Номер 152, страница 48 - гдз по геометрии 10-11 класс учебник Атанасян, Бутузов
 
                                                Авторы: Атанасян Л. С., Бутузов В. Ф., Кадомцев С. Б., Позняк Э. Г., Киселёва Л. С.
Тип: Учебник
Издательство: Просвещение
Год издания: 2019 - 2025
Уровень обучения: базовый и углублённый
Цвет обложки: коричневый с ромбами
ISBN: 978-5-09-103606-0 (2023)
Допущено Министерством просвещения Российской Федерации
Математика: алгебра и начала математического анализа, геометрия
Популярные ГДЗ в 10 классе
Глава 2. Перпендикулярность прямых и плоскостей. Параграф 2. Перпендикуляр и наклонные. Угол между прямой и плоскостью - номер 152, страница 48.
№152 (с. 48)
Условие. №152 (с. 48)
скриншот условия
 
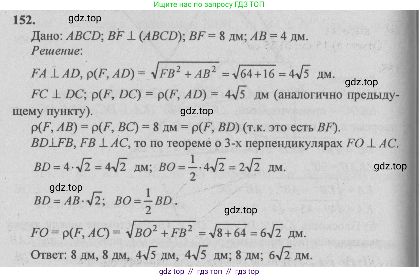
                                152. Через вершину В квадрата ABCD проведена прямая BF, перпендикулярная к его плоскости. Найдите расстояния от точки F до прямых, содержащих стороны и диагонали квадрата, если BF = 8 дм, АВ = 4 дм.
Решение 2. №152 (с. 48)
 
                            Решение 4. №152 (с. 48)
 
             
                            Решение 5. №152 (с. 48)
 
                            Решение 6. №152 (с. 48)
По условию задачи, дан квадрат $ABCD$ со стороной $AB = 4$ дм. Через вершину $B$ проведена прямая $BF$, перпендикулярная плоскости квадрата, с длиной $BF = 8$ дм. Это означает, что $BF \perp (ABC)$. Расстояние от точки до прямой — это длина перпендикуляра, опущенного из этой точки на прямую. Для решения задачи будем использовать теорему о трех перпендикулярах.
Расстояние от точки F до прямых AB, BC и BD
Поскольку прямая $BF$ перпендикулярна плоскости квадрата $(ABC)$, она перпендикулярна любой прямой, лежащей в этой плоскости и проходящей через ее основание — точку $B$. Прямые $AB$, $BC$ и диагональ $BD$ лежат в плоскости $(ABC)$ и проходят через точку $B$.
Следовательно, $BF \perp AB$, $BF \perp BC$ и $BF \perp BD$.
Таким образом, отрезок $BF$ является перпендикуляром от точки $F$ к каждой из этих прямых, и его длина является искомым расстоянием.
Ответ: Расстояние от точки $F$ до прямых $AB$, $BC$ и $BD$ равно 8 дм.
Расстояние от точки F до прямых AD и CD
Для нахождения расстояния от точки $F$ до прямой $AD$ воспользуемся теоремой о трех перпендикулярах. У нас есть перпендикуляр $BF$ к плоскости $(ABC)$ и наклонная $FA$. Проекцией наклонной $FA$ на плоскость является сторона квадрата $AB$. Так как в квадрате смежные стороны перпендикулярны ($AB \perp AD$), то по теореме о трех перпендикулярах наклонная $FA$ также перпендикулярна прямой $AD$ ($FA \perp AD$). Следовательно, искомое расстояние — это длина отрезка $FA$.
Рассмотрим прямоугольный треугольник $\triangle FBA$ (угол $\angle FBA = 90^\circ$). По теореме Пифагора:
$FA^2 = FB^2 + AB^2 = 8^2 + 4^2 = 64 + 16 = 80$
$FA = \sqrt{80} = \sqrt{16 \cdot 5} = 4\sqrt{5}$ дм.
Аналогично для прямой $CD$. Проекцией наклонной $FC$ на плоскость $(ABC)$ является сторона $BC$. Так как $BC \perp CD$, то по теореме о трех перпендикулярах $FC \perp CD$. Искомое расстояние — это длина отрезка $FC$. Из прямоугольного треугольника $\triangle FBC$ ($\angle FBC = 90^\circ$):
$FC^2 = FB^2 + BC^2 = 8^2 + 4^2 = 64 + 16 = 80$
$FC = \sqrt{80} = 4\sqrt{5}$ дм.
Ответ: Расстояние от точки $F$ до прямых $AD$ и $CD$ равно $4\sqrt{5}$ дм.
Расстояние от точки F до прямой AC
Для нахождения расстояния от точки $F$ до прямой $AC$ снова применим теорему о трех перпендикулярах. Сначала найдем расстояние от основания перпендикуляра (точки $B$) до прямой $AC$. В квадрате диагонали $AC$ и $BD$ взаимно перпендикулярны. Пусть $O$ — точка их пересечения. Тогда $BO$ — перпендикуляр, опущенный из точки $B$ на прямую $AC$.
Отрезок $BO$ является проекцией наклонной $FO$ на плоскость $(ABC)$. Так как проекция $BO$ перпендикулярна прямой $AC$, то и сама наклонная $FO$ перпендикулярна $AC$. Значит, искомое расстояние — это длина отрезка $FO$.
Найдем длину $BO$. Диагональ квадрата $BD = AB\sqrt{2} = 4\sqrt{2}$ дм. Точка $O$ делит диагональ пополам, поэтому $BO = \frac{1}{2}BD = \frac{1}{2}(4\sqrt{2}) = 2\sqrt{2}$ дм.
Теперь рассмотрим прямоугольный треугольник $\triangle FBO$ (угол $\angle FBO = 90^\circ$, так как $BF \perp BO$). По теореме Пифагора:
$FO^2 = FB^2 + BO^2 = 8^2 + (2\sqrt{2})^2 = 64 + 4 \cdot 2 = 64 + 8 = 72$
$FO = \sqrt{72} = \sqrt{36 \cdot 2} = 6\sqrt{2}$ дм.
Ответ: Расстояние от точки $F$ до прямой $AC$ равно $6\sqrt{2}$ дм.
Другие задания:
Помогло решение? Оставьте отзыв в комментариях ниже.
Присоединяйтесь к Телеграм-группе @top_gdz
ПрисоединитьсяМы подготовили для вас ответ c подробным объяснением домашего задания по геометрии за 10-11 класс, для упражнения номер 152 расположенного на странице 48 к учебнику 2019 года издания для учащихся школ и гимназий.
Теперь на нашем сайте ГДЗ.ТОП вы всегда легко и бесплатно найдёте условие с правильным ответом на вопрос «Как решить ДЗ» и «Как сделать» задание по геометрии к упражнению №152 (с. 48), авторов: Атанасян (Левон Сергеевич), Бутузов (Валентин Фёдорович), Кадомцев (Сергей Борисович), Позняк (Эдуард Генрихович), Киселёва (Людмила Сергеевна), ФГОС (старый) базовый и углублённый уровень обучения учебного пособия издательства Просвещение.
 
                     
                     
                     
                     
                     
                     
                     
                     
                     
                     
                     
                     
                     
                     
                     
                     
                     
                     
                     
                    