Страница 184, часть 2 - гдз по алгебре 10-11 класс задачник часть 1, 2 Мордкович, Семенов


Авторы: Мордкович А. Г., Семенов П. В., Денищева Л. О., Корешкова Т. А., Мишустина Т. Н., Тульчинская Е. Е.
Тип: Задачник
Издательство: Мнемозина
Год издания: 2019 - 2025
Уровень обучения: базовый
Часть: 2
Цвет обложки:
ISBN: 978-5-346-04509-0 (общ.), 978-5-346-04510-6 (ч. 1), 978-5-346-04511-3 (ч. 2)
Рекомендовано Министерством образования и науки Российской Федерации
Математика: алгебра и начала математического анализа, геометрия
Популярные ГДЗ в 10 классе
ч. 2. Cтраница 184

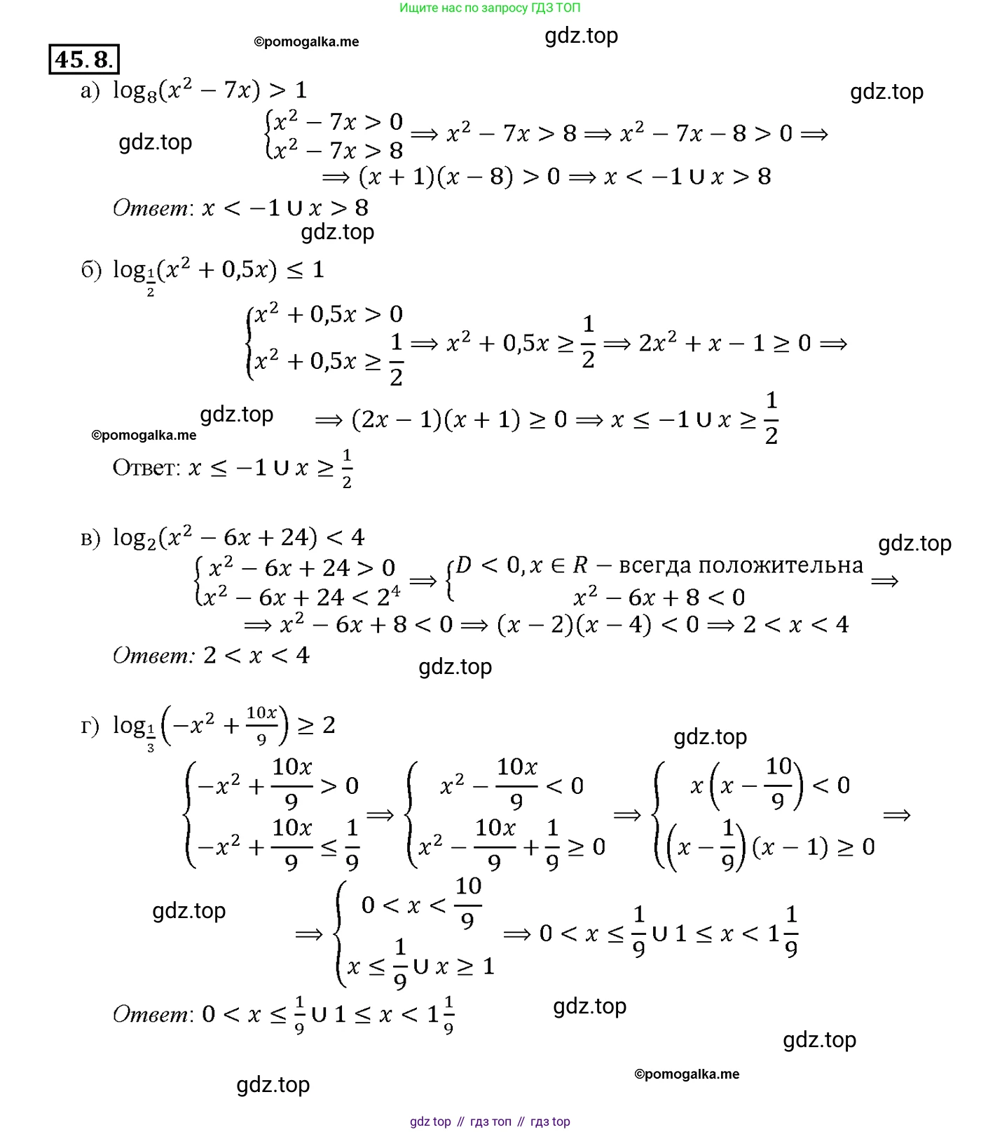
№45.8 (с. 184)
Условие. №45.8 (с. 184)
скриншот условия

45.8 a) $log_8(x^2 - 7x) > 1$;
б) $log_{\frac{1}{2}}(x^2 + 0,5x) \leq 1$;
В) $log_2(x^2 - 6x + 24) < 4$;
Г) $log_{\frac{1}{3}}(-x^2 + \frac{10x}{9}) \geq 2$.
Решение 1. №45.8 (с. 184)

Решение 2. №45.8 (с. 184)


Решение 5. №45.8 (с. 184)



Решение 6. №45.8 (с. 184)
а) Решим неравенство $ \log_{8}(x^2 - 7x) > 1 $.
Данное логарифмическое неравенство равносильно системе неравенств.
1. Найдем область допустимых значений (ОДЗ). Аргумент логарифма должен быть строго положительным:
$ x^2 - 7x > 0 $
$ x(x - 7) > 0 $
Методом интервалов находим, что это неравенство выполняется при $ x \in (-\infty, 0) \cup (7, \infty) $.
2. Решим само неравенство. Представим 1 как логарифм по основанию 8: $ 1 = \log_{8}(8) $.
$ \log_{8}(x^2 - 7x) > \log_{8}(8) $
Так как основание логарифма $ 8 > 1 $, функция является возрастающей, поэтому при переходе к подлогарифмическим выражениям знак неравенства сохраняется:
$ x^2 - 7x > 8 $
$ x^2 - 7x - 8 > 0 $
Найдем корни квадратного трехчлена $ x^2 - 7x - 8 = 0 $ через дискриминант:
$ D = (-7)^2 - 4 \cdot 1 \cdot (-8) = 49 + 32 = 81 = 9^2 $
$ x_1 = \frac{7 - 9}{2} = -1 $
$ x_2 = \frac{7 + 9}{2} = 8 $
Парабола $ y = x^2 - 7x - 8 $ имеет ветви вверх, поэтому неравенство $ > 0 $ выполняется вне корней: $ x \in (-\infty, -1) \cup (8, \infty) $.
3. Найдем пересечение решения с ОДЗ.
Решение: $ x \in (-\infty, -1) \cup (8, \infty) $.
ОДЗ: $ x \in (-\infty, 0) \cup (7, \infty) $.
Пересекая эти два множества, получаем: $ x \in (-\infty, -1) \cup (8, \infty) $.
Ответ: $ x \in (-\infty, -1) \cup (8, \infty) $.
б) Решим неравенство $ \log_{\frac{1}{2}}(x^2 + 0,5x) \le 1 $.
1. Найдем ОДЗ:
$ x^2 + 0,5x > 0 $
$ x(x + 0,5) > 0 $
Методом интервалов получаем: $ x \in (-\infty, -0,5) \cup (0, \infty) $.
2. Решим неравенство. Представим 1 как логарифм по основанию 1/2: $ 1 = \log_{\frac{1}{2}}(\frac{1}{2}) $.
$ \log_{\frac{1}{2}}(x^2 + 0,5x) \le \log_{\frac{1}{2}}(\frac{1}{2}) $
Так как основание логарифма $ 0 < \frac{1}{2} < 1 $, функция является убывающей, поэтому при переходе к аргументам знак неравенства меняется на противоположный:
$ x^2 + 0,5x \ge \frac{1}{2} $
$ x^2 + 0,5x - 0,5 \ge 0 $
Умножим на 2, чтобы избавиться от дробей:
$ 2x^2 + x - 1 \ge 0 $
Найдем корни уравнения $ 2x^2 + x - 1 = 0 $:
$ D = 1^2 - 4 \cdot 2 \cdot (-1) = 1 + 8 = 9 = 3^2 $
$ x_1 = \frac{-1 - 3}{4} = -1 $
$ x_2 = \frac{-1 + 3}{4} = \frac{2}{4} = 0,5 $
Парабола $ y = 2x^2 + x - 1 $ имеет ветви вверх, поэтому неравенство $ \ge 0 $ выполняется при $ x \in (-\infty, -1] \cup [0,5, \infty) $.
3. Найдем пересечение решения с ОДЗ.
Решение: $ x \in (-\infty, -1] \cup [0,5, \infty) $.
ОДЗ: $ x \in (-\infty, -0,5) \cup (0, \infty) $.
Пересечением является $ x \in (-\infty, -1] \cup [0,5, \infty) $.
Ответ: $ x \in (-\infty, -1] \cup [0,5, \infty) $.
в) Решим неравенство $ \log_{2}(x^2 - 6x + 24) < 4 $.
1. Найдем ОДЗ:
$ x^2 - 6x + 24 > 0 $
Найдем дискриминант квадратного трехчлена: $ D = (-6)^2 - 4 \cdot 1 \cdot 24 = 36 - 96 = -60 $.
Так как $ D < 0 $ и старший коэффициент (при $x^2$) положителен, то выражение $ x^2 - 6x + 24 $ положительно при любых $x$.
Следовательно, ОДЗ: $ x \in (-\infty, \infty) $.
2. Решим неравенство. Представим 4 как логарифм по основанию 2: $ 4 = \log_{2}(2^4) = \log_{2}(16) $.
$ \log_{2}(x^2 - 6x + 24) < \log_{2}(16) $
Так как основание $ 2 > 1 $, знак неравенства сохраняется:
$ x^2 - 6x + 24 < 16 $
$ x^2 - 6x + 8 < 0 $
Найдем корни уравнения $ x^2 - 6x + 8 = 0 $. По теореме Виета, корни $ x_1 = 2 $ и $ x_2 = 4 $.
Парабола $ y = x^2 - 6x + 8 $ имеет ветви вверх, поэтому неравенство $ < 0 $ выполняется между корнями: $ x \in (2, 4) $.
3. Так как ОДЗ — все действительные числа, решение совпадает с решением последнего неравенства.
Ответ: $ x \in (2, 4) $.
г) Решим неравенство $ \log_{\frac{1}{3}}(-x^2 + \frac{10x}{9}) \ge 2 $.
1. Найдем ОДЗ:
$ -x^2 + \frac{10x}{9} > 0 $
Умножим на -9, изменив знак неравенства:
$ 9x^2 - 10x < 0 $
$ x(9x - 10) < 0 $
Корни: $ x_1 = 0 $ и $ x_2 = \frac{10}{9} $. Парабола с ветвями вверх, поэтому неравенство $ < 0 $ выполняется между корнями: $ x \in (0, \frac{10}{9}) $.
2. Решим неравенство. Представим 2 как логарифм по основанию 1/3: $ 2 = \log_{\frac{1}{3}}((\frac{1}{3})^2) = \log_{\frac{1}{3}}(\frac{1}{9}) $.
$ \log_{\frac{1}{3}}(-x^2 + \frac{10x}{9}) \ge \log_{\frac{1}{3}}(\frac{1}{9}) $
Так как основание $ 0 < \frac{1}{3} < 1 $, знак неравенства меняется на противоположный:
$ -x^2 + \frac{10x}{9} \le \frac{1}{9} $
Умножим на 9:
$ -9x^2 + 10x \le 1 $
$ 0 \le 9x^2 - 10x + 1 $
$ 9x^2 - 10x + 1 \ge 0 $
Найдем корни уравнения $ 9x^2 - 10x + 1 = 0 $:
$ D = (-10)^2 - 4 \cdot 9 \cdot 1 = 100 - 36 = 64 = 8^2 $
$ x_1 = \frac{10 - 8}{18} = \frac{2}{18} = \frac{1}{9} $
$ x_2 = \frac{10 + 8}{18} = \frac{18}{18} = 1 $
Парабола с ветвями вверх, поэтому неравенство $ \ge 0 $ выполняется при $ x \in (-\infty, \frac{1}{9}] \cup [1, \infty) $.
3. Найдем пересечение решения с ОДЗ.
Решение: $ x \in (-\infty, \frac{1}{9}] \cup [1, \infty) $.
ОДЗ: $ x \in (0, \frac{10}{9}) $.
Пересекая эти два множества, получаем: $ x \in (0, \frac{1}{9}] \cup [1, \frac{10}{9}) $.
Ответ: $ x \in (0, \frac{1}{9}] \cup [1, \frac{10}{9}) $.
№45.11 (с. 184)
Условие. №45.11 (с. 184)
скриншот условия

45.11 a) $\log_{\frac{1}{3}} x + \log_{\frac{1}{3}} (4 - x) > -1;$
б) $\log_2 (7 - x) + \log_2 x \ge 1 + \log_2 3;$
в) $\lg(7 - x) + \lg x > 1;$
г) $\log_{\frac{1}{2}} x + \log_{\frac{1}{2}} (10 - x) \ge -1 + \log_{\frac{1}{2}} 4,5.$
Решение 1. №45.11 (с. 184)

Решение 2. №45.11 (с. 184)


Решение 5. №45.11 (с. 184)



Решение 6. №45.11 (с. 184)
а) $ \log_{\frac{1}{3}} x + \log_{\frac{1}{3}} (4 - x) > -1 $
1. Найдем область допустимых значений (ОДЗ). Аргументы логарифмов должны быть строго положительными:
$ \begin{cases} x > 0 \\ 4 - x > 0 \end{cases} $
$ \begin{cases} x > 0 \\ x < 4 \end{cases} $
ОДЗ: $ x \in (0; 4) $.
2. Преобразуем неравенство, используя свойство суммы логарифмов $ \log_a b + \log_a c = \log_a (bc) $:
$ \log_{\frac{1}{3}} (x(4 - x)) > -1 $
3. Представим правую часть неравенства в виде логарифма с тем же основанием:
$ -1 = \log_{\frac{1}{3}} ((\frac{1}{3})^{-1}) = \log_{\frac{1}{3}} 3 $
Получаем неравенство:
$ \log_{\frac{1}{3}} (x(4 - x)) > \log_{\frac{1}{3}} 3 $
4. Так как основание логарифма $ \frac{1}{3} < 1 $, при переходе к неравенству для аргументов знак неравенства меняется на противоположный:
$ x(4 - x) < 3 $
$ 4x - x^2 < 3 $
$ x^2 - 4x + 3 > 0 $
5. Решим квадратное неравенство. Найдем корни уравнения $ x^2 - 4x + 3 = 0 $. По теореме Виета, корни $ x_1 = 1, x_2 = 3 $.
Парабола $ y = x^2 - 4x + 3 $ ветвями вверх, значит, неравенство выполняется при $ x < 1 $ или $ x > 3 $.
Решение: $ x \in (-\infty; 1) \cup (3; \infty) $.
6. Найдем пересечение полученного решения с ОДЗ:
$ ((-\infty; 1) \cup (3; \infty)) \cap (0; 4) = (0; 1) \cup (3; 4) $
Ответ: $ x \in (0; 1) \cup (3; 4) $
б) $ \log_2 (7 - x) + \log_2 x \ge 1 + \log_2 3 $
1. Найдем ОДЗ:
$ \begin{cases} 7 - x > 0 \\ x > 0 \end{cases} $
$ \begin{cases} x < 7 \\ x > 0 \end{cases} $
ОДЗ: $ x \in (0; 7) $.
2. Преобразуем неравенство. Перенесем $ \log_2 3 $ в левую часть и представим 1 как логарифм:
$ \log_2 (x(7 - x)) \ge \log_2 2 + \log_2 3 $
$ \log_2 (7x - x^2) \ge \log_2 (2 \cdot 3) $
$ \log_2 (7x - x^2) \ge \log_2 6 $
3. Так как основание логарифма $ 2 > 1 $, при переходе к неравенству для аргументов знак неравенства сохраняется:
$ 7x - x^2 \ge 6 $
$ -x^2 + 7x - 6 \ge 0 $
$ x^2 - 7x + 6 \le 0 $
4. Решим квадратное неравенство. Найдем корни уравнения $ x^2 - 7x + 6 = 0 $. По теореме Виета, корни $ x_1 = 1, x_2 = 6 $.
Парабола $ y = x^2 - 7x + 6 $ ветвями вверх, значит, неравенство выполняется между корнями (включая их).
Решение: $ x \in [1; 6] $.
5. Найдем пересечение полученного решения с ОДЗ:
$ [1; 6] \cap (0; 7) = [1; 6] $
Ответ: $ x \in [1; 6] $
в) $ \lg(7 - x) + \lg x > 1 $
1. Найдем ОДЗ (десятичный логарифм $ \lg $ имеет основание 10):
$ \begin{cases} 7 - x > 0 \\ x > 0 \end{cases} $
$ \begin{cases} x < 7 \\ x > 0 \end{cases} $
ОДЗ: $ x \in (0; 7) $.
2. Преобразуем неравенство:
$ \lg (x(7 - x)) > 1 $
$ \lg (7x - x^2) > \lg 10 $
3. Так как основание логарифма $ 10 > 1 $, знак неравенства сохраняется:
$ 7x - x^2 > 10 $
$ -x^2 + 7x - 10 > 0 $
$ x^2 - 7x + 10 < 0 $
4. Решим квадратное неравенство. Найдем корни уравнения $ x^2 - 7x + 10 = 0 $. По теореме Виета, корни $ x_1 = 2, x_2 = 5 $.
Парабола $ y = x^2 - 7x + 10 $ ветвями вверх, значит, неравенство выполняется между корнями.
Решение: $ x \in (2; 5) $.
5. Пересечение решения с ОДЗ: $ (2; 5) \cap (0; 7) = (2; 5) $.
Ответ: $ x \in (2; 5) $
г) $ \log_{\frac{1}{2}} x + \log_{\frac{1}{2}} (10 - x) \ge -1 + \log_{\frac{1}{2}} 4,5 $
1. Найдем ОДЗ:
$ \begin{cases} x > 0 \\ 10 - x > 0 \end{cases} $
$ \begin{cases} x > 0 \\ x < 10 \end{cases} $
ОДЗ: $ x \in (0; 10) $.
2. Преобразуем неравенство. Представим -1 как логарифм и объединим логарифмы в правой части:
$ \log_{\frac{1}{2}} (x(10 - x)) \ge \log_{\frac{1}{2}} ((\frac{1}{2})^{-1}) + \log_{\frac{1}{2}} 4,5 $
$ \log_{\frac{1}{2}} (10x - x^2) \ge \log_{\frac{1}{2}} 2 + \log_{\frac{1}{2}} 4,5 $
$ \log_{\frac{1}{2}} (10x - x^2) \ge \log_{\frac{1}{2}} (2 \cdot 4,5) $
$ \log_{\frac{1}{2}} (10x - x^2) \ge \log_{\frac{1}{2}} 9 $
3. Так как основание логарифма $ \frac{1}{2} < 1 $, знак неравенства меняется на противоположный:
$ 10x - x^2 \le 9 $
$ -x^2 + 10x - 9 \le 0 $
$ x^2 - 10x + 9 \ge 0 $
4. Решим квадратное неравенство. Найдем корни уравнения $ x^2 - 10x + 9 = 0 $. По теореме Виета, корни $ x_1 = 1, x_2 = 9 $.
Парабола $ y = x^2 - 10x + 9 $ ветвями вверх, значит, неравенство выполняется при $ x \le 1 $ или $ x \ge 9 $.
Решение: $ x \in (-\infty; 1] \cup [9; \infty) $.
5. Найдем пересечение полученного решения с ОДЗ:
$ ((-\infty; 1] \cup [9; \infty)) \cap (0; 10) = (0; 1] \cup [9; 10) $
Ответ: $ x \in (0; 1] \cup [9; 10) $
№45.6 (с. 184)
Условие. №45.6 (с. 184)
скриншот условия

45.6 a) $\log_3(x^2 + 6) < \log_3 5x;$
б) $\log_{0,6}(6x - x^2) > \log_{0,6}(-8 - x);$
в) $\lg(x^2 - 8) \leq \lg(2 - 9x);$
г) $\log_{\sqrt{2}}(x^2 + 10x) \geq \log_{\sqrt{2}}(x - 14).$
Решение 1. №45.6 (с. 184)

Решение 2. №45.6 (с. 184)


Решение 5. №45.6 (с. 184)



Решение 6. №45.6 (с. 184)
а) $log_3(x^2 + 6) < log_3 5x$
Поскольку основание логарифма $3 > 1$, функция является возрастающей. Неравенство равносильно системе:
$ \begin{cases} x^2 + 6 > 0 \\ 5x > 0 \\ x^2 + 6 < 5x \end{cases} $
Рассмотрим каждое неравенство системы:
1. $x^2 + 6 > 0$. Это неравенство верно для любых действительных $x$, так как $x^2 \ge 0$, а значит $x^2 + 6 \ge 6$.
2. $5x > 0$, откуда следует $x > 0$.
3. $x^2 + 6 < 5x$. Перенесем все члены в левую часть: $x^2 - 5x + 6 < 0$.
Найдем корни квадратного трехчлена $x^2 - 5x + 6 = 0$. По теореме Виета, корни $x_1 = 2$ и $x_2 = 3$.
Графиком функции $y = x^2 - 5x + 6$ является парабола с ветвями вверх. Неравенство $y < 0$ выполняется на интервале между корнями, то есть $x \in (2; 3)$.
Найдем пересечение решений системы: $x > 0$ и $x \in (2; 3)$. Общим решением является интервал $(2; 3)$.
Ответ: $(2; 3)$
б) $log_{0,6}(6x - x^2) > log_{0,6}(-8 - x)$
Поскольку основание логарифма $0,6 < 1$, функция является убывающей. При переходе к неравенству для подлогарифмических выражений знак неравенства меняется на противоположный. Неравенство равносильно системе:
$ \begin{cases} 6x - x^2 > 0 \\ -8 - x > 0 \\ 6x - x^2 < -8 - x \end{cases} $
В первую очередь найдем область допустимых значений (ОДЗ), решив первые два неравенства:
1. $6x - x^2 > 0 \implies x(6 - x) > 0$. Корни $x=0$ и $x=6$. Ветви параболы направлены вниз, поэтому решение: $x \in (0; 6)$.
2. $-8 - x > 0 \implies -x > 8 \implies x < -8$. Решение: $x \in (-\infty; -8)$.
Область допустимых значений является пересечением этих двух множеств: $(0; 6) \cap (-\infty; -8)$.
Данные интервалы не пересекаются, следовательно, ОДЗ является пустым множеством. Это означает, что не существует таких значений $x$, при которых оба подлогарифмических выражения были бы положительны одновременно.
Ответ: Нет решений.
в) $lg(x^2 - 8) \le lg(2 - 9x)$
Здесь $lg$ - это десятичный логарифм, основание которого равно 10. Так как $10 > 1$, функция возрастающая, и знак неравенства сохраняется. Неравенство равносильно системе:
$ \begin{cases} x^2 - 8 > 0 \\ 2 - 9x > 0 \\ x^2 - 8 \le 2 - 9x \end{cases} $
1. $x^2 - 8 > 0 \implies x^2 > 8 \implies |x| > \sqrt{8} \implies |x| > 2\sqrt{2}$. Решение: $x \in (-\infty; -2\sqrt{2}) \cup (2\sqrt{2}; +\infty)$.
2. $2 - 9x > 0 \implies 2 > 9x \implies x < \frac{2}{9}$.
3. $x^2 - 8 \le 2 - 9x \implies x^2 + 9x - 10 \le 0$.
Найдем корни уравнения $x^2 + 9x - 10 = 0$. По теореме Виета, корни $x_1 = 1$ и $x_2 = -10$.
Парабола $y = x^2 + 9x - 10$ с ветвями вверх, поэтому неравенство $y \le 0$ выполняется на отрезке между корнями: $x \in [-10; 1]$.
Теперь найдем общее решение, то есть пересечение всех трех условий:
$x \in ((-\infty; -2\sqrt{2}) \cup (2\sqrt{2}; +\infty)) \cap (-\infty; \frac{2}{9}) \cap [-10; 1]$.
Пересечение первых двух условий ($x < \frac{2}{9}$ и $x \in (-\infty; -2\sqrt{2}) \cup (2\sqrt{2}; +\infty)$) дает $x \in (-\infty; -2\sqrt{2})$, так как $2\sqrt{2} \approx 2.82$ и $\frac{2}{9} \approx 0.22$.
Теперь найдем пересечение полученного результата $x \in (-\infty; -2\sqrt{2})$ с решением третьего неравенства $x \in [-10; 1]$.
Поскольку $-10 < -2\sqrt{2}$, и $-2\sqrt{2} < 1$, их пересечение: $x \in [-10; -2\sqrt{2})$.
Ответ: $[-10; -2\sqrt{2})$
г) $log_{\sqrt{2}}(x^2 + 10x) \ge log_{\sqrt{2}}(x - 14)$
Основание логарифма $\sqrt{2} \approx 1.414$, что больше 1. Следовательно, функция возрастающая, и знак неравенства сохраняется. Система равносильна:
$ \begin{cases} x^2 + 10x > 0 \\ x - 14 > 0 \\ x^2 + 10x \ge x - 14 \end{cases} $
1. $x^2 + 10x > 0 \implies x(x + 10) > 0$. Корни $x=0$ и $x=-10$. Парабола с ветвями вверх, решение: $x \in (-\infty; -10) \cup (0; +\infty)$.
2. $x - 14 > 0 \implies x > 14$.
3. $x^2 + 10x \ge x - 14 \implies x^2 + 9x + 14 \ge 0$.
Найдем корни уравнения $x^2 + 9x + 14 = 0$. По теореме Виета, корни $x_1 = -7$ и $x_2 = -2$.
Парабола $y = x^2 + 9x + 14$ с ветвями вверх, неравенство $y \ge 0$ выполняется вне отрезка между корнями: $x \in (-\infty; -7] \cup [-2; +\infty)$.
Найдем пересечение всех полученных решений.
Сначала найдем ОДЗ, пересекая первые два условия: $( (-\infty; -10) \cup (0; +\infty) ) \cap (14; +\infty)$.
Результат: $x \in (14; +\infty)$.
Теперь пересечем ОДЗ с решением третьего неравенства: $(14; +\infty) \cap ((-\infty; -7] \cup [-2; +\infty))$.
Интервал $(14; +\infty)$ полностью содержится в множестве $[-2; +\infty)$, поэтому их пересечение и будет искомым решением.
Ответ: $(14; +\infty)$
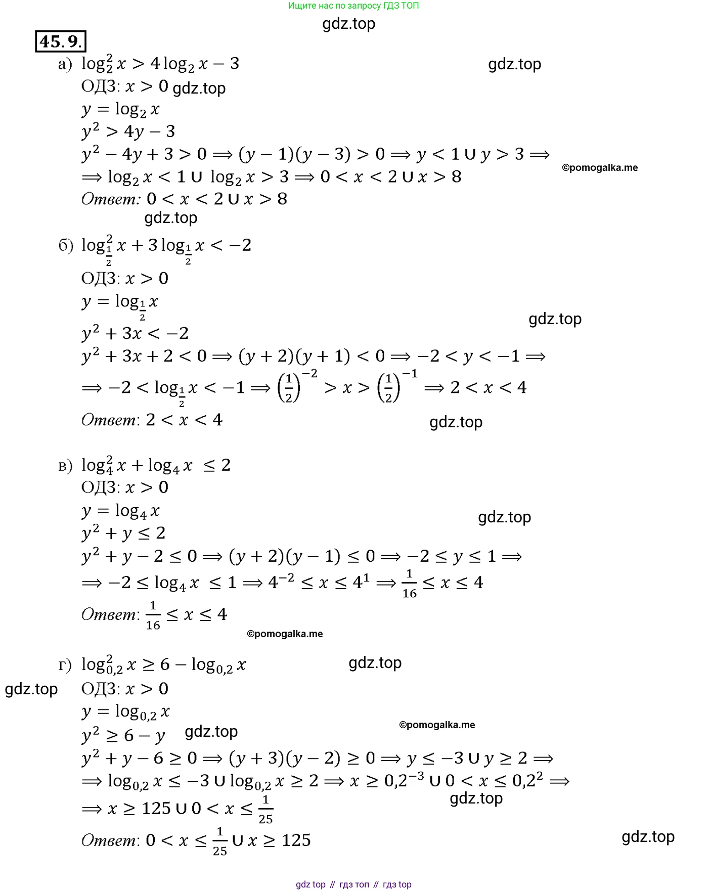
№45.9 (с. 184)
Условие. №45.9 (с. 184)
скриншот условия

45.9 a) $\log^2_2 x > 4 \log_2 x - 3;$
Б) $\log^2_{\frac{1}{2}} x + 3\log_{\frac{1}{2}} x < -2;$
В) $\log^2_4 x + \log_4 x \le 2;$
Г) $\log^2_{0.2} x \ge 6 - \log_{0.2} x.$
Решение 1. №45.9 (с. 184)

Решение 2. №45.9 (с. 184)



Решение 5. №45.9 (с. 184)



Решение 6. №45.9 (с. 184)
а) $ \log_2^2 x > 4 \log_2 x - 3 $
1. Перенесем все члены в левую часть неравенства:
$ \log_2^2 x - 4 \log_2 x + 3 > 0 $
2. Область допустимых значений (ОДЗ) логарифма: $ x > 0 $.
3. Сделаем замену переменной. Пусть $ t = \log_2 x $. Неравенство примет вид:
$ t^2 - 4t + 3 > 0 $
4. Решим квадратное неравенство относительно $t$. Найдем корни уравнения $ t^2 - 4t + 3 = 0 $.
По теореме Виета, $ t_1 = 1 $, $ t_2 = 3 $.
Парабола $ y = t^2 - 4t + 3 $ ветвями вверх, поэтому неравенство выполняется при $ t < 1 $ или $ t > 3 $.
5. Выполним обратную замену:
$ \log_2 x < 1 $ или $ \log_2 x > 3 $.
6. Решим полученные логарифмические неравенства:
Так как основание логарифма $2 > 1$, знак неравенства сохраняется.
Из $ \log_2 x < 1 $ следует $ x < 2^1 $, то есть $ x < 2 $.
Из $ \log_2 x > 3 $ следует $ x > 2^3 $, то есть $ x > 8 $.
7. Учитывая ОДЗ ($ x > 0 $), получаем окончательное решение:
$ 0 < x < 2 $ или $ x > 8 $.
Ответ: $ x \in (0; 2) \cup (8; +\infty) $
б) $ \log_{\frac{1}{2}}^2 x + 3 \log_{\frac{1}{2}} x < -2 $
1. Перенесем все члены в левую часть неравенства:
$ \log_{\frac{1}{2}}^2 x + 3 \log_{\frac{1}{2}} x + 2 < 0 $
2. ОДЗ: $ x > 0 $.
3. Сделаем замену. Пусть $ t = \log_{\frac{1}{2}} x $. Неравенство примет вид:
$ t^2 + 3t + 2 < 0 $
4. Решим квадратное неравенство. Найдем корни уравнения $ t^2 + 3t + 2 = 0 $.
По теореме Виета, $ t_1 = -2 $, $ t_2 = -1 $.
Парабола $ y = t^2 + 3t + 2 $ ветвями вверх, поэтому неравенство выполняется между корнями: $ -2 < t < -1 $.
5. Выполним обратную замену:
$ -2 < \log_{\frac{1}{2}} x < -1 $
6. Решим двойное логарифмическое неравенство. Так как основание логарифма $ \frac{1}{2} < 1 $, знаки неравенства меняются на противоположные:
$ \left(\frac{1}{2}\right)^{-1} < x < \left(\frac{1}{2}\right)^{-2} $
$ 2 < x < 4 $
7. Решение $ 2 < x < 4 $ удовлетворяет ОДЗ ($ x > 0 $).
Ответ: $ x \in (2; 4) $
в) $ \log_4^2 x + \log_4 x \le 2 $
1. Перенесем все члены в левую часть:
$ \log_4^2 x + \log_4 x - 2 \le 0 $
2. ОДЗ: $ x > 0 $.
3. Сделаем замену. Пусть $ t = \log_4 x $. Получим неравенство:
$ t^2 + t - 2 \le 0 $
4. Решим квадратное неравенство. Корни уравнения $ t^2 + t - 2 = 0 $ равны $ t_1 = -2 $, $ t_2 = 1 $.
Парабола $ y = t^2 + t - 2 $ ветвями вверх, поэтому неравенство выполняется между корнями (включая их): $ -2 \le t \le 1 $.
5. Выполним обратную замену:
$ -2 \le \log_4 x \le 1 $
6. Решим двойное неравенство. Основание логарифма $4 > 1$, поэтому знаки неравенства сохраняются:
$ 4^{-2} \le x \le 4^1 $
$ \frac{1}{16} \le x \le 4 $
7. Решение $ \frac{1}{16} \le x \le 4 $ удовлетворяет ОДЗ ($ x > 0 $).
Ответ: $ x \in \left[\frac{1}{16}; 4\right] $
г) $ \log_{0,2}^2 x \ge 6 - \log_{0,2} x $
1. Перенесем все члены в левую часть:
$ \log_{0,2}^2 x + \log_{0,2} x - 6 \ge 0 $
2. ОДЗ: $ x > 0 $.
3. Сделаем замену. Пусть $ t = \log_{0,2} x $. Получим неравенство:
$ t^2 + t - 6 \ge 0 $
4. Решим квадратное неравенство. Корни уравнения $ t^2 + t - 6 = 0 $ равны $ t_1 = -3 $, $ t_2 = 2 $.
Парабола $ y = t^2 + t - 6 $ ветвями вверх, поэтому неравенство выполняется вне интервала между корнями: $ t \le -3 $ или $ t \ge 2 $.
5. Выполним обратную замену:
$ \log_{0,2} x \le -3 $ или $ \log_{0,2} x \ge 2 $.
6. Решим полученные неравенства. Основание логарифма $ 0,2 < 1 $, поэтому знаки неравенств меняются на противоположные.
Из $ \log_{0,2} x \le -3 $ следует $ x \ge (0,2)^{-3} = \left(\frac{1}{5}\right)^{-3} = 5^3 = 125 $.
Из $ \log_{0,2} x \ge 2 $ следует $ x \le (0,2)^2 = \left(\frac{1}{5}\right)^2 = \frac{1}{25} $.
7. Учитывая ОДЗ ($ x > 0 $), получаем:
$ x \ge 125 $ или $ 0 < x \le \frac{1}{25} $.
Ответ: $ x \in \left(0; \frac{1}{25}\right] \cup [125; +\infty) $
№45.12 (с. 184)
Условие. №45.12 (с. 184)
скриншот условия

45.12 a) $2 \log_{5}^{2} x + 5 \log_{5} x + 2 \ge 0;$
б) $2 \log_{0,3}^{2} x - 7 \log_{0,3} x - 4 \le 0;$
в) $3 \log_{4}^{2} x - 7 \log_{4} x + 2 < 0;$
г) $3 \log_{\frac{1}{3}}^{2} x + 5 \log_{\frac{1}{3}} x - 2 > 0.$
Решение 1. №45.12 (с. 184)

Решение 2. №45.12 (с. 184)



Решение 5. №45.12 (с. 184)



Решение 6. №45.12 (с. 184)
а) Решим неравенство $2\log_5^2 x + 5\log_5 x + 2 \ge 0$.
Область допустимых значений (ОДЗ) для логарифма: $x > 0$.
Сделаем замену переменной. Пусть $t = \log_5 x$. Неравенство примет вид:
$2t^2 + 5t + 2 \ge 0$.
Найдем корни соответствующего квадратного уравнения $2t^2 + 5t + 2 = 0$.
Дискриминант $D = 5^2 - 4 \cdot 2 \cdot 2 = 25 - 16 = 9$.
Корни $t_1 = \frac{-5 - \sqrt{9}}{2 \cdot 2} = \frac{-5 - 3}{4} = -2$ и $t_2 = \frac{-5 + \sqrt{9}}{2 \cdot 2} = \frac{-5 + 3}{4} = -\frac{1}{2}$.
Парабола $y=2t^2+5t+2$ имеет ветви, направленные вверх, поэтому неравенство $2t^2 + 5t + 2 \ge 0$ выполняется, когда $t \le -2$ или $t \ge -\frac{1}{2}$.
Выполним обратную замену:
$\log_5 x \le -2$ или $\log_5 x \ge -\frac{1}{2}$.
Так как основание логарифма $5 > 1$, функция $y = \log_5 x$ возрастающая, поэтому знаки неравенств сохраняются при переходе к аргументам:
$x \le 5^{-2}$ или $x \ge 5^{-1/2}$.
$x \le \frac{1}{25}$ или $x \ge \frac{1}{\sqrt{5}} = \frac{\sqrt{5}}{5}$.
Учитывая ОДЗ ($x > 0$), получаем окончательное решение: $0 < x \le \frac{1}{25}$ или $x \ge \frac{\sqrt{5}}{5}$.
Ответ: $x \in (0; \frac{1}{25}] \cup [\frac{\sqrt{5}}{5}; +\infty)$.
б) Решим неравенство $2\log_{0,3}^2 x - 7\log_{0,3} x - 4 \le 0$.
ОДЗ: $x > 0$.
Пусть $t = \log_{0,3} x$. Неравенство примет вид:
$2t^2 - 7t - 4 \le 0$.
Найдем корни уравнения $2t^2 - 7t - 4 = 0$.
Дискриминант $D = (-7)^2 - 4 \cdot 2 \cdot (-4) = 49 + 32 = 81$.
Корни $t_1 = \frac{7 - \sqrt{81}}{4} = \frac{7 - 9}{4} = -\frac{1}{2}$ и $t_2 = \frac{7 + \sqrt{81}}{4} = \frac{7 + 9}{4} = 4$.
Парабола $y=2t^2-7t-4$ имеет ветви, направленные вверх, поэтому неравенство $2t^2 - 7t - 4 \le 0$ выполняется, когда $-\frac{1}{2} \le t \le 4$.
Выполним обратную замену:
$-\frac{1}{2} \le \log_{0,3} x \le 4$.
Так как основание логарифма $0,3 < 1$, функция $y = \log_{0,3} x$ убывающая, поэтому знаки неравенств меняются на противоположные при переходе к аргументам:
$(0,3)^4 \le x \le (0,3)^{-1/2}$.
$(0,3)^4 = (\frac{3}{10})^4 = \frac{81}{10000} = 0,0081$.
$(0,3)^{-1/2} = (\frac{3}{10})^{-1/2} = (\frac{10}{3})^{1/2} = \sqrt{\frac{10}{3}} = \frac{\sqrt{30}}{3}$.
Таким образом, $0,0081 \le x \le \frac{\sqrt{30}}{3}$. Это решение удовлетворяет ОДЗ ($x>0$).
Ответ: $x \in [0,0081; \frac{\sqrt{30}}{3}]$.
в) Решим неравенство $3\log_4^2 x - 7\log_4 x + 2 < 0$.
ОДЗ: $x > 0$.
Пусть $t = \log_4 x$. Неравенство примет вид:
$3t^2 - 7t + 2 < 0$.
Найдем корни уравнения $3t^2 - 7t + 2 = 0$.
Дискриминант $D = (-7)^2 - 4 \cdot 3 \cdot 2 = 49 - 24 = 25$.
Корни $t_1 = \frac{7 - \sqrt{25}}{2 \cdot 3} = \frac{7 - 5}{6} = \frac{2}{6} = \frac{1}{3}$ и $t_2 = \frac{7 + \sqrt{25}}{2 \cdot 3} = \frac{7 + 5}{6} = \frac{12}{6} = 2$.
Парабола $y=3t^2-7t+2$ имеет ветви, направленные вверх, поэтому неравенство $3t^2 - 7t + 2 < 0$ выполняется, когда $\frac{1}{3} < t < 2$.
Выполним обратную замену:
$\frac{1}{3} < \log_4 x < 2$.
Так как основание логарифма $4 > 1$, функция $y = \log_4 x$ возрастающая, знаки неравенств сохраняются:
$4^{1/3} < x < 4^2$.
$\sqrt[3]{4} < x < 16$.
Это решение удовлетворяет ОДЗ ($x>0$).
Ответ: $x \in (\sqrt[3]{4}; 16)$.
г) Решим неравенство $3\log_{1/3}^2 x + 5\log_{1/3} x - 2 > 0$.
ОДЗ: $x > 0$.
Пусть $t = \log_{1/3} x$. Неравенство примет вид:
$3t^2 + 5t - 2 > 0$.
Найдем корни уравнения $3t^2 + 5t - 2 = 0$.
Дискриминант $D = 5^2 - 4 \cdot 3 \cdot (-2) = 25 + 24 = 49$.
Корни $t_1 = \frac{-5 - \sqrt{49}}{2 \cdot 3} = \frac{-5 - 7}{6} = -2$ и $t_2 = \frac{-5 + \sqrt{49}}{2 \cdot 3} = \frac{-5 + 7}{6} = \frac{2}{6} = \frac{1}{3}$.
Парабола $y=3t^2+5t-2$ имеет ветви, направленные вверх, поэтому неравенство $3t^2 + 5t - 2 > 0$ выполняется, когда $t < -2$ или $t > \frac{1}{3}$.
Выполним обратную замену:
$\log_{1/3} x < -2$ или $\log_{1/3} x > \frac{1}{3}$.
Так как основание логарифма $\frac{1}{3} < 1$, функция $y = \log_{1/3} x$ убывающая, поэтому знаки неравенств меняются на противоположные:
$x > (\frac{1}{3})^{-2}$ или $x < (\frac{1}{3})^{1/3}$.
$x > 3^2$ или $x < \frac{1}{\sqrt[3]{3}}$.
$x > 9$ или $x < \frac{1}{\sqrt[3]{3}}$.
Учитывая ОДЗ ($x > 0$), получаем окончательное решение: $x > 9$ или $0 < x < \frac{1}{\sqrt[3]{3}}$.
Ответ: $x \in (0; \frac{1}{\sqrt[3]{3}}) \cup (9; +\infty)$.
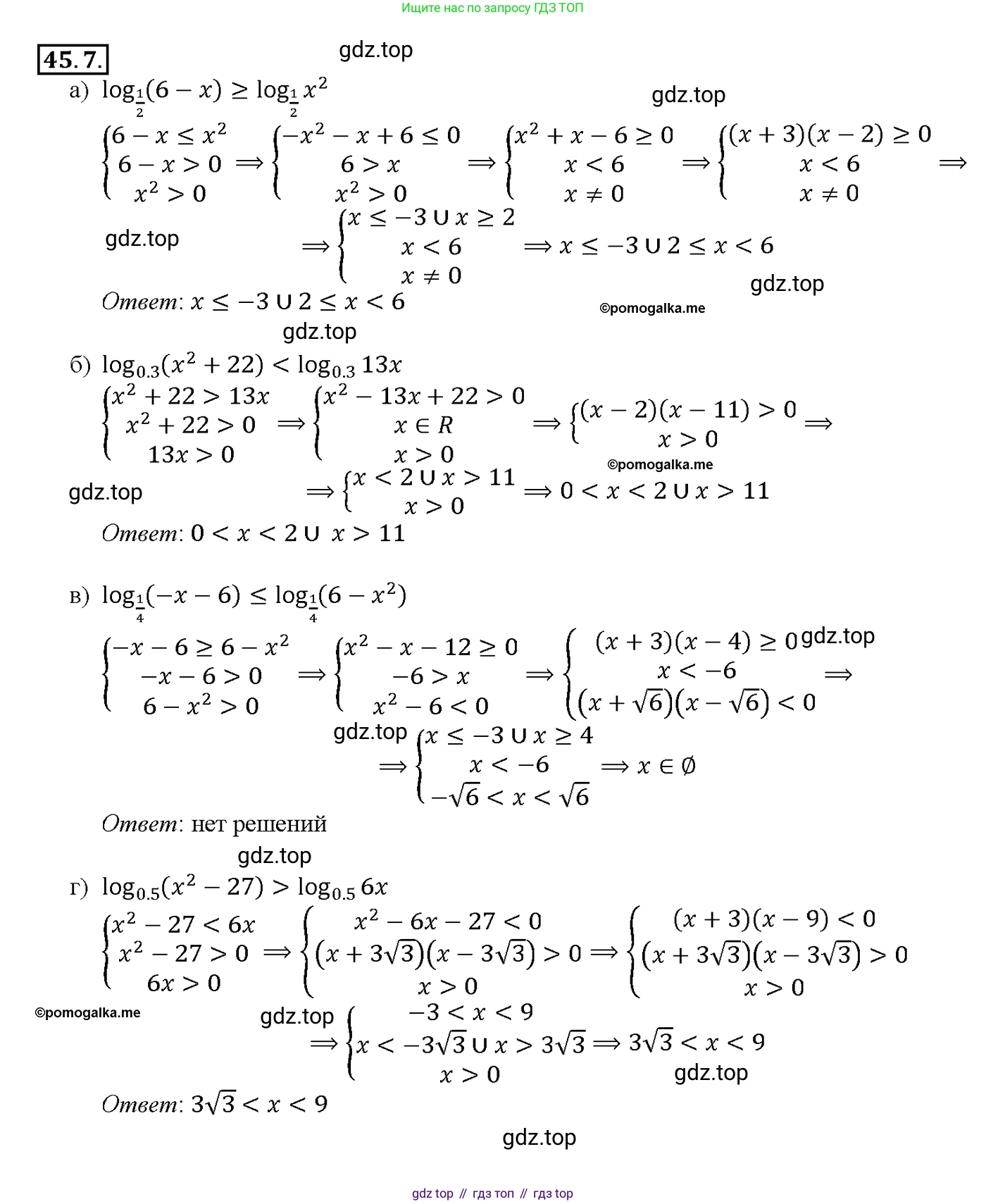
№45.7 (с. 184)
Условие. №45.7 (с. 184)
скриншот условия

45.7 a) $\log_{\frac{1}{2}}(6 - x) \ge \log_{\frac{1}{2}}x^2;$
б) $\log_{0,3}(x^2 + 22) < \log_{0,3} 13x;$
в) $\log_{\frac{1}{4}}(-x - 6) \le \log_{\frac{1}{4}}(6 - x^2);$
г) $\log_{0,5}(x^2 - 27) > \log_{0,5} 6x.$
Решение 1. №45.7 (с. 184)

Решение 2. №45.7 (с. 184)


Решение 5. №45.7 (с. 184)



Решение 6. №45.7 (с. 184)
а)
Дано логарифмическое неравенство $\log_{\frac{1}{2}}(6 - x) \geqslant \log_{\frac{1}{2}}x^2$.
Первым шагом найдем область допустимых значений (ОДЗ). Аргументы логарифмов должны быть строго положительными. Это приводит к системе неравенств:
$\begin{cases} 6 - x > 0 \\ x^2 > 0 \end{cases}$
Решаем систему:
$\begin{cases} x < 6 \\ x \neq 0 \end{cases}$
Таким образом, ОДЗ: $x \in (-\infty; 0) \cup (0; 6)$.
Основание логарифма равно $\frac{1}{2}$. Так как $0 < \frac{1}{2} < 1$, логарифмическая функция является убывающей. Это означает, что при переходе от логарифмов к их аргументам знак неравенства необходимо изменить на противоположный:
$6 - x \leqslant x^2$
Перенесем все члены в правую часть, чтобы получить стандартное квадратное неравенство:
$x^2 + x - 6 \geqslant 0$
Для решения этого неравенства найдем корни соответствующего уравнения $x^2 + x - 6 = 0$. Используя теорему Виета или формулу для корней квадратного уравнения, получаем:
$D = 1^2 - 4 \cdot 1 \cdot (-6) = 1 + 24 = 25 = 5^2$
$x_1 = \frac{-1 - 5}{2} = -3$
$x_2 = \frac{-1 + 5}{2} = 2$
Графиком функции $y = x^2 + x - 6$ является парабола с ветвями, направленными вверх. Следовательно, неравенство $x^2 + x - 6 \geqslant 0$ выполняется, когда $x$ находится вне интервала между корнями, включая сами корни: $x \in (-\infty; -3] \cup [2; \infty)$.
На последнем шаге необходимо найти пересечение полученного решения с ОДЗ:
$\left( (-\infty; -3] \cup [2; \infty) \right) \cap \left( (-\infty; 0) \cup (0; 6) \right)$
Рассматривая пересечение на числовой оси, получаем итоговое решение: $x \in (-\infty; -3] \cup [2; 6)$.
Ответ: $x \in (-\infty; -3] \cup [2; 6)$.
б)
Дано неравенство $\log_{0,3}(x^2 + 22) < \log_{0,3} 13x$.
Найдем ОДЗ. Аргументы логарифмов должны быть положительными:
$\begin{cases} x^2 + 22 > 0 \\ 13x > 0 \end{cases}$
Первое неравенство $x^2 + 22 > 0$ выполняется для любого действительного $x$, так как $x^2 \geqslant 0$. Второе неравенство $13x > 0$ дает $x > 0$.
Следовательно, ОДЗ: $x \in (0; +\infty)$.
Основание логарифма $0,3$ меньше 1, поэтому логарифмическая функция убывающая. При переходе к аргументам знак неравенства меняется на противоположный:
$x^2 + 22 > 13x$
$x^2 - 13x + 22 > 0$
Найдем корни уравнения $x^2 - 13x + 22 = 0$. По теореме Виета, сумма корней равна 13, а произведение 22. Корни: $x_1 = 2$, $x_2 = 11$.
Парабола $y = x^2 - 13x + 22$ имеет ветви вверх, значит, неравенство $x^2 - 13x + 22 > 0$ выполняется при $x \in (-\infty; 2) \cup (11; +\infty)$.
Найдем пересечение этого решения с ОДЗ $x \in (0; +\infty)$:
$\left( (-\infty; 2) \cup (11; +\infty) \right) \cap (0; +\infty) = (0; 2) \cup (11; +\infty)$.
Ответ: $x \in (0; 2) \cup (11; +\infty)$.
в)
Дано неравенство $\log_{\frac{1}{4}}(-x - 6) \leqslant \log_{\frac{1}{4}}(6 - x^2)$.
Найдем ОДЗ из условия положительности аргументов логарифмов:
$\begin{cases} -x - 6 > 0 \\ 6 - x^2 > 0 \end{cases}$
Решаем систему:
$\begin{cases} -x > 6 \\ x^2 < 6 \end{cases} \implies \begin{cases} x < -6 \\ -\sqrt{6} < x < \sqrt{6} \end{cases}$
Поскольку $-\sqrt{6} \approx -2,45$, условие $x < -6$ и условие $-\sqrt{6} < x < \sqrt{6}$ не могут выполняться одновременно. Система не имеет решений.
Область допустимых значений является пустым множеством. Следовательно, исходное неравенство не имеет решений.
Ответ: $x \in \emptyset$ (нет решений).
г)
Дано неравенство $\log_{0,5}(x^2 - 27) > \log_{0,5} 6x$.
Найдем ОДЗ:
$\begin{cases} x^2 - 27 > 0 \\ 6x > 0 \end{cases}$
Решаем систему:
$\begin{cases} x^2 > 27 \\ x > 0 \end{cases} \implies \begin{cases} x \in (-\infty; -3\sqrt{3}) \cup (3\sqrt{3}; +\infty) \\ x > 0 \end{cases}$
Пересечение этих двух условий дает ОДЗ: $x \in (3\sqrt{3}; +\infty)$.
Основание логарифма $0,5$ меньше 1, поэтому логарифмическая функция убывающая, и знак неравенства меняется на противоположный:
$x^2 - 27 < 6x$
$x^2 - 6x - 27 < 0$
Найдем корни уравнения $x^2 - 6x - 27 = 0$. По теореме Виета, сумма корней 6, произведение -27. Корни: $x_1 = 9$ и $x_2 = -3$.
Парабола $y = x^2 - 6x - 27$ имеет ветви вверх, поэтому неравенство $x^2 - 6x - 27 < 0$ выполняется между корнями: $x \in (-3; 9)$.
Найдем пересечение полученного решения с ОДЗ:
$(-3; 9) \cap (3\sqrt{3}; +\infty)$.
Учтем, что $3\sqrt{3} = \sqrt{27}$. Так как $5^2=25$ и $6^2=36$, то $5 < \sqrt{27} < 6$. Таким образом, $3\sqrt{3}$ находится внутри интервала $(-3; 9)$.
Пересечением является интервал $(3\sqrt{3}; 9)$.
Ответ: $x \in (3\sqrt{3}; 9)$.
№45.10 (с. 184)
Условие. №45.10 (с. 184)
скриншот условия

45.10 a) $\log_3 x > \log_3 72 - \log_3 8$;
б) $3\log_{\frac{1}{3}} x < \log_{\frac{1}{3}} 9 + \log_{\frac{1}{3}} 3$;
в) $\log_5 x - \log_5 35 \le \log_5 \frac{1}{7}$;
г) $4\log_{0,6} x \ge \log_{0,6} 8 + \log_{0,6} 2$.
Решение 1. №45.10 (с. 184)

Решение 2. №45.10 (с. 184)

Решение 5. №45.10 (с. 184)


Решение 6. №45.10 (с. 184)
а) Дано неравенство $\log_3 x > \log_3 72 - \log_3 8$.
1. Найдем область допустимых значений (ОДЗ). Аргумент логарифма должен быть строго положительным, поэтому $x > 0$.
2. Упростим правую часть неравенства, используя свойство разности логарифмов $\log_a b - \log_a c = \log_a \frac{b}{c}$:
$\log_3 72 - \log_3 8 = \log_3 \frac{72}{8} = \log_3 9$.
3. Неравенство принимает вид:
$\log_3 x > \log_3 9$.
4. Основание логарифма $a=3$ больше 1 ($3 > 1$), поэтому логарифмическая функция $y = \log_3 t$ является возрастающей. Это означает, что большему значению функции соответствует большее значение аргумента. Следовательно, мы можем перейти от логарифмов к их аргументам, сохранив знак неравенства:
$x > 9$.
5. Сравним полученное решение с ОДЗ. Решение $x > 9$ полностью удовлетворяет условию $x > 0$.
Ответ: $(9; +\infty)$
б) Дано неравенство $3\log_{\frac{1}{3}} x < \log_{\frac{1}{3}} 9 + \log_{\frac{1}{3}} 3$.
1. ОДЗ: $x > 0$.
2. Преобразуем обе части неравенства, используя свойства логарифмов: $n\log_a b = \log_a b^n$ для левой части и $\log_a b + \log_a c = \log_a (b \cdot c)$ для правой.
Левая часть: $3\log_{\frac{1}{3}} x = \log_{\frac{1}{3}} x^3$.
Правая часть: $\log_{\frac{1}{3}} 9 + \log_{\frac{1}{3}} 3 = \log_{\frac{1}{3}} (9 \cdot 3) = \log_{\frac{1}{3}} 27$.
3. Неравенство принимает вид:
$\log_{\frac{1}{3}} x^3 < \log_{\frac{1}{3}} 27$.
4. Основание логарифма $a = \frac{1}{3}$ меньше 1 ($0 < \frac{1}{3} < 1$), поэтому логарифмическая функция $y = \log_{\frac{1}{3}} t$ является убывающей. Это означает, что большему значению функции соответствует меньшее значение аргумента. Следовательно, при переходе к аргументам знак неравенства необходимо изменить на противоположный:
$x^3 > 27$.
5. Решим полученное неравенство:
$x > \sqrt[3]{27}$
$x > 3$.
6. Решение $x > 3$ удовлетворяет ОДЗ ($x > 0$).
Ответ: $(3; +\infty)$
в) Дано неравенство $\log_5 x - \log_5 35 \le \log_5 \frac{1}{7}$.
1. ОДЗ: $x > 0$.
2. Упростим левую часть, используя свойство разности логарифмов:
$\log_5 \frac{x}{35} \le \log_5 \frac{1}{7}$.
3. Основание логарифма $a=5$ больше 1, поэтому функция возрастающая. Переходим к аргументам, сохраняя знак неравенства:
$\frac{x}{35} \le \frac{1}{7}$.
4. Умножим обе части на 35, чтобы избавиться от знаменателя:
$x \le \frac{35}{7}$
$x \le 5$.
5. Объединим полученное решение с ОДЗ. Нам нужно найти значения $x$, которые удовлетворяют системе:
$\begin{cases} x \le 5 \\ x > 0 \end{cases}$
Решением системы является интервал $0 < x \le 5$.
Ответ: $(0; 5]$
г) Дано неравенство $4\log_{0.6} x \ge \log_{0.6} 8 + \log_{0.6} 2$.
1. ОДЗ: $x > 0$.
2. Преобразуем обе части неравенства по свойствам логарифмов:
Левая часть: $4\log_{0.6} x = \log_{0.6} x^4$.
Правая часть: $\log_{0.6} 8 + \log_{0.6} 2 = \log_{0.6} (8 \cdot 2) = \log_{0.6} 16$.
3. Неравенство принимает вид:
$\log_{0.6} x^4 \ge \log_{0.6} 16$.
4. Основание логарифма $a=0.6$ меньше 1 ($0 < 0.6 < 1$), поэтому функция убывающая. При переходе к аргументам меняем знак неравенства на противоположный:
$x^4 \le 16$.
5. Решим это неравенство:
$x^4 - 16 \le 0$.
Разложим левую часть как разность квадратов:
$(x^2 - 4)(x^2 + 4) \le 0$.
Так как $x^2 \ge 0$, то множитель $x^2 + 4$ всегда строго положителен. Значит, мы можем разделить обе части неравенства на $x^2 + 4$, не меняя знака:
$x^2 - 4 \le 0$.
$(x-2)(x+2) \le 0$.
Решением этого квадратного неравенства является отрезок $[-2; 2]$.
6. Объединим решение с ОДЗ ($x > 0$):
$\begin{cases} -2 \le x \le 2 \\ x > 0 \end{cases}$
Решением системы является полуинтервал $0 < x \le 2$.
Ответ: $(0; 2]$
Помогло решение? Оставьте отзыв в комментариях ниже.