Страница 229 - гдз по алгебре 7 класс учебник Мерзляк, Полонский

Авторы: Мерзляк А. Г., Полонский В. Б., Якир М. С.
Тип: Учебник
Издательство: Просвещение, Вентана-граф
Год издания: 2016 - 2022
Цвет обложки:
ISBN: 978-5-360-07440-3
Рекомендовано Министерством образования и науки Российской Федерации
Популярные ГДЗ в 7 классе
Cтраница 229

№1160 (с. 229)
Условие. №1160 (с. 229)

Решение 1. №1160 (с. 229)

Решение 2. №1160 (с. 229)

Решение 3. №1160 (с. 229)

Решение 4. №1160 (с. 229)

Решение 5. №1160 (с. 229)

№1161 (с. 229)
Условие. №1161 (с. 229)

Решение 1. №1161 (с. 229)




Решение 2. №1161 (с. 229)

Решение 3. №1161 (с. 229)

Решение 4. №1161 (с. 229)

Решение 5. №1161 (с. 229)

№1162 (с. 229)
Условие. №1162 (с. 229)

Решение 1. №1162 (с. 229)


Решение 2. №1162 (с. 229)

Решение 3. №1162 (с. 229)

Решение 4. №1162 (с. 229)

Решение 5. №1162 (с. 229)

№1163 (с. 229)
Условие. №1163 (с. 229)

Решение 1. №1163 (с. 229)




Решение 2. №1163 (с. 229)

Решение 3. №1163 (с. 229)

Решение 4. №1163 (с. 229)

Решение 5. №1163 (с. 229)

№1164 (с. 229)
Условие. №1164 (с. 229)

Решение 1. №1164 (с. 229)



Решение 2. №1164 (с. 229)

Решение 3. №1164 (с. 229)

Решение 4. №1164 (с. 229)

Решение 5. №1164 (с. 229)

№1165 (с. 229)
Условие. №1165 (с. 229)

Решение 1. №1165 (с. 229)




Решение 2. №1165 (с. 229)

Решение 3. №1165 (с. 229)

Решение 4. №1165 (с. 229)

Решение 5. №1165 (с. 229)

№1166 (с. 229)
Условие. №1166 (с. 229)

Решение 1. №1166 (с. 229)

Решение 2. №1166 (с. 229)

Решение 3. №1166 (с. 229)

Решение 4. №1166 (с. 229)

Решение 5. №1166 (с. 229)

№1167 (с. 229)
Условие. №1167 (с. 229)

Решение 1. №1167 (с. 229)

Решение 2. №1167 (с. 229)

Решение 3. №1167 (с. 229)

Решение 4. №1167 (с. 229)

Решение 5. №1167 (с. 229)

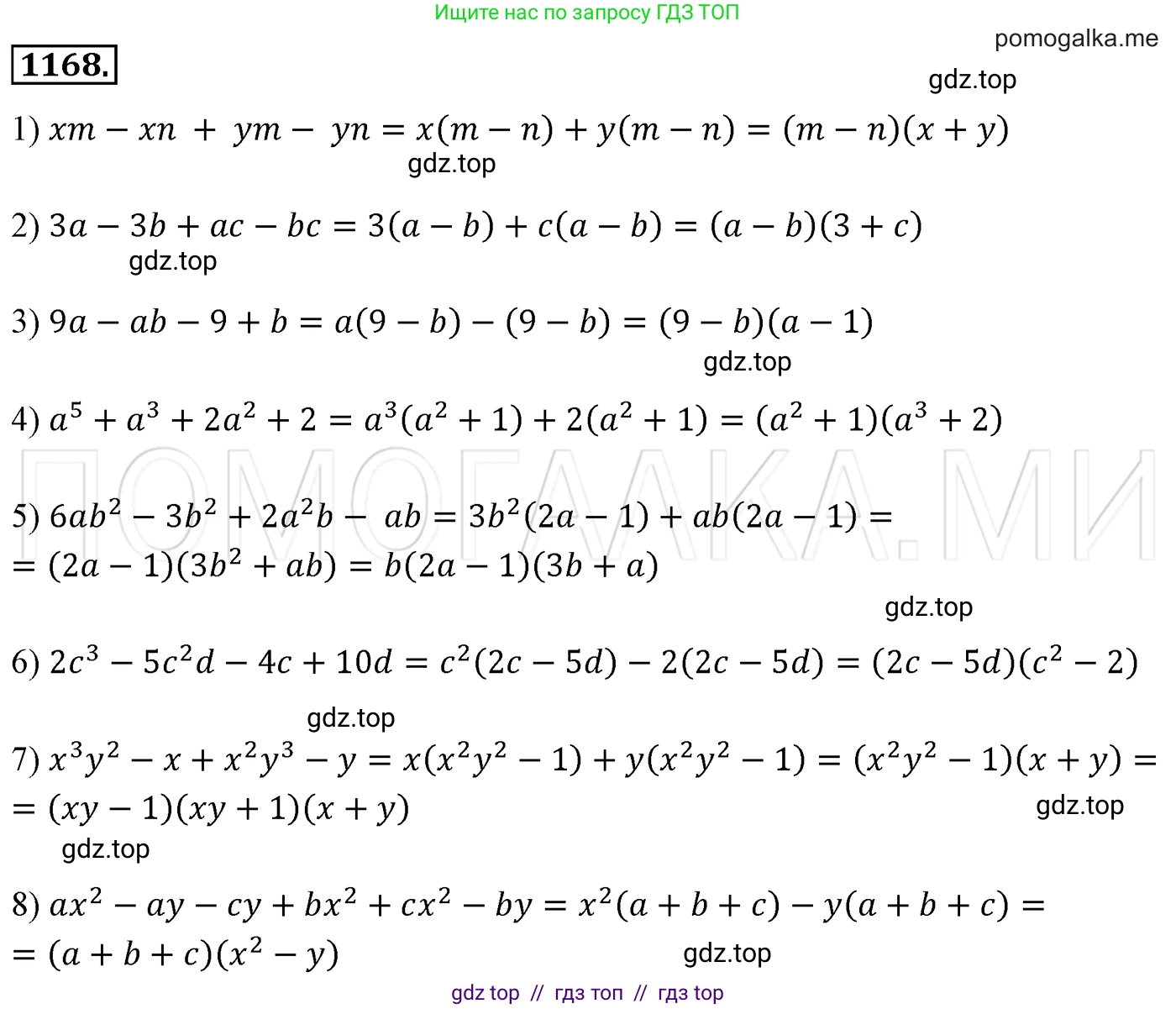
№1168 (с. 229)
Условие. №1168 (с. 229)

Решение 1. №1168 (с. 229)








Решение 2. №1168 (с. 229)

Решение 3. №1168 (с. 229)

Решение 4. №1168 (с. 229)

Решение 5. №1168 (с. 229)

№1169 (с. 229)
Условие. №1169 (с. 229)

Решение 1. №1169 (с. 229)


Решение 2. №1169 (с. 229)

Решение 3. №1169 (с. 229)

Решение 4. №1169 (с. 229)

Решение 5. №1169 (с. 229)

№1170 (с. 229)
Условие. №1170 (с. 229)

Решение 1. №1170 (с. 229)

Решение 2. №1170 (с. 229)

Решение 3. №1170 (с. 229)

Решение 4. №1170 (с. 229)

Решение 5. №1170 (с. 229)

Помогло решение? Оставьте отзыв в комментариях ниже.