Страница 209, часть 2 - гдз по алгебре 10-11 класс задачник часть 1, 2 Мордкович, Семенов


Авторы: Мордкович А. Г., Семенов П. В., Денищева Л. О., Корешкова Т. А., Мишустина Т. Н., Тульчинская Е. Е.
Тип: Задачник
Издательство: Мнемозина
Год издания: 2019 - 2025
Уровень обучения: базовый
Часть: 2
Цвет обложки:
ISBN: 978-5-346-04509-0 (общ.), 978-5-346-04510-6 (ч. 1), 978-5-346-04511-3 (ч. 2)
Рекомендовано Министерством образования и науки Российской Федерации
Математика: алгебра и начала математического анализа, геометрия
Популярные ГДЗ в 10 классе
ч. 2. Cтраница 209

№52.9 (с. 209)
Условие. №52.9 (с. 209)
скриншот условия

52.9 а) $C_{27}^2 - C_{26}^2;$
б) $\frac{A_{10}^3}{C_{10}^3};$
В) $\frac{A_8^6}{A_{10}^2};$
г) $C_{11}^5 - C_{11}^6.$
Решение 1. №52.9 (с. 209)

Решение 2. №52.9 (с. 209)

Решение 5. №52.9 (с. 209)


Решение 6. №52.9 (с. 209)
а) Для решения этого выражения воспользуемся свойством сочетаний, известным как тождество Паскаля: $C_n^k = C_{n-1}^k + C_{n-1}^{k-1}$. Из этого тождества следует, что $C_n^k - C_{n-1}^k = C_{n-1}^{k-1}$. В нашем случае $n=27$ и $k=2$. Подставим эти значения в формулу:$C_{27}^2 - C_{26}^2 = C_{26}^{2-1} = C_{26}^1$.Значение $C_{26}^1$ равно числу способов выбрать 1 элемент из 26, что по определению равно 26.$C_{26}^1 = \frac{26!}{1!(26-1)!} = \frac{26!}{1! \cdot 25!} = 26$.Таким образом, $C_{27}^2 - C_{26}^2 = 26$.
Ответ: 26
б) Для решения этого выражения воспользуемся формулами для числа размещений ($A_n^k$) и числа сочетаний ($C_n^k$):$A_n^k = \frac{n!}{(n-k)!}$$C_n^k = \frac{n!}{k!(n-k)!}$Существует прямая связь между этими двумя величинами: $A_n^k = k! \cdot C_n^k$.Выразим из этой формулы искомое отношение:$\frac{A_n^k}{C_n^k} = k!$.В нашем случае $n=10$ и $k=3$. Подставим значение $k$ в полученную формулу:$\frac{A_{10}^3}{C_{10}^3} = 3! = 3 \times 2 \times 1 = 6$.
Ответ: 6
в) Для вычисления этого выражения используем формулу для числа размещений: $A_n^k = \frac{n!}{(n-k)!}$. Это также можно рассчитать как произведение $k$ последовательных целых чисел, начиная с $n$ в порядке убывания: $A_n^k = n(n-1)...(n-k+1)$.Вычислим числитель:$A_8^6 = 8 \times 7 \times 6 \times 5 \times 4 \times 3 = 20160$.Вычислим знаменатель:$A_{10}^2 = 10 \times 9 = 90$.Теперь разделим числитель на знаменатель:$\frac{A_8^6}{A_{10}^2} = \frac{20160}{90} = \frac{2016}{9}$.Выполним деление: $2016 \div 9 = 224$.
Ответ: 224
г) Для решения этого выражения воспользуемся свойством симметрии для числа сочетаний: $C_n^k = C_n^{n-k}$.Применим это свойство ко второму члену выражения, $C_{11}^6$, где $n=11$ и $k=6$:$C_{11}^6 = C_{11}^{11-6} = C_{11}^5$.Теперь подставим полученный результат обратно в исходное выражение:$C_{11}^5 - C_{11}^6 = C_{11}^5 - C_{11}^5 = 0$.
Ответ: 0
№52.11 (с. 209)
Условие. №52.11 (с. 209)
скриншот условия

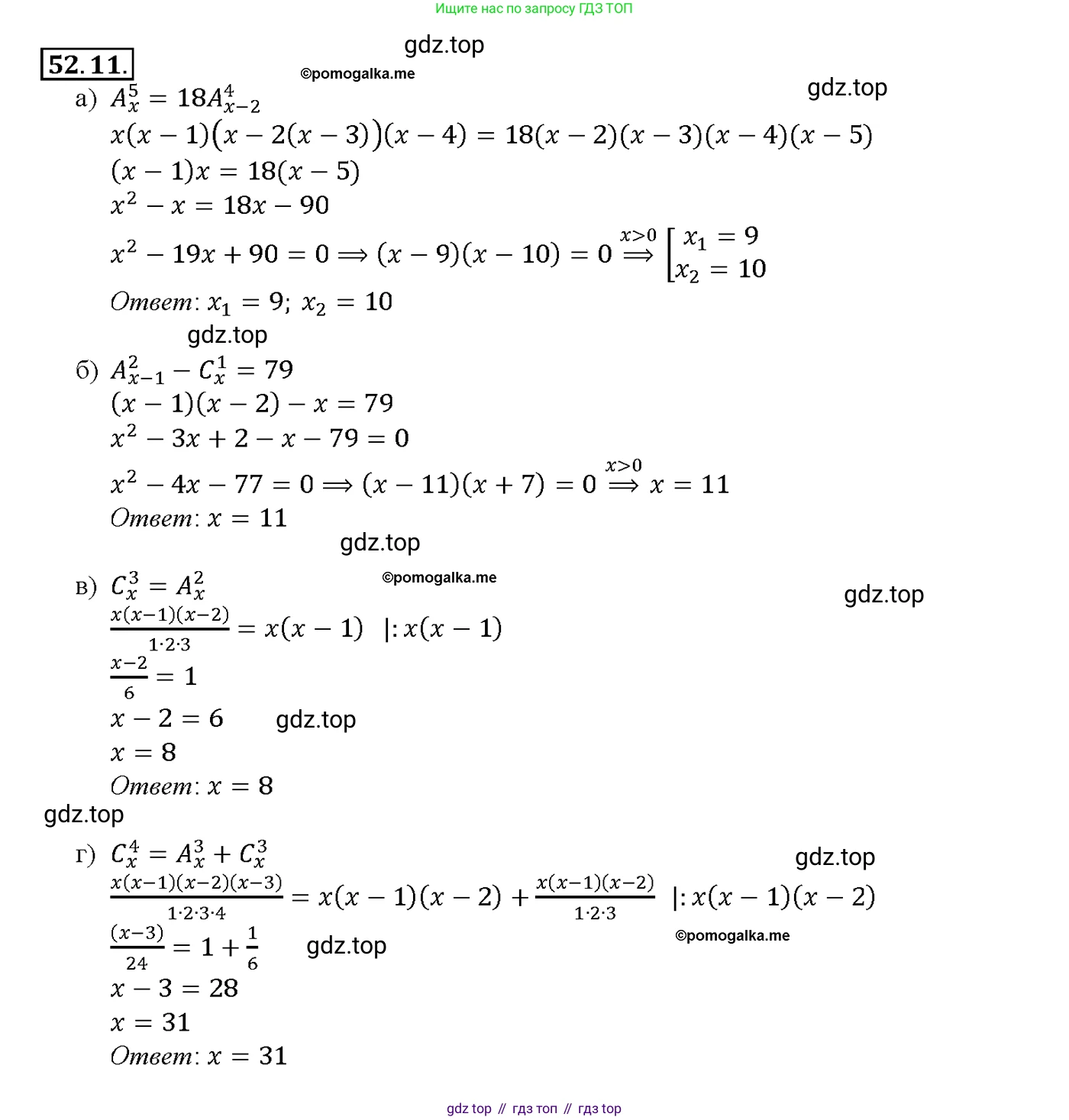
52.11 a) $A_x^5 = 18A_{x-2}^4;$
б) $A_{x-1}^2 - C_x^1 = 79;$
в) $C_x^3 = A_x^2;$
г) $C_x^4 = A_x^3 + C_x^3.$
Решение 1. №52.11 (с. 209)

Решение 2. №52.11 (с. 209)


Решение 5. №52.11 (с. 209)



Решение 6. №52.11 (с. 209)
a) $A_x^5 = 18A_{x-2}^4$
Воспользуемся формулой для числа размещений из $n$ по $k$: $A_n^k = \frac{n!}{(n-k)!}$.
Исходное уравнение можно записать в виде:
$\frac{x!}{(x-5)!} = 18 \cdot \frac{(x-2)!}{((x-2)-4)!}$
$\frac{x!}{(x-5)!} = 18 \cdot \frac{(x-2)!}{(x-6)!}$
Область допустимых значений (ОДЗ) для переменной $x$ определяется условиями $x \ge 5$ и $x-2 \ge 4$. Объединяя их, получаем $x \ge 6$, где $x$ — натуральное число.
Распишем левую и правую части уравнения:
$x(x-1)(x-2)(x-3)(x-4) = 18 \cdot (x-2)(x-3)(x-4)(x-5)$.
Так как согласно ОДЗ $x \ge 6$, то выражения $(x-2)$, $(x-3)$ и $(x-4)$ не равны нулю. Следовательно, мы можем разделить обе части уравнения на $(x-2)(x-3)(x-4)$:
$x(x-1) = 18(x-5)$
$x^2 - x = 18x - 90$
$x^2 - 19x + 90 = 0$
Решим полученное квадратное уравнение с помощью дискриминанта:
$D = b^2 - 4ac = (-19)^2 - 4 \cdot 1 \cdot 90 = 361 - 360 = 1$
Корни уравнения:
$x_1 = \frac{-b - \sqrt{D}}{2a} = \frac{19 - 1}{2} = 9$
$x_2 = \frac{-b + \sqrt{D}}{2a} = \frac{19 + 1}{2} = 10$
Оба корня ($x=9$ и $x=10$) удовлетворяют ОДЗ ($x \ge 6$).
Ответ: 9; 10.
б) $A_{x-1}^2 - C_x^1 = 79$
Используем формулы для числа размещений $A_n^k = \frac{n!}{(n-k)!}$ и числа сочетаний $C_n^k = \frac{n!}{k!(n-k)!}$.
$A_{x-1}^2 = (x-1)(x-2)$
$C_x^1 = x$
ОДЗ: $x-1 \ge 2$ и $x \ge 1$, что в совокупности дает $x \ge 3$, где $x$ — натуральное число.
Подставим выражения в уравнение:
$(x-1)(x-2) - x = 79$
$x^2 - 2x - x + 2 - x = 79$
$x^2 - 4x + 2 = 79$
$x^2 - 4x - 77 = 0$
Решим квадратное уравнение. Дискриминант $D = (-4)^2 - 4 \cdot 1 \cdot (-77) = 16 + 308 = 324 = 18^2$.
Корни уравнения:
$x_1 = \frac{4 - 18}{2} = -7$
$x_2 = \frac{4 + 18}{2} = 11$
Корень $x_1 = -7$ не удовлетворяет ОДЗ, так как не является натуральным числом и меньше 3. Корень $x_2 = 11$ удовлетворяет ОДЗ ($11 \ge 3$).
Ответ: 11.
в) $C_x^3 = A_x^2$
Распишем левую и правую части по формулам:
$C_x^3 = \frac{x(x-1)(x-2)}{3!} = \frac{x(x-1)(x-2)}{6}$
$A_x^2 = x(x-1)$
ОДЗ: $x \ge 3$ и $x \ge 2$, что дает $x \ge 3$, где $x$ — натуральное число.
Подставим выражения в уравнение:
$\frac{x(x-1)(x-2)}{6} = x(x-1)$
Поскольку по ОДЗ $x \ge 3$, то $x \neq 0$ и $x-1 \neq 0$. Сократим обе части на $x(x-1)$:
$\frac{x-2}{6} = 1$
$x-2 = 6$
$x = 8$
Корень $x=8$ удовлетворяет ОДЗ ($8 \ge 3$).
Ответ: 8.
г) $C_x^4 = A_x^3 + C_x^3$
Воспользуемся комбинаторным тождеством, связывающим число размещений и сочетаний: $A_n^k = k! \cdot C_n^k$.
Тогда $A_x^3 = 3! \cdot C_x^3 = 6C_x^3$.
Подставим это выражение в исходное уравнение:
$C_x^4 = 6C_x^3 + C_x^3$
$C_x^4 = 7C_x^3$
ОДЗ: $x \ge 4$ и $x \ge 3$, что в совокупности дает $x \ge 4$, где $x$ — натуральное число.
Распишем сочетания по определению:
$\frac{x!}{4!(x-4)!} = 7 \cdot \frac{x!}{3!(x-3)!}$
Поскольку $x \ge 4$, можно сократить обе части на $x!$:
$\frac{1}{4!(x-4)!} = \frac{7}{3!(x-3)!}$
Представим $4! = 4 \cdot 3!$ и $(x-3)! = (x-3) \cdot (x-4)!$:
$\frac{1}{4 \cdot 3! \cdot (x-4)!} = \frac{7}{3! \cdot (x-3) \cdot (x-4)!}$
Сократим обе части на общий множитель $3! \cdot (x-4)!$:
$\frac{1}{4} = \frac{7}{x-3}$
$x-3 = 4 \cdot 7$
$x-3 = 28$
$x = 31$
Корень $x=31$ удовлетворяет ОДЗ ($31 \ge 4$).
Ответ: 31.
№52.13 (с. 209)
Условие. №52.13 (с. 209)
скриншот условия

52.13 Найдите значение n, при котором:
а) число $C_{n+1}^2$ составляет 80 % от числа $C_n^3$;
б) число $C_{n+1}^3$ составляет 120 % от числа $C_n^4$;
в) число $C_{2n}^{n+1}$ составляет 56 % от числа $C_{2n+1}^{n-1}$;
г) число $C_{2n+3}^n$ составляет 120 % от числа $C_{2n+2}^{n+1}$.
Решение 1. №52.13 (с. 209)

Решение 2. №52.13 (с. 209)



Решение 5. №52.13 (с. 209)



Решение 6. №52.13 (с. 209)
а) По условию задачи, число $C_{n+1}^2$ составляет 80% от числа $C_n^3$. Это можно записать в виде уравнения:
$C_{n+1}^2 = 0.8 \cdot C_n^3$
Числа сочетаний определены при $n+1 \ge 2$ и $n \ge 3$. Объединяя эти условия, получаем, что $n$ должно быть целым числом и $n \ge 3$.
Распишем числа сочетаний по формуле $C_n^k = \frac{n!}{k!(n-k)!}$:
$C_{n+1}^2 = \frac{(n+1)!}{2!(n+1-2)!} = \frac{(n+1)!}{2(n-1)!} = \frac{(n+1)n(n-1)!}{2(n-1)!} = \frac{n(n+1)}{2}$
$C_n^3 = \frac{n!}{3!(n-3)!} = \frac{n(n-1)(n-2)(n-3)!}{6(n-3)!} = \frac{n(n-1)(n-2)}{6}$
Подставим эти выражения в исходное уравнение, заменив $0.8$ на $\frac{4}{5}$:
$\frac{n(n+1)}{2} = \frac{4}{5} \cdot \frac{n(n-1)(n-2)}{6}$
Поскольку $n \ge 3$, то $n \ne 0$. Можно разделить обе части уравнения на $n$:
$\frac{n+1}{2} = \frac{4(n-1)(n-2)}{30}$
$\frac{n+1}{2} = \frac{2(n-1)(n-2)}{15}$
Умножим обе части на 30:
$15(n+1) = 4(n-1)(n-2)$
$15n + 15 = 4(n^2 - 3n + 2)$
$15n + 15 = 4n^2 - 12n + 8$
$4n^2 - 27n - 7 = 0$
Решим это квадратное уравнение. Дискриминант $D = (-27)^2 - 4 \cdot 4 \cdot (-7) = 729 + 112 = 841 = 29^2$.
Корни уравнения: $n_{1,2} = \frac{27 \pm 29}{8}$.
$n_1 = \frac{27+29}{8} = \frac{56}{8} = 7$
$n_2 = \frac{27-29}{8} = \frac{-2}{8} = -\frac{1}{4}$
Условию $n \ge 3$ удовлетворяет только корень $n=7$.
Ответ: $n=7$.
б) По условию, число $C_{n+1}^3$ составляет 120% от числа $C_n^4$. Запишем это в виде уравнения:
$C_{n+1}^3 = 1.2 \cdot C_n^4$
Числа сочетаний определены при $n+1 \ge 3$ и $n \ge 4$. Отсюда следует, что $n$ должно быть целым числом и $n \ge 4$.
Расписываем числа сочетаний:
$C_{n+1}^3 = \frac{(n+1)!}{3!(n-2)!} = \frac{(n+1)n(n-1)}{6}$
$C_n^4 = \frac{n!}{4!(n-4)!} = \frac{n(n-1)(n-2)(n-3)}{24}$
Подставляем в уравнение, заменив $1.2$ на $\frac{6}{5}$:
$\frac{(n+1)n(n-1)}{6} = \frac{6}{5} \cdot \frac{n(n-1)(n-2)(n-3)}{24}$
Так как $n \ge 4$, то $n \ne 0$ и $n-1 \ne 0$. Делим обе части на $n(n-1)$:
$\frac{n+1}{6} = \frac{6}{5} \cdot \frac{(n-2)(n-3)}{24}$
$\frac{n+1}{6} = \frac{(n-2)(n-3)}{20}$
Умножим обе части на 60:
$10(n+1) = 3(n-2)(n-3)$
$10n + 10 = 3(n^2 - 5n + 6)$
$10n + 10 = 3n^2 - 15n + 18$
$3n^2 - 25n + 8 = 0$
Решаем квадратное уравнение. Дискриминант $D = (-25)^2 - 4 \cdot 3 \cdot 8 = 625 - 96 = 529 = 23^2$.
Корни уравнения: $n_{1,2} = \frac{25 \pm 23}{6}$.
$n_1 = \frac{25+23}{6} = \frac{48}{6} = 8$
$n_2 = \frac{25-23}{6} = \frac{2}{6} = \frac{1}{3}$
Условию $n \ge 4$ удовлетворяет только корень $n=8$.
Ответ: $n=8$.
в) По условию, число $C_{2n}^{n+1}$ составляет 56% от числа $C_{2n+1}^{n-1}$.
$C_{2n}^{n+1} = 0.56 \cdot C_{2n+1}^{n-1}$
Ограничения на $n$: $2n \ge n+1 \implies n \ge 1$ и $n-1 \ge 0 \implies n \ge 1$. Итак, $n$ — целое число, $n \ge 1$.
Запишем выражения для сочетаний:
$C_{2n}^{n+1} = \frac{(2n)!}{(n+1)!(2n-n-1)!} = \frac{(2n)!}{(n+1)!(n-1)!}$
$C_{2n+1}^{n-1} = \frac{(2n+1)!}{(n-1)!(2n+1-n+1)!} = \frac{(2n+1)!}{(n-1)!(n+2)!}$
Подставим в уравнение, заменив $0.56$ на $\frac{14}{25}$:
$\frac{(2n)!}{(n+1)!(n-1)!} = \frac{14}{25} \cdot \frac{(2n+1)!}{(n-1)!(n+2)!}$
Используем свойства факториалов $(2n+1)!=(2n+1)(2n)!$ и $(n+2)!=(n+2)(n+1)!$ для упрощения:
$\frac{(2n)!}{(n+1)!(n-1)!} = \frac{14}{25} \cdot \frac{(2n+1)(2n)!}{(n-1)!(n+2)(n+1)!}$
Сокращаем общие множители $(2n)!$, $(n+1)!$ и $(n-1)!$ в обеих частях:
$1 = \frac{14}{25} \cdot \frac{2n+1}{n+2}$
Решаем полученное линейное уравнение:
$25(n+2) = 14(2n+1)$
$25n + 50 = 28n + 14$
$3n = 36$
$n = 12$
Полученное значение удовлетворяет условию $n \ge 1$.
Ответ: $n=12$.
г) По условию, число $C_{2n+3}^n$ составляет 120% от числа $C_{2n+2}^{n+1}$.
$C_{2n+3}^n = 1.2 \cdot C_{2n+2}^{n+1}$
Ограничения на $n$: $2n+3 \ge n \implies n \ge -3$ и $n \ge 0$; $2n+2 \ge n+1 \implies n \ge -1$. Итоговое ограничение: $n$ — целое неотрицательное число, $n \ge 0$.
Запишем выражения для сочетаний:
$C_{2n+3}^n = \frac{(2n+3)!}{n!(2n+3-n)!} = \frac{(2n+3)!}{n!(n+3)!}$
$C_{2n+2}^{n+1} = \frac{(2n+2)!}{(n+1)!(2n+2-n-1)!} = \frac{(2n+2)!}{(n+1)!(n+1)!}$
Подставим в уравнение, заменив $1.2$ на $\frac{6}{5}$:
$\frac{(2n+3)!}{n!(n+3)!} = \frac{6}{5} \cdot \frac{(2n+2)!}{(n+1)!(n+1)!}$
Упростим, используя $(2n+3)!=(2n+3)(2n+2)!$ и $(n+3)!=(n+3)(n+2)(n+1)!$:
$\frac{(2n+3)(2n+2)!}{n!(n+3)(n+2)(n+1)!} = \frac{6}{5} \cdot \frac{(2n+2)!}{(n+1)!(n+1)!}$
Сократим $(2n+2)!$ и один множитель $(n+1)!$:
$\frac{2n+3}{n!(n+3)(n+2)} = \frac{6}{5(n+1)!}$
Используем $(n+1)!=(n+1)n!$ и сократим $n!$:
$\frac{2n+3}{(n+3)(n+2)} = \frac{6}{5(n+1)}$
Перемножим крест-накрест:
$5(2n+3)(n+1) = 6(n+3)(n+2)$
$5(2n^2 + 5n + 3) = 6(n^2 + 5n + 6)$
$10n^2 + 25n + 15 = 6n^2 + 30n + 36$
$4n^2 - 5n - 21 = 0$
Решим квадратное уравнение. Дискриминант $D = (-5)^2 - 4 \cdot 4 \cdot (-21) = 25 + 336 = 361 = 19^2$.
Корни уравнения: $n_{1,2} = \frac{5 \pm 19}{8}$.
$n_1 = \frac{5+19}{8} = \frac{24}{8} = 3$
$n_2 = \frac{5-19}{8} = \frac{-14}{8} = -\frac{7}{4}$
Условию $n \ge 0$ удовлетворяет только корень $n=3$.
Ответ: $n=3$.
№52.8 (с. 209)
Условие. №52.8 (с. 209)
скриншот условия

Вычислите:
52.8 a) $C_{17}^2$ и $A_{17}^2$;
б) $C_{100}^2$ и $A_{100}^2$;
в) $C_5^3$ и $A_5^3$;
г) $C_8^4$ и $A_8^4$.
Решение 1. №52.8 (с. 209)

Решение 2. №52.8 (с. 209)

Решение 5. №52.8 (с. 209)


Решение 6. №52.8 (с. 209)
Для решения задачи используются формула числа сочетаний (количество способов выбрать k элементов из n без учета порядка) и формула числа размещений (количество способов выбрать k элементов из n с учетом порядка).
Формула числа сочетаний: $C_n^k = \frac{n!}{k!(n-k)!}$
Формула числа размещений: $A_n^k = \frac{n!}{(n-k)!}$
а) Вычислим $C_{17}^2$ и $A_{17}^2$.
$C_{17}^2 = \frac{17!}{2!(17-2)!} = \frac{17!}{2! \cdot 15!} = \frac{16 \cdot 17}{2 \cdot 1} = 8 \cdot 17 = 136$.
$A_{17}^2 = \frac{17!}{(17-2)!} = \frac{17!}{15!} = 16 \cdot 17 = 272$.
Ответ: $C_{17}^2 = 136$; $A_{17}^2 = 272$.
б) Вычислим $C_{100}^2$ и $A_{100}^2$.
$C_{100}^2 = \frac{100!}{2!(100-2)!} = \frac{100!}{2! \cdot 98!} = \frac{99 \cdot 100}{2 \cdot 1} = 99 \cdot 50 = 4950$.
$A_{100}^2 = \frac{100!}{(100-2)!} = \frac{100!}{98!} = 99 \cdot 100 = 9900$.
Ответ: $C_{100}^2 = 4950$; $A_{100}^2 = 9900$.
в) Вычислим $C_{5}^3$ и $A_{5}^3$.
$C_{5}^3 = \frac{5!}{3!(5-3)!} = \frac{5!}{3! \cdot 2!} = \frac{4 \cdot 5}{2 \cdot 1} = 10$.
$A_{5}^3 = \frac{5!}{(5-3)!} = \frac{5!}{2!} = 3 \cdot 4 \cdot 5 = 60$.
Ответ: $C_{5}^3 = 10$; $A_{5}^3 = 60$.
г) Вычислим $C_{8}^4$ и $A_{8}^4$.
$C_{8}^4 = \frac{8!}{4!(8-4)!} = \frac{8!}{4! \cdot 4!} = \frac{5 \cdot 6 \cdot 7 \cdot 8}{4 \cdot 3 \cdot 2 \cdot 1} = \frac{1680}{24} = 70$.
$A_{8}^4 = \frac{8!}{(8-4)!} = \frac{8!}{4!} = 5 \cdot 6 \cdot 7 \cdot 8 = 1680$.
Ответ: $C_{8}^4 = 70$; $A_{8}^4 = 1680$.
№52.10 (с. 209)
Условие. №52.10 (с. 209)
скриншот условия

Решите уравнение:
52.10 a) $C_x^3 = 2C_x^2$;
б) $C_x^{x-2} = 15$;
в) $C_x^2 + C_{x+1}^2 = 49$;
г) $C_8^x = 70$.
Решение 1. №52.10 (с. 209)

Решение 2. №52.10 (с. 209)


Решение 5. №52.10 (с. 209)



Решение 6. №52.10 (с. 209)
Для решения данных уравнений мы будем использовать формулу числа сочетаний из $n$ элементов по $k$: $C_n^k = \frac{n!}{k!(n-k)!}$, где $n$ и $k$ — целые неотрицательные числа и $n \ge k$.
а) $C_x^3 = 2C_x^2$
Определим область допустимых значений (ОДЗ) для $x$. Для того чтобы сочетания $C_x^3$ и $C_x^2$ имели смысл, $x$ должен быть целым числом, и должны выполняться условия $x \ge 3$ и $x \ge 2$. Объединяя эти условия, получаем ОДЗ: $x \in \mathbb{Z}, x \ge 3$.
Запишем уравнение, используя формулу для числа сочетаний:
$\frac{x!}{3!(x-3)!} = 2 \cdot \frac{x!}{2!(x-2)!}$
Распишем факториалы для упрощения:
$\frac{x(x-1)(x-2)(x-3)!}{3 \cdot 2 \cdot 1 \cdot (x-3)!} = 2 \cdot \frac{x(x-1)(x-2)!}{2 \cdot 1 \cdot (x-2)!}$
$\frac{x(x-1)(x-2)}{6} = x(x-1)$
Так как согласно ОДЗ $x \ge 3$, то $x \neq 0$ и $x-1 \neq 0$. Следовательно, мы можем разделить обе части уравнения на $x(x-1)$:
$\frac{x-2}{6} = 1$
$x-2 = 6$
$x = 8$
Полученное значение $x=8$ удовлетворяет ОДЗ ($8 \ge 3$).
Ответ: $8$
б) $C_x^{x-2} = 15$
ОДЗ для данного уравнения: $x$ — целое число, $x \ge x-2$ (что верно для любого $x$) и $x-2 \ge 0$, откуда $x \ge 2$. Итак, ОДЗ: $x \in \mathbb{Z}, x \ge 2$.
Воспользуемся свойством симметрии числа сочетаний: $C_n^k = C_n^{n-k}$.
$C_x^{x-2} = C_x^{x-(x-2)} = C_x^2$.
Тогда уравнение принимает вид:
$C_x^2 = 15$
Распишем по формуле:
$\frac{x(x-1)}{2} = 15$
$x(x-1) = 30$
$x^2 - x - 30 = 0$
Решим квадратное уравнение. По теореме Виета находим корни:
$x_1 = 6$, $x_2 = -5$.
Проверим корни на соответствие ОДЗ ($x \ge 2$). Корень $x_1=6$ удовлетворяет условию. Корень $x_2=-5$ не удовлетворяет условию.
Ответ: $6$
в) $C_x^2 + C_{x+1}^2 = 49$
ОДЗ: для $C_x^2$ необходимо $x \in \mathbb{Z}, x \ge 2$. Для $C_{x+1}^2$ необходимо $x+1 \in \mathbb{Z}, x+1 \ge 2$, то есть $x \ge 1$. Общая ОДЗ: $x \in \mathbb{Z}, x \ge 2$.
Запишем уравнение, используя формулы:
$\frac{x(x-1)}{2} + \frac{(x+1)x}{2} = 49$
Умножим обе части уравнения на 2, чтобы избавиться от знаменателей:
$x(x-1) + x(x+1) = 98$
Раскроем скобки и приведем подобные слагаемые:
$x^2 - x + x^2 + x = 98$
$2x^2 = 98$
$x^2 = 49$
Отсюда получаем два возможных корня: $x_1 = 7$ и $x_2 = -7$.
Согласно ОДЗ ($x \ge 2$), корень $x_2=-7$ является посторонним. Подходит только $x_1=7$.
Ответ: $7$
г) $C_8^x = 70$
ОДЗ для данного уравнения: $x$ — целое число, $0 \le x \le 8$.
Уравнение имеет вид $\frac{8!}{x!(8-x)!} = 70$. Решать такое уравнение аналитически сложно, поэтому проверим все возможные целые значения $x$ из ОДЗ.
Вычислим значения $C_8^x$ для $x$ от 0 до 4 (для $x > 4$ значения будут симметричны благодаря свойству $C_n^k=C_n^{n-k}$):
$C_8^0 = 1$
$C_8^1 = 8$
$C_8^2 = \frac{8 \cdot 7}{2} = 28$
$C_8^3 = \frac{8 \cdot 7 \cdot 6}{3 \cdot 2 \cdot 1} = 56$
$C_8^4 = \frac{8 \cdot 7 \cdot 6 \cdot 5}{4 \cdot 3 \cdot 2 \cdot 1} = 70$
Мы нашли, что при $x=4$ уравнение выполняется. Так как значения $C_8^x$ возрастают до $x=4$ и затем симметрично убывают ($C_8^5 = C_8^3 = 56$, и т.д.), то $x=4$ является единственным решением.
Ответ: $4$
№52.12 (с. 209)
Условие. №52.12 (с. 209)
скриншот условия

52.12 Решите неравенство:
а) $120 < A_{k-3}^2 < 140;$
б) $C_6^2 < A_n^2 < C_8^2;$
в) $C_{10}^2 < A_x^2 < 60;$
г) $C_{19}^2 < A_x^2 + C_x^2 < 200.$
Решение 1. №52.12 (с. 209)

Решение 2. №52.12 (с. 209)


Решение 5. №52.12 (с. 209)


Решение 6. №52.12 (с. 209)
а) $120 < A_{k-3}^2 < 140$
Воспользуемся формулой числа размещений $A_n^m = n(n-1)...(n-m+1)$.
В данном случае $A_{k-3}^2 = (k-3)(k-3-1) = (k-3)(k-4)$.
Область допустимых значений (ОДЗ) для $A_{k-3}^2$ определяется условиями $k-3 \ge 2$ и $k \in \mathbb{N}$, то есть $k \ge 5$ и $k$ - целое число.
Получаем двойное неравенство:
$120 < (k-3)(k-4) < 140$
Мы ищем два последовательных целых числа, произведение которых находится между 120 и 140.
Рассмотрим произведения последовательных целых чисел:
$10 \cdot 11 = 110$ (меньше 120)
$11 \cdot 12 = 132$ (удовлетворяет условию $120 < 132 < 140$)
$12 \cdot 13 = 156$ (больше 140)
Следовательно, нам подходит только один вариант:
$(k-3)(k-4) = 132$, где $k-3$ и $k-4$ - последовательные целые числа.
Из сравнения $k-4 = 11$ и $k-3 = 12$ получаем $k = 15$.
Проверим ОДЗ: $k=15$ удовлетворяет условию $k \ge 5$.
Ответ: $k=15$.
б) $C_6^2 < A_n^2 < C_8^2$
Сначала вычислим значения сочетаний $C_n^k = \frac{n!}{k!(n-k)!}$.
$C_6^2 = \frac{6 \cdot 5}{2 \cdot 1} = 15$
$C_8^2 = \frac{8 \cdot 7}{2 \cdot 1} = 28$
Теперь используем формулу для размещений $A_n^2 = n(n-1)$.
ОДЗ: $n \ge 2$ и $n \in \mathbb{N}$.
Неравенство принимает вид:
$15 < n(n-1) < 28$
Мы ищем целое число $n$, для которого произведение $n(n-1)$ находится в интервале $(15, 28)$.
Проверим значения для $n \ge 2$:
При $n=2: 2 \cdot 1 = 2$ (не подходит)
При $n=3: 3 \cdot 2 = 6$ (не подходит)
При $n=4: 4 \cdot 3 = 12$ (не подходит)
При $n=5: 5 \cdot 4 = 20$ (удовлетворяет условию $15 < 20 < 28$)
При $n=6: 6 \cdot 5 = 30$ (не подходит)
Единственное подходящее целое значение - это $n=5$.
Ответ: $n=5$.
в) $C_{10}^2 < A_x^2 < 60$
Вычислим значение $C_{10}^2$:
$C_{10}^2 = \frac{10 \cdot 9}{2 \cdot 1} = 45$
Формула для размещений $A_x^2 = x(x-1)$.
ОДЗ: $x \ge 2$ и $x \in \mathbb{N}$.
Подставляем в неравенство:
$45 < x(x-1) < 60$
Ищем целое число $x \ge 2$, для которого произведение $x(x-1)$ находится в интервале $(45, 60)$.
Проверим значения $x$:
При $x=6: 6 \cdot 5 = 30$ (не подходит)
При $x=7: 7 \cdot 6 = 42$ (не подходит)
При $x=8: 8 \cdot 7 = 56$ (удовлетворяет условию $45 < 56 < 60$)
При $x=9: 9 \cdot 8 = 72$ (не подходит)
Единственное подходящее целое значение - это $x=8$.
Ответ: $x=8$.
г) $C_{19}^2 < A_x^2 + C_x^2 < 200$
Вычислим значение $C_{19}^2$:
$C_{19}^2 = \frac{19 \cdot 18}{2 \cdot 1} = 171$
Теперь упростим выражение в середине неравенства, используя формулы $A_x^2 = x(x-1)$ и $C_x^2 = \frac{x(x-1)}{2}$.
ОДЗ: $x \ge 2$ и $x \in \mathbb{N}$.
$A_x^2 + C_x^2 = x(x-1) + \frac{x(x-1)}{2} = \frac{2x(x-1) + x(x-1)}{2} = \frac{3x(x-1)}{2}$
Подставляем в неравенство:
$171 < \frac{3x(x-1)}{2} < 200$
Умножим все части на 2:
$342 < 3x(x-1) < 400$
Разделим все части на 3:
$114 < x(x-1) < \frac{400}{3}$
$114 < x(x-1) < 133,33...$
Ищем целое число $x \ge 2$, для которого произведение $x(x-1)$ находится в интервале $(114, 133.33...)$.
Проверим произведения последовательных целых чисел:
$10 \cdot 11 = 110$ (не подходит)
$11 \cdot 12 = 132$ (удовлетворяет условию $114 < 132 < 133.33...$)
$12 \cdot 13 = 156$ (не подходит)
Следовательно, $x(x-1) = 132$, откуда $x=12$.
Проверим ОДЗ: $x=12$ удовлетворяет условию $x \ge 2$.
Ответ: $x=12$.
№52.14 (с. 209)
Условие. №52.14 (с. 209)
скриншот условия

52.14 «Вороне где-то Бог послал кусочек сыра», брынзы, колбасы, сухарика и шоколада. «На ель Ворона взгромоздясь, позавтракать совсем уж было собралась, да призадумалась»:
а) если есть кусочки по очереди, то из скольких вариантов придётся выбирать;
б) сколькими способами можно составить «бутерброд» из двух кусочков;
в) если съесть сразу три кусочка, а остальные спрятать и съесть завтра и послезавтра, то из скольких вариантов придётся выбирать;
г) сколько получится, если один кусочек всё-таки бросить Лисе, а потом ответить на вопрос а)?
Решение 1. №52.14 (с. 209)

Решение 2. №52.14 (с. 209)

Решение 5. №52.14 (с. 209)


Решение 6. №52.14 (с. 209)
Для решения задачи сначала определим общее количество кусочков, которые есть у Вороны: сыр, брынза, колбаса, сухарик и шоколад. Всего 5 различных кусочков.
а) если есть кусочки по очереди, то из скольких вариантов придётся выбирать;
Эта задача сводится к нахождению числа перестановок из 5 различных элементов. Порядок, в котором Ворона ест кусочки, важен. Число перестановок из $n$ элементов вычисляется по формуле $P_n = n!$.
В нашем случае $n = 5$.
$P_5 = 5! = 5 \times 4 \times 3 \times 2 \times 1 = 120$
Таким образом, у Вороны есть 120 вариантов последовательности поедания кусочков.
Ответ: 120
б) сколькими способами можно составить «бутерброд» из двух кусочков;
Здесь нужно выбрать 2 кусочка из 5 имеющихся. Порядок кусочков в «бутерброде» не имеет значения (сыр с колбасой — это то же самое, что колбаса с сыром). Следовательно, мы ищем число сочетаний из 5 элементов по 2. Формула для числа сочетаний: $C_n^k = \frac{n!}{k!(n-k)!}$.
В нашем случае $n = 5$, $k = 2$.
$C_5^2 = \frac{5!}{2!(5-2)!} = \frac{5!}{2!3!} = \frac{5 \times 4}{2 \times 1} = 10$
Можно составить 10 различных «бутербродов».
Ответ: 10
в) если съесть сразу три кусочка, а остальные спрятать и съесть завтра и послезавтра, то из скольких вариантов придётся выбирать;
Решение этой задачи состоит из двух шагов:
1. Выбрать 3 кусочка из 5, чтобы съесть сегодня. Так как они съедаются «сразу», порядок не важен. Это число сочетаний из 5 по 3: $C_5^3$.
$C_5^3 = \frac{5!}{3!(5-3)!} = \frac{5!}{3!2!} = \frac{5 \times 4}{2 \times 1} = 10$ способов.
2. Оставшиеся 2 кусочка нужно распределить на два дня: завтра и послезавтра. Здесь порядок важен (какой съесть завтра, а какой — послезавтра). Это число перестановок из 2 элементов: $P_2 = 2! = 2$ способа.
Общее число вариантов находится произведением числа способов на каждом шаге:
$N = C_5^3 \times P_2 = 10 \times 2 = 20$
Таким образом, у Вороны есть 20 вариантов.
Ответ: 20
г) сколько получится, если один кусочек всё-таки бросить Лисе, а потом ответить на вопрос а)?
Сначала Ворона отдает один кусочек Лисе. Поскольку у нее 5 разных кусочков, у нее есть 5 вариантов, какой именно отдать. После этого у нее остается $5 - 1 = 4$ кусочка.
Теперь нужно ответить на вопрос а) для оставшихся 4 кусочков. Вопрос а) — это нахождение числа вариантов съесть все кусочки по очереди. То есть, нам нужно найти число перестановок из 4 элементов.
$P_4 = 4! = 4 \times 3 \times 2 \times 1 = 24$
Значит, после того как один кусочек будет отдан Лисе, у Вороны останется 24 варианта съесть оставшиеся.
Ответ: 24
Помогло решение? Оставьте отзыв в комментариях ниже.