках числовой прямой функция дифференцируема.
Ответ: Функция $y = |x+2| + |x| + |x-2|$, которая не дифференцируема в трех точках $x=-2, x=0$ и $x=2$.
Помогло решение? Оставьте отзыв в комментариях ниже.