Страница 289 - гдз по геометрии 7-9 класс учебник Атанасян, Бутузов

Авторы: Атанасян Л. С., Бутузов В. Ф., Кадомцев С. Б., Позняк Э. Г., Юдина И. И.
Тип: Учебник
Издательство: Просвещение
Год издания: 2023 - 2025
Уровень обучения: базовый
Цвет обложки: синий
ISBN: 978-5-09-102538-5 (2023), 978-5-09-111167-5 (2024)
Допущено Министерством просвещения Российской Федерации
Популярные ГДЗ в 7 классе
Cтраница 289

№1133 (с. 289)
Условие. №1133 (с. 289)
скриншот условия

1133 Вычислите скалярное произведение векторов a и b, если:
а) a {14; −1}, b {2; 3};
б) a {−5; 6}, b {6; 5};
в) a {1,5; 2}, b {4; −0,5}.
Решение 2. №1133 (с. 289)



Решение 3. №1133 (с. 289)

Решение 4. №1133 (с. 289)

Решение 7. №1133 (с. 289)

Решение 8. №1133 (с. 289)

Решение 9. №1133 (с. 289)

Решение 11. №1133 (с. 289)
Скалярное произведение двух векторов $\vec{a}\{x_1; y_1\}$ и $\vec{b}\{x_2; y_2\}$, заданных своими координатами на плоскости, вычисляется по формуле: $\vec{a} \cdot \vec{b} = x_1 x_2 + y_1 y_2$. Применим эту формулу для каждого случая.
а) Даны векторы $\vec{a}\{\frac{1}{4}; -1\}$ и $\vec{b}\{2; 3\}$.
Подставим их координаты в формулу и вычислим скалярное произведение:
$\vec{a} \cdot \vec{b} = \frac{1}{4} \cdot 2 + (-1) \cdot 3 = \frac{2}{4} - 3 = \frac{1}{2} - 3 = 0,5 - 3 = -2,5$.
Ответ: $-2,5$.
б) Даны векторы $\vec{a}\{-5; 6\}$ и $\vec{b}\{6; 5\}$.
Вычислим их скалярное произведение:
$\vec{a} \cdot \vec{b} = (-5) \cdot 6 + 6 \cdot 5 = -30 + 30 = 0$.
Ответ: $0$.
в) Даны векторы $\vec{a}\{1,5; 2\}$ и $\vec{b}\{4; -0,5\}$.
Вычислим их скалярное произведение:
$\vec{a} \cdot \vec{b} = 1,5 \cdot 4 + 2 \cdot (-0,5) = 6 - 1 = 5$.
Ответ: $5$.
№1134 (с. 289)
Условие. №1134 (с. 289)
скриншот условия

1134 Докажите, что ненулевые векторы а {x; у} и b {−у; x} перпендикулярны.
Решение 2. №1134 (с. 289)

Решение 3. №1134 (с. 289)

Решение 4. №1134 (с. 289)

Решение 6. №1134 (с. 289)

Решение 7. №1134 (с. 289)

Решение 8. №1134 (с. 289)

Решение 9. №1134 (с. 289)

Решение 11. №1134 (с. 289)
Для того чтобы доказать, что два ненулевых вектора перпендикулярны, необходимо и достаточно доказать, что их скалярное произведение равно нулю.
Даны два ненулевых вектора: $\vec{a}\{x; y\}$ и $\vec{b}\{-y; x\}$.
Найдем скалярное произведение этих векторов. Скалярное произведение векторов с координатами $(x_1; y_1)$ и $(x_2; y_2)$ вычисляется по формуле $x_1x_2 + y_1y_2$.
Применим эту формулу к нашим векторам:
$\vec{a} \cdot \vec{b} = x \cdot (-y) + y \cdot x$
Упростим выражение:
$x \cdot (-y) + y \cdot x = -xy + yx = 0$
Поскольку скалярное произведение векторов $\vec{a}$ и $\vec{b}$ равно нулю, а сами векторы по условию являются ненулевыми, это означает, что они перпендикулярны.
Ответ: Скалярное произведение векторов $\vec{a}\{x; y\}$ и $\vec{b}\{-y; x\}$ равно $\vec{a} \cdot \vec{b} = x(-y) + yx = -xy + xy = 0$. Так как скалярное произведение ненулевых векторов равно нулю, они перпендикулярны, что и требовалось доказать.
№1135 (с. 289)
Условие. №1135 (с. 289)
скриншот условия

1135 Докажите, что векторы i + j и i − j перпендикулярны, если i и j — координатные векторы.
Решение 2. №1135 (с. 289)

Решение 3. №1135 (с. 289)

Решение 4. №1135 (с. 289)

Решение 6. №1135 (с. 289)

Решение 7. №1135 (с. 289)

Решение 8. №1135 (с. 289)

Решение 9. №1135 (с. 289)

Решение 11. №1135 (с. 289)
Для того чтобы доказать, что два ненулевых вектора перпендикулярны, необходимо и достаточно доказать, что их скалярное произведение равно нулю.
Обозначим данные векторы как $\vec{a} = \vec{i} + \vec{j}$ и $\vec{b} = \vec{i} - \vec{j}$.
По условию, $\vec{i}$ и $\vec{j}$ — координатные векторы. Это означает, что они образуют ортонормированный базис, и для них справедливы следующие свойства:
1. Они взаимно перпендикулярны, следовательно, их скалярное произведение равно нулю: $\vec{i} \cdot \vec{j} = 0$.
2. Они являются единичными векторами (ортами), то есть их длины (модули) равны единице: $|\vec{i}| = 1$ и $|\vec{j}| = 1$.
Найдем скалярное произведение векторов $\vec{a}$ и $\vec{b}$, используя свойство дистрибутивности скалярного произведения (правило раскрытия скобок):
$\vec{a} \cdot \vec{b} = (\vec{i} + \vec{j}) \cdot (\vec{i} - \vec{j})$
Раскроем скобки:
$\vec{a} \cdot \vec{b} = \vec{i} \cdot \vec{i} - \vec{i} \cdot \vec{j} + \vec{j} \cdot \vec{i} - \vec{j} \cdot \vec{j}$
Зная, что скалярное произведение коммутативно ($\vec{j} \cdot \vec{i} = \vec{i} \cdot \vec{j}$), а также что скалярное произведение вектора на себя равно квадрату его модуля ($\vec{v} \cdot \vec{v} = |\vec{v}|^2$), мы можем упростить выражение. Выражение $\vec{i} \cdot \vec{j}$ и $\vec{j} \cdot \vec{i}$ в сумме дают ноль, так как $\vec{i} \cdot \vec{j} = 0$.
$\vec{a} \cdot \vec{b} = |\vec{i}|^2 - |\vec{j}|^2$
Теперь подставим значения модулей координатных векторов:
$|\vec{i}|^2 - |\vec{j}|^2 = 1^2 - 1^2 = 1 - 1 = 0$.
Поскольку скалярное произведение векторов равно нулю, они перпендикулярны.
Альтернативное решение (через координаты):
В декартовой системе координат на плоскости координатные векторы имеют следующие координаты: $\vec{i} = \{1; 0\}$ и $\vec{j} = \{0; 1\}$.
Найдем координаты векторов $\vec{a}$ и $\vec{b}$:
$\vec{a} = \vec{i} + \vec{j} = \{1; 0\} + \{0; 1\} = \{1+0; 0+1\} = \{1; 1\}$
$\vec{b} = \vec{i} - \vec{j} = \{1; 0\} - \{0; 1\} = \{1-0; 0-1\} = \{1; -1\}$
Скалярное произведение векторов в координатах $\vec{u}=\{x_1; y_1\}$ и $\vec{v}=\{x_2; y_2\}$ вычисляется по формуле $\vec{u} \cdot \vec{v} = x_1x_2 + y_1y_2$.
$\vec{a} \cdot \vec{b} = 1 \cdot 1 + 1 \cdot (-1) = 1 - 1 = 0$.
Результат также равен нулю, что подтверждает перпендикулярность векторов.
Ответ: Скалярное произведение векторов $(\vec{i} + \vec{j}) \cdot (\vec{i} - \vec{j})$ равно 0, следовательно, данные векторы перпендикулярны, что и требовалось доказать.
№1136 (с. 289)
Условие. №1136 (с. 289)
скриншот условия

1136 При каком значении x векторы a и b перпендикулярны, если:
а) а {4; 5}, b {x; −6}; б) а {x; −1}, b {3; 2}; в) a {0; −3}, b {5; x}?
Решение 2. №1136 (с. 289)



Решение 3. №1136 (с. 289)

Решение 4. №1136 (с. 289)

Решение 6. №1136 (с. 289)


Решение 7. №1136 (с. 289)

Решение 8. №1136 (с. 289)

Решение 9. №1136 (с. 289)

Решение 11. №1136 (с. 289)
Два ненулевых вектора $\vec{a}$ и $\vec{b}$ перпендикулярны тогда и только тогда, когда их скалярное произведение равно нулю. Скалярное произведение векторов с координатами $\vec{a}\{a_1; a_2\}$ и $\vec{b}\{b_1; b_2\}$ находится по формуле:
$\vec{a} \cdot \vec{b} = a_1 \cdot b_1 + a_2 \cdot b_2$
Следовательно, для перпендикулярности векторов должно выполняться условие:
$a_1 \cdot b_1 + a_2 \cdot b_2 = 0$
Применим это правило для решения каждого из подпунктов.
а)
Даны векторы $\vec{a}\{4; 5\}$ и $\vec{b}\{x; -6\}$. Чтобы векторы были перпендикулярны, их скалярное произведение должно быть равно нулю. Составим уравнение:
$4 \cdot x + 5 \cdot (-6) = 0$
$4x - 30 = 0$
$4x = 30$
$x = \frac{30}{4} = 7.5$
Ответ: $7.5$.
б)
Даны векторы $\vec{a}\{x; -1\}$ и $\vec{b}\{3; 2\}$. Составим уравнение, приравняв скалярное произведение к нулю:
$x \cdot 3 + (-1) \cdot 2 = 0$
$3x - 2 = 0$
$3x = 2$
$x = \frac{2}{3}$
Ответ: $\frac{2}{3}$.
в)
Даны векторы $\vec{a}\{0; -3\}$ и $\vec{b}\{5; x\}$. Составим уравнение для скалярного произведения:
$0 \cdot 5 + (-3) \cdot x = 0$
$0 - 3x = 0$
$-3x = 0$
$x = 0$
Ответ: $0$.
№1137 (с. 289)
Условие. №1137 (с. 289)
скриншот условия

1137 Найдите косинусы углов треугольника с вершинами A (2; 8), В (−1; 5), С (3; 1).
Решение 2. №1137 (с. 289)

Решение 3. №1137 (с. 289)

Решение 4. №1137 (с. 289)

Решение 6. №1137 (с. 289)

Решение 7. №1137 (с. 289)

Решение 8. №1137 (с. 289)


Решение 9. №1137 (с. 289)


Решение 11. №1137 (с. 289)
Для нахождения косинусов углов треугольника с заданными вершинами A(2; 8), B(-1; 5), C(3; 1) можно воспользоваться теоремой косинусов или скалярным произведением векторов. Второй способ часто является более прямым в координатной геометрии. Косинус угла между двумя векторами $\vec{u}$ и $\vec{v}$ определяется формулой:
$\cos \theta = \frac{\vec{u} \cdot \vec{v}}{|\vec{u}| \cdot |\vec{v}|}$
где $\vec{u} \cdot \vec{v}$ — скалярное произведение векторов, а $|\vec{u}|$ и $|\vec{v}|$ — их длины (модули).
Найдем векторы, образующие углы треугольника.
Угол A образован векторами $\vec{AB}$ и $\vec{AC}$.
1. Найдем координаты векторов:
$\vec{AB} = (x_B - x_A; y_B - y_A) = (-1 - 2; 5 - 8) = (-3; -3)$
$\vec{AC} = (x_C - x_A; y_C - y_A) = (3 - 2; 1 - 8) = (1; -7)$
2. Найдем длины (модули) этих векторов:
$|\vec{AB}| = \sqrt{(-3)^2 + (-3)^2} = \sqrt{9 + 9} = \sqrt{18} = 3\sqrt{2}$
$|\vec{AC}| = \sqrt{1^2 + (-7)^2} = \sqrt{1 + 49} = \sqrt{50} = 5\sqrt{2}$
3. Вычислим скалярное произведение векторов:
$\vec{AB} \cdot \vec{AC} = (-3) \cdot 1 + (-3) \cdot (-7) = -3 + 21 = 18$
4. Найдем косинус угла A:
$\cos A = \frac{\vec{AB} \cdot \vec{AC}}{|\vec{AB}| \cdot |\vec{AC}|} = \frac{18}{3\sqrt{2} \cdot 5\sqrt{2}} = \frac{18}{15 \cdot 2} = \frac{18}{30} = \frac{3}{5}$
Ответ: $\frac{3}{5}$.
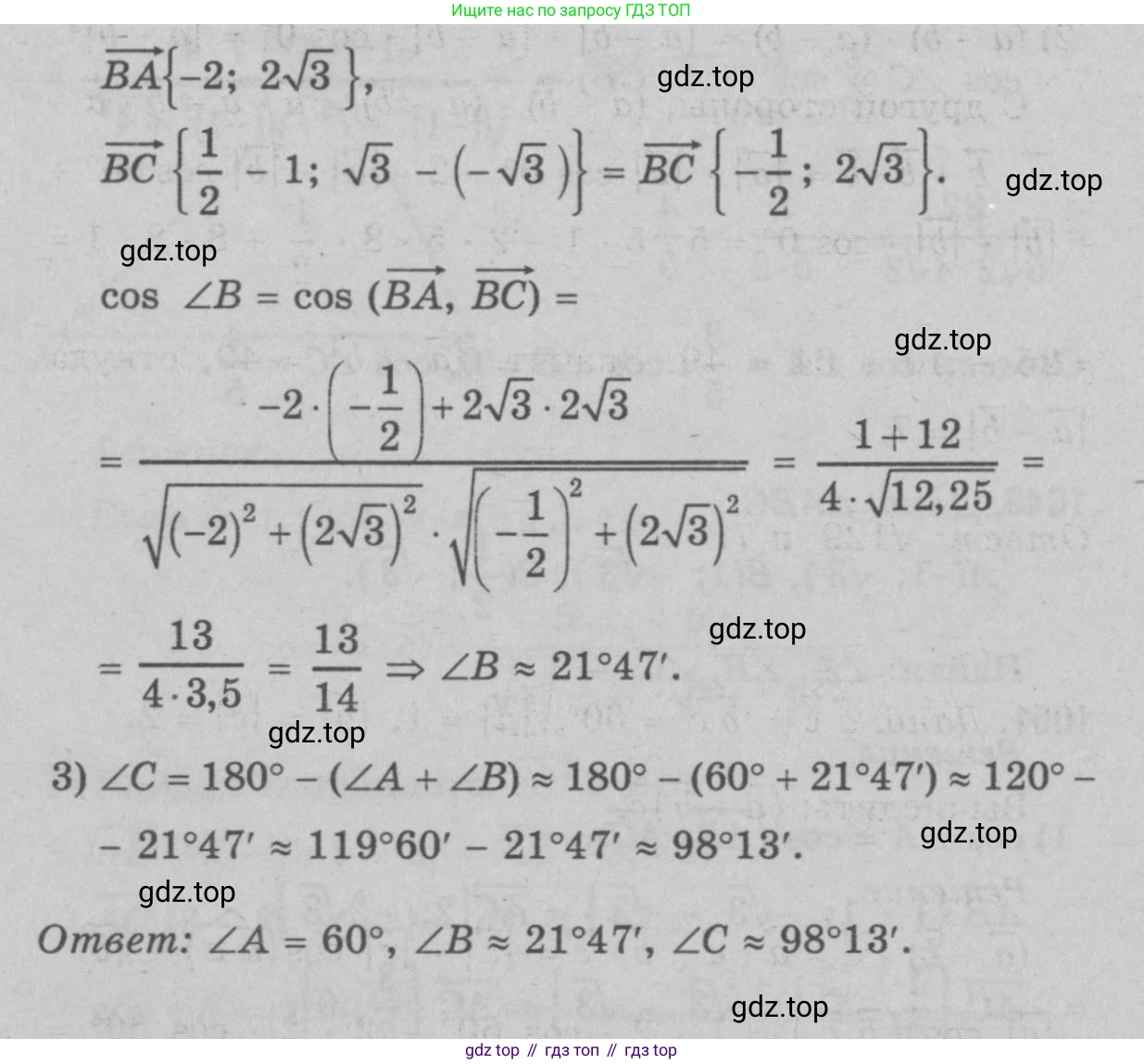
Угол B образован векторами $\vec{BA}$ и $\vec{BC}$.
1. Найдем координаты векторов:
$\vec{BA} = -\vec{AB} = -(-3; -3) = (3; 3)$
$\vec{BC} = (x_C - x_B; y_C - y_B) = (3 - (-1); 1 - 5) = (4; -4)$
2. Найдем длины векторов:
$|\vec{BA}| = |\vec{AB}| = 3\sqrt{2}$
$|\vec{BC}| = \sqrt{4^2 + (-4)^2} = \sqrt{16 + 16} = \sqrt{32} = 4\sqrt{2}$
3. Вычислим скалярное произведение векторов:
$\vec{BA} \cdot \vec{BC} = 3 \cdot 4 + 3 \cdot (-4) = 12 - 12 = 0$
4. Найдем косинус угла B:
$\cos B = \frac{\vec{BA} \cdot \vec{BC}}{|\vec{BA}| \cdot |\vec{BC}|} = \frac{0}{3\sqrt{2} \cdot 4\sqrt{2}} = 0$
Поскольку косинус угла равен нулю, угол B является прямым ($90^\circ$).
Ответ: $0$.
Угол C образован векторами $\vec{CA}$ и $\vec{CB}$.
1. Найдем координаты векторов:
$\vec{CA} = -\vec{AC} = -(1; -7) = (-1; 7)$
$\vec{CB} = -\vec{BC} = -(4; -4) = (-4; 4)$
2. Найдем длины векторов:
$|\vec{CA}| = |\vec{AC}| = 5\sqrt{2}$
$|\vec{CB}| = |\vec{BC}| = 4\sqrt{2}$
3. Вычислим скалярное произведение векторов:
$\vec{CA} \cdot \vec{CB} = (-1) \cdot (-4) + 7 \cdot 4 = 4 + 28 = 32$
4. Найдем косинус угла C:
$\cos C = \frac{\vec{CA} \cdot \vec{CB}}{|\vec{CA}| \cdot |\vec{CB}|} = \frac{32}{5\sqrt{2} \cdot 4\sqrt{2}} = \frac{32}{20 \cdot 2} = \frac{32}{40} = \frac{4}{5}$
Ответ: $\frac{4}{5}$.
№1138 (с. 289)
Условие. №1138 (с. 289)
скриншот условия

1138 Найдите углы треугольника с вершинами A(-1; 3), B(1; -3) и C12; 3.
Решение 2. №1138 (с. 289)

Решение 3. №1138 (с. 289)

Решение 4. №1138 (с. 289)

Решение 7. №1138 (с. 289)


Решение 8. №1138 (с. 289)

Решение 9. №1138 (с. 289)


Решение 11. №1138 (с. 289)
Для нахождения углов треугольника с заданными вершинами $A(-1; \sqrt{3})$, $B(1; -\sqrt{3})$ и $C(\frac{1}{2}; \sqrt{3})$, мы сначала вычислим длины его сторон, а затем применим теорему косинусов.
Длину отрезка между двумя точками $(x_1, y_1)$ и $(x_2, y_2)$ на плоскости находят по формуле $d = \sqrt{(x_2 - x_1)^2 + (y_2 - y_1)^2}$. Для удобства будем сначала вычислять квадраты длин сторон.
Квадрат длины стороны $AB$, лежащей напротив вершины $C$ (обозначим ее $c$):
$c^2 = |AB|^2 = (1 - (-1))^2 + (-\sqrt{3} - \sqrt{3})^2 = 2^2 + (-2\sqrt{3})^2 = 4 + 4 \cdot 3 = 16$.
Отсюда длина стороны $c = \sqrt{16} = 4$.
Квадрат длины стороны $BC$, лежащей напротив вершины $A$ (обозначим ее $a$):
$a^2 = |BC|^2 = (\frac{1}{2} - 1)^2 + (\sqrt{3} - (-\sqrt{3}))^2 = (-\frac{1}{2})^2 + (2\sqrt{3})^2 = \frac{1}{4} + 12 = \frac{1}{4} + \frac{48}{4} = \frac{49}{4}$.
Отсюда длина стороны $a = \sqrt{\frac{49}{4}} = \frac{7}{2}$.
Квадрат длины стороны $AC$, лежащей напротив вершины $B$ (обозначим ее $b$):
$b^2 = |AC|^2 = (\frac{1}{2} - (-1))^2 + (\sqrt{3} - \sqrt{3})^2 = (\frac{3}{2})^2 + 0^2 = \frac{9}{4}$.
Отсюда длина стороны $b = \sqrt{\frac{9}{4}} = \frac{3}{2}$.
Теперь, зная длины всех сторон ($a = \frac{7}{2}$, $b = \frac{3}{2}$, $c = 4$), найдем углы треугольника с помощью теоремы косинусов. Формула для косинуса угла $A$: $\cos(A) = \frac{b^2 + c^2 - a^2}{2bc}$.
Вычислим косинус угла $A$ при вершине $A$:
$\cos(A) = \frac{\frac{9}{4} + 16 - \frac{49}{4}}{2 \cdot \frac{3}{2} \cdot 4} = \frac{\frac{9 + 64 - 49}{4}}{12} = \frac{\frac{24}{4}}{12} = \frac{6}{12} = \frac{1}{2}$.
Следовательно, $\angle A = \arccos(\frac{1}{2}) = 60^\circ$.
Вычислим косинус угла $B$ при вершине $B$:
$\cos(B) = \frac{a^2 + c^2 - b^2}{2ac} = \frac{\frac{49}{4} + 16 - \frac{9}{4}}{2 \cdot \frac{7}{2} \cdot 4} = \frac{\frac{49 + 64 - 9}{4}}{28} = \frac{\frac{104}{4}}{28} = \frac{26}{28} = \frac{13}{14}$.
Следовательно, $\angle B = \arccos(\frac{13}{14})$.
Вычислим косинус угла $C$ при вершине $C$:
$\cos(C) = \frac{a^2 + b^2 - c^2}{2ab} = \frac{\frac{49}{4} + \frac{9}{4} - 16}{2 \cdot \frac{7}{2} \cdot \frac{3}{2}} = \frac{\frac{58 - 64}{4}}{\frac{21}{2}} = \frac{-\frac{6}{4}}{\frac{21}{2}} = \frac{-\frac{3}{2}}{\frac{21}{2}} = -\frac{3}{21} = -\frac{1}{7}$.
Следовательно, $\angle C = \arccos(-\frac{1}{7})$.
Ответ: $60^\circ$, $\arccos(\frac{13}{14})$, $\arccos(-\frac{1}{7})$.
№1139 (с. 289)
Условие. №1139 (с. 289)
скриншот условия

1139 Вычислите | a + b | и | a − b |, если | a | = 5, | b | = 8, аb︿ = 60°.
Решение 2. №1139 (с. 289)

Решение 3. №1139 (с. 289)


Решение 4. №1139 (с. 289)

Решение 7. №1139 (с. 289)

Решение 9. №1139 (с. 289)


Решение 11. №1139 (с. 289)
Для вычисления модулей суммы и разности векторов воспользуемся свойством скалярного произведения векторов: квадрат модуля вектора равен его скалярному квадрату. То есть, для любого вектора $\vec{c}$ справедливо равенство $|\vec{c}|^2 = \vec{c} \cdot \vec{c}$.
Также нам понадобится определение скалярного произведения через модули векторов и косинус угла между ними: $\vec{a} \cdot \vec{b} = |\vec{a}| \cdot |\vec{b}| \cdot \cos(\widehat{\vec{a}, \vec{b}})$.
Сначала вычислим скалярное произведение векторов $\vec{a}$ и $\vec{b}$, используя данные из условия: $|\vec{a}| = 5$, $|\vec{b}| = 8$ и угол $(\widehat{\vec{a}, \vec{b}}) = 60^\circ$.
$\vec{a} \cdot \vec{b} = 5 \cdot 8 \cdot \cos(60^\circ) = 40 \cdot \frac{1}{2} = 20$.
$|\vec{a} + \vec{b}|$
Чтобы найти модуль суммы векторов $|\vec{a} + \vec{b}|$, возведем его в квадрат. Используя формулу квадрата суммы и свойства скалярного произведения, получаем:
$|\vec{a} + \vec{b}|^2 = (\vec{a} + \vec{b}) \cdot (\vec{a} + \vec{b}) = \vec{a} \cdot \vec{a} + 2(\vec{a} \cdot \vec{b}) + \vec{b} \cdot \vec{b} = |\vec{a}|^2 + 2(\vec{a} \cdot \vec{b}) + |\vec{b}|^2$.
Теперь подставим известные значения в полученное выражение:
$|\vec{a} + \vec{b}|^2 = 5^2 + 2 \cdot 20 + 8^2 = 25 + 40 + 64 = 129$.
Следовательно, модуль суммы векторов равен корню из этого значения:
$|\vec{a} + \vec{b}| = \sqrt{129}$.
Ответ: $\sqrt{129}$.
$|\vec{a} - \vec{b}|$
Чтобы найти модуль разности векторов $|\vec{a} - \vec{b}|$, поступим аналогично, возведя его в квадрат:
$|\vec{a} - \vec{b}|^2 = (\vec{a} - \vec{b}) \cdot (\vec{a} - \vec{b}) = \vec{a} \cdot \vec{a} - 2(\vec{a} \cdot \vec{b}) + \vec{b} \cdot \vec{b} = |\vec{a}|^2 - 2(\vec{a} \cdot \vec{b}) + |\vec{b}|^2$.
Подставим известные значения:
$|\vec{a} - \vec{b}|^2 = 5^2 - 2 \cdot 20 + 8^2 = 25 - 40 + 64 = 49$.
Извлекая квадратный корень, находим модуль разности векторов:
$|\vec{a} - \vec{b}| = \sqrt{49} = 7$.
Ответ: $7$.
№1140 (с. 289)
Условие. №1140 (с. 289)
скриншот условия

1140 Известно, что ас︿ = bс︿ = 60°, | a | = 1, | b | = | c | = 2. Вычислите (a + b) ⋅ с.
Решение 2. №1140 (с. 289)

Решение 3. №1140 (с. 289)

Решение 4. №1140 (с. 289)

Решение 6. №1140 (с. 289)

Решение 7. №1140 (с. 289)

Решение 8. №1140 (с. 289)

Решение 9. №1140 (с. 289)

Решение 11. №1140 (с. 289)
Для решения задачи воспользуемся свойством дистрибутивности (распределительности) скалярного произведения относительно сложения векторов. Это свойство позволяет нам раскрыть скобки в выражении $(\vec{a} + \vec{b}) \cdot \vec{c}$:
$(\vec{a} + \vec{b}) \cdot \vec{c} = \vec{a} \cdot \vec{c} + \vec{b} \cdot \vec{c}$
Теперь нам нужно вычислить каждое из двух скалярных произведений: $\vec{a} \cdot \vec{c}$ и $\vec{b} \cdot \vec{c}$.
Скалярное произведение двух векторов определяется как произведение их модулей (длин) на косинус угла между ними. Формула имеет вид: $\vec{x} \cdot \vec{y} = |\vec{x}| |\vec{y}| \cos(\widehat{\vec{x}\vec{y}})$.
Из условия задачи нам известны следующие данные:
- $|\vec{a}| = 1$
- $|\vec{b}| = 2$
- $|\vec{c}| = 2$
- Угол между векторами $\vec{a}$ и $\vec{c}$ равен $60^\circ$ ($\widehat{\vec{a}\vec{c}}=60^\circ$).
- Угол между векторами $\vec{b}$ и $\vec{c}$ равен $60^\circ$ ($\widehat{\vec{b}\vec{c}}=60^\circ$).
Значение косинуса $60^\circ$ равно $\frac{1}{2}$.
Вычислим $\vec{a} \cdot \vec{c}$:
Подставляем известные значения в формулу скалярного произведения:
$\vec{a} \cdot \vec{c} = |\vec{a}| \cdot |\vec{c}| \cdot \cos(\widehat{\vec{a}\vec{c}}) = 1 \cdot 2 \cdot \cos(60^\circ) = 1 \cdot 2 \cdot \frac{1}{2} = 1$
Вычислим $\vec{b} \cdot \vec{c}$:
Аналогично подставляем значения для векторов $\vec{b}$ и $\vec{c}$:
$\vec{b} \cdot \vec{c} = |\vec{b}| \cdot |\vec{c}| \cdot \cos(\widehat{\vec{b}\vec{c}}) = 2 \cdot 2 \cdot \cos(60^\circ) = 2 \cdot 2 \cdot \frac{1}{2} = 2$
Найдем итоговое значение:
Теперь сложим полученные результаты, чтобы найти значение исходного выражения:
$(\vec{a} + \vec{b}) \cdot \vec{c} = \vec{a} \cdot \vec{c} + \vec{b} \cdot \vec{c} = 1 + 2 = 3$
Ответ: 3
№1141 (с. 289)
Условие. №1141 (с. 289)
скриншот условия

1141 Вычислите скалярное произведение векторов p = a − b − с и q = a − b + с, если | a | = 5, | b | = 2, | с | = 4 и a ⊥ b.
Решение 2. №1141 (с. 289)

Решение 3. №1141 (с. 289)

Решение 4. №1141 (с. 289)

Решение 6. №1141 (с. 289)

Решение 7. №1141 (с. 289)

Решение 9. №1141 (с. 289)


Решение 11. №1141 (с. 289)
Для вычисления скалярного произведения векторов $\vec{p}$ и $\vec{q}$ необходимо найти произведение $(\vec{a} - \vec{b} - \vec{c}) \cdot (\vec{a} - \vec{b} + \vec{c})$.
Воспользуемся свойствами скалярного произведения. Заметим, что выражение можно сгруппировать и применить формулу разности квадратов: $(X - Y) \cdot (X + Y) = X^2 - Y^2$. Пусть $X = (\vec{a} - \vec{b})$ и $Y = \vec{c}$.
$\vec{p} \cdot \vec{q} = ((\vec{a} - \vec{b}) - \vec{c}) \cdot ((\vec{a} - \vec{b}) + \vec{c}) = (\vec{a} - \vec{b})^2 - \vec{c}^2$
Скалярный квадрат вектора равен квадрату его модуля: $\vec{v}^2 = \vec{v} \cdot \vec{v} = |\vec{v}|^2$. Таким образом, получаем:
$\vec{p} \cdot \vec{q} = |\vec{a} - \vec{b}|^2 - |\vec{c}|^2$
Теперь раскроем квадрат модуля разности векторов $|\vec{a} - \vec{b}|^2$:
$|\vec{a} - \vec{b}|^2 = (\vec{a} - \vec{b}) \cdot (\vec{a} - \vec{b}) = \vec{a} \cdot \vec{a} - 2(\vec{a} \cdot \vec{b}) + \vec{b} \cdot \vec{b} = |\vec{a}|^2 - 2(\vec{a} \cdot \vec{b}) + |\vec{b}|^2$
По условию задачи нам даны модули векторов:
$|\vec{a}| = 5$
$|\vec{b}| = 2$
$|\vec{c}| = 4$
Также известно, что векторы $\vec{a}$ и $\vec{b}$ перпендикулярны ($\vec{a} \perp \vec{b}$). Скалярное произведение перпендикулярных векторов равно нулю:
$\vec{a} \cdot \vec{b} = 0$
Теперь подставим все известные значения в наши выражения.
Сначала вычислим $|\vec{a} - \vec{b}|^2$:
$|\vec{a} - \vec{b}|^2 = |\vec{a}|^2 - 2(\vec{a} \cdot \vec{b}) + |\vec{b}|^2 = 5^2 - 2(0) + 2^2 = 25 - 0 + 4 = 29$
Теперь вычислим итоговое скалярное произведение $\vec{p} \cdot \vec{q}$:
$\vec{p} \cdot \vec{q} = |\vec{a} - \vec{b}|^2 - |\vec{c}|^2 = 29 - 4^2 = 29 - 16 = 13$
Ответ: 13
№1142 (с. 289)
Условие. №1142 (с. 289)
скриншот условия

1142 Вычислите скалярное произведение векторов a и b, если a = 3p − 2q и b = p + 4q, где p и q — единичные взаимно перпендикулярные векторы.
Решение 2. №1142 (с. 289)

Решение 3. №1142 (с. 289)

Решение 4. №1142 (с. 289)

Решение 7. №1142 (с. 289)

Решение 8. №1142 (с. 289)

Решение 9. №1142 (с. 289)

Решение 11. №1142 (с. 289)
Для вычисления скалярного произведения векторов $\vec{a}$ и $\vec{b}$ необходимо использовать их выражения через векторы $\vec{p}$ и $\vec{q}$, а также свойства этих векторов, указанные в условии.
По условию, векторы $\vec{p}$ и $\vec{q}$ — единичные. Это значит, что их длины (модули) равны 1. Скалярное произведение вектора на самого себя (скалярный квадрат) равно квадрату его длины, поэтому: $|\vec{p}| = 1 \implies \vec{p} \cdot \vec{p} = |\vec{p}|^2 = 1^2 = 1$ $|\vec{q}| = 1 \implies \vec{q} \cdot \vec{q} = |\vec{q}|^2 = 1^2 = 1$
Также по условию, векторы $\vec{p}$ и $\vec{q}$ взаимно перпендикулярны. Скалярное произведение перпендикулярных векторов всегда равно нулю: $\vec{p} \perp \vec{q} \implies \vec{p} \cdot \vec{q} = 0$. Поскольку скалярное произведение коммутативно (то есть $\vec{x} \cdot \vec{y} = \vec{y} \cdot \vec{x}$), то и $\vec{q} \cdot \vec{p} = 0$.
Теперь найдём скалярное произведение векторов $\vec{a}$ и $\vec{b}$, подставив их выражения: $\vec{a} \cdot \vec{b} = (3\vec{p} - 2\vec{q}) \cdot (\vec{p} + 4\vec{q})$
Используя свойство дистрибутивности скалярного произведения (раскрывая скобки как произведение многочленов), получаем: $\vec{a} \cdot \vec{b} = (3\vec{p}) \cdot \vec{p} + (3\vec{p}) \cdot (4\vec{q}) - (2\vec{q}) \cdot \vec{p} - (2\vec{q}) \cdot (4\vec{q})$
Вынесем скалярные множители за знак произведения: $\vec{a} \cdot \vec{b} = 3(\vec{p} \cdot \vec{p}) + 12(\vec{p} \cdot \vec{q}) - 2(\vec{q} \cdot \vec{p}) - 8(\vec{q} \cdot \vec{q})$
Подставим ранее определённые значения для скалярных произведений $\vec{p} \cdot \vec{p}$, $\vec{q} \cdot \vec{q}$ и $\vec{p} \cdot \vec{q}$: $\vec{a} \cdot \vec{b} = 3(1) + 12(0) - 2(0) - 8(1)$
Выполним арифметические действия: $\vec{a} \cdot \vec{b} = 3 + 0 - 0 - 8 = -5$
Ответ: -5
№1143 (с. 289)
Условие. №1143 (с. 289)
скриншот условия


1143 Докажите, что если AM — медиана треугольника ABC, то 4AM² = AB² + AC² + 2AB ⋅ AC ⋅ cos А. Пользуясь этой формулой, докажите, что медианы равнобедренного треугольника, проведённые к боковым сторонам, равны.
Решение
Точка M — середина отрезка ВС, поэтому 2AM = AB + AC. Отсюда получаем
= AB ⋅ AB + 2AB ⋅ AC + AC ⋅ AC =
= AB² + 2AB ⋅ AC ⋅ cos А + AC²,
или 4AM² = AB² + AC² + 2AB ⋅ AC ⋅ cos А.
Второе утверждение задачи докажите самостоятельно.
Решение 3. №1143 (с. 289)

Решение 4. №1143 (с. 289)

Решение 9. №1143 (с. 289)

Решение 11. №1143 (с. 289)
Доказательство формулы $4AM^2 = AB^2 + AC^2 + 2AB \cdot AC \cdot \cos A$
Рассмотрим треугольник $ABC$, где $AM$ — медиана. По определению медианы, точка $M$ является серединой стороны $BC$.
В векторной алгебре для медианы треугольника справедливо следующее равенство: вектор медианы, проведенный из вершины, равен полусумме векторов, выходящих из той же вершины и образующих стороны треугольника. Для медианы $AM$ это выглядит так:
$\vec{AM} = \frac{1}{2}(\vec{AB} + \vec{AC})$
Домножим обе части равенства на 2, чтобы избавиться от дроби:
$2\vec{AM} = \vec{AB} + \vec{AC}$
Для нахождения квадрата длины медианы $AM$ необходимо найти скалярный квадрат вектора $2\vec{AM}$. Скалярный квадрат вектора — это скалярное произведение вектора на самого себя. Возведем обе части векторного равенства в скалярный квадрат:
$(2\vec{AM}) \cdot (2\vec{AM}) = (\vec{AB} + \vec{AC}) \cdot (\vec{AB} + \vec{AC})$
Рассмотрим левую часть равенства. Скалярный квадрат вектора равен квадрату его длины: $(2\vec{AM}) \cdot (2\vec{AM}) = 4(\vec{AM} \cdot \vec{AM}) = 4|\vec{AM}|^2 = 4AM^2$.
Рассмотрим правую часть равенства, раскрыв скобки по правилу скалярного умножения векторов:
$(\vec{AB} + \vec{AC}) \cdot (\vec{AB} + \vec{AC}) = \vec{AB} \cdot \vec{AB} + 2(\vec{AB} \cdot \vec{AC}) + \vec{AC} \cdot \vec{AC}$
Используя свойство скалярного квадрата ($\vec{v} \cdot \vec{v} = |\vec{v}|^2$) и определение скалярного произведения ($\vec{a} \cdot \vec{b} = |\vec{a}| \cdot |\vec{b}| \cdot \cos \alpha$), преобразуем правую часть:
$\vec{AB} \cdot \vec{AB} = AB^2$
$\vec{AC} \cdot \vec{AC} = AC^2$
$\vec{AB} \cdot \vec{AC} = AB \cdot AC \cdot \cos(\angle BAC) = AB \cdot AC \cdot \cos A$
Подставим полученные выражения обратно в правую часть:
$AB^2 + 2AB \cdot AC \cdot \cos A + AC^2$
Приравнивая левую и правую части, получаем искомую формулу:
$4AM^2 = AB^2 + AC^2 + 2AB \cdot AC \cdot \cos A$
Формула доказана.
Ответ: Утверждение, что если $AM$ — медиана треугольника $ABC$, то $4AM^2 = AB^2 + AC^2 + 2AB \cdot AC \cdot \cos A$, доказано.
Доказательство того, что медианы равнобедренного треугольника, проведённые к боковым сторонам, равны
Пусть дан равнобедренный треугольник $ABC$, в котором боковые стороны равны, то есть $AB = AC$. Пусть $BC$ — основание.
Проведем медиану $BN$ к боковой стороне $AC$ и медиану $CL$ к боковой стороне $AB$. Необходимо доказать, что их длины равны, то есть $BN = CL$.
Для доказательства воспользуемся выведенной выше формулой. Эта формула позволяет найти длину медианы, проведенной из одной вершины, зная длины двух сторон, выходящих из этой вершины, и косинус угла между ними.
1. Найдем длину медианы $BN$, проведенной из вершины $B$. Стороны, выходящие из этой вершины, — $BA$ и $BC$. Угол между ними — $\angle B$. Применяем формулу:
$4BN^2 = BA^2 + BC^2 + 2 \cdot BA \cdot BC \cdot \cos B$
2. Найдем длину медианы $CL$, проведенной из вершины $C$. Стороны, выходящие из этой вершины, — $CA$ и $CB$. Угол между ними — $\angle C$. Применяем формулу:
$4CL^2 = CA^2 + CB^2 + 2 \cdot CA \cdot CB \cdot \cos C$
3. Сравним полученные выражения для $4BN^2$ и $4CL^2$. В равнобедренном треугольнике $ABC$ с основанием $BC$:
- Боковые стороны равны: $BA = CA$.
- Углы при основании равны: $\angle B = \angle C$. Следовательно, $\cos B = \cos C$.
- Сторона $BC$ равна стороне $CB$ (это одна и та же сторона).
Учитывая эти свойства, мы видим, что правые части выражений для $4BN^2$ и $4CL^2$ идентичны:
$BA^2 + BC^2 + 2 \cdot BA \cdot BC \cdot \cos B = CA^2 + CB^2 + 2 \cdot CA \cdot CB \cdot \cos C$
Следовательно, равны и левые части:
$4BN^2 = 4CL^2$
Разделим обе части на 4:
$BN^2 = CL^2$
Так как длина отрезка — величина положительная, из равенства квадратов длин следует равенство самих длин:
$BN = CL$
Таким образом, доказано, что медианы, проведённые к боковым сторонам равнобедренного треугольника, равны.
Ответ: Доказано, что медианы равнобедренного треугольника, проведённые к боковым сторонам, равны.
Помогло решение? Оставьте отзыв в комментариях ниже.