Страница 292 - гдз по геометрии 7-9 класс учебник Атанасян, Бутузов

Авторы: Атанасян Л. С., Бутузов В. Ф., Кадомцев С. Б., Позняк Э. Г., Юдина И. И.
Тип: Учебник
Издательство: Просвещение
Год издания: 2023 - 2025
Уровень обучения: базовый
Цвет обложки: синий
ISBN: 978-5-09-102538-5 (2023), 978-5-09-111167-5 (2024)
Допущено Министерством просвещения Российской Федерации
Популярные ГДЗ в 7 классе
Cтраница 292

№1149 (с. 292)
Условие. №1149 (с. 292)
скриншот условия

1149 Используя теорему синусов, решите треугольник ABC, если:
а) AB = 8 см, ∠А = 30°, ∠B = 45°;
б) AB = 5 см, ∠B = 45°, ∠C = 60°;
в) AB = 3 см, ВС = 3,3 см, ∠А = 48°30′;
г) AC = 10,4 см, ВС = 5,2 см, ∠B = 62°48′.
Решение 2. №1149 (с. 292)




Решение 3. №1149 (с. 292)


Решение 4. №1149 (с. 292)

Решение 6. №1149 (с. 292)


Решение 7. №1149 (с. 292)


Решение 8. №1149 (с. 292)


Решение 9. №1149 (с. 292)


Решение 11. №1149 (с. 292)
а)
Дано: треугольник $ABC$, сторона $AB = c = 8$ см, $\angle A = 30^\circ$, $\angle B = 45^\circ$.
Решение:
1. Найдем третий угол $\angle C$. Сумма углов в треугольнике равна $180^\circ$, поэтому:
$\angle C = 180^\circ - (\angle A + \angle B) = 180^\circ - (30^\circ + 45^\circ) = 180^\circ - 75^\circ = 105^\circ$.
2. Используем теорему синусов для нахождения сторон $AC$ (сторона $b$) и $BC$ (сторона $a$):
$\frac{a}{\sin A} = \frac{b}{\sin B} = \frac{c}{\sin C}$
$\frac{BC}{\sin 30^\circ} = \frac{AC}{\sin 45^\circ} = \frac{8}{\sin 105^\circ}$
3. Найдем сторону $BC$:
$BC = \frac{8 \cdot \sin 30^\circ}{\sin 105^\circ}$. Используем значения синусов: $\sin 30^\circ = 0.5$ и $\sin 105^\circ \approx 0.966$.
$BC \approx \frac{8 \cdot 0.5}{0.966} = \frac{4}{0.966} \approx 4.14$ см.
4. Найдем сторону $AC$:
$AC = \frac{8 \cdot \sin 45^\circ}{\sin 105^\circ}$. Используем значения синусов: $\sin 45^\circ \approx 0.707$ и $\sin 105^\circ \approx 0.966$.
$AC \approx \frac{8 \cdot 0.707}{0.966} \approx \frac{5.656}{0.966} \approx 5.86$ см.
Ответ: $\angle C = 105^\circ$, $BC \approx 4.14$ см, $AC \approx 5.86$ см.
б)
Дано: треугольник $ABC$, сторона $AB = c = 5$ см, $\angle B = 45^\circ$, $\angle C = 60^\circ$.
Решение:
1. Найдем третий угол $\angle A$:
$\angle A = 180^\circ - (\angle B + \angle C) = 180^\circ - (45^\circ + 60^\circ) = 180^\circ - 105^\circ = 75^\circ$.
2. Используем теорему синусов:
$\frac{BC}{\sin A} = \frac{AC}{\sin B} = \frac{AB}{\sin C}$
$\frac{BC}{\sin 75^\circ} = \frac{AC}{\sin 45^\circ} = \frac{5}{\sin 60^\circ}$
3. Найдем сторону $BC$ (сторона $a$):
$BC = \frac{5 \cdot \sin 75^\circ}{\sin 60^\circ}$. Используем значения: $\sin 75^\circ \approx 0.966$ и $\sin 60^\circ = \frac{\sqrt{3}}{2} \approx 0.866$.
$BC \approx \frac{5 \cdot 0.966}{0.866} = \frac{4.83}{0.866} \approx 5.58$ см.
4. Найдем сторону $AC$ (сторона $b$):
$AC = \frac{5 \cdot \sin 45^\circ}{\sin 60^\circ}$. Используем значения: $\sin 45^\circ = \frac{\sqrt{2}}{2} \approx 0.707$ и $\sin 60^\circ \approx 0.866$.
$AC \approx \frac{5 \cdot 0.707}{0.866} = \frac{3.535}{0.866} \approx 4.08$ см.
Ответ: $\angle A = 75^\circ$, $BC \approx 5.58$ см, $AC \approx 4.08$ см.
в)
Дано: треугольник $ABC$, сторона $AB = c = 3$ см, $BC = a = 3.3$ см, $\angle A = 48^\circ 30'$.
Решение:
1. Преобразуем градусы и минуты в десятичные градусы: $\angle A = 48^\circ 30' = 48.5^\circ$.
2. Используем теорему синусов для нахождения $\angle C$:
$\frac{BC}{\sin A} = \frac{AB}{\sin C}$
$\frac{3.3}{\sin 48.5^\circ} = \frac{3}{\sin C}$
$\sin C = \frac{3 \cdot \sin 48.5^\circ}{3.3}$. Используем значение $\sin 48.5^\circ \approx 0.749$.
$\sin C \approx \frac{3 \cdot 0.749}{3.3} \approx 0.681$.
Отсюда $\angle C = \arcsin(0.681) \approx 42.92^\circ$. Вторая возможная величина угла $180^\circ - 42.92^\circ = 137.08^\circ$. Проверим, возможен ли второй случай: $\angle A + \angle C_2 = 48.5^\circ + 137.08^\circ = 185.58^\circ > 180^\circ$. Этот случай невозможен, значит, решение единственное.
Преобразуем $\angle C \approx 42.92^\circ$ в градусы и минуты: $0.92^\circ \cdot 60 \approx 55'$. Таким образом, $\angle C \approx 42^\circ 55'$.
3. Найдем третий угол $\angle B$:
$\angle B = 180^\circ - (\angle A + \angle C) \approx 180^\circ - (48^\circ 30' + 42^\circ 55') = 180^\circ - 91^\circ 25' = 88^\circ 35'$.
4. Найдем сторону $AC$ (сторона $b$) по теореме синусов:
$\frac{AC}{\sin B} = \frac{BC}{\sin A}$
$AC = \frac{BC \cdot \sin B}{\sin A} \approx \frac{3.3 \cdot \sin 88.58^\circ}{\sin 48.5^\circ} \approx \frac{3.3 \cdot 0.9997}{0.749} \approx 4.41$ см.
Ответ: $\angle C \approx 42^\circ 55'$, $\angle B \approx 88^\circ 35'$, $AC \approx 4.41$ см.
г)
Дано: треугольник $ABC$, сторона $AC = b = 10.4$ см, $BC = a = 5.2$ см, $\angle B = 62^\circ 48'$.
Решение:
1. Преобразуем градусы и минуты в десятичные градусы: $\angle B = 62^\circ 48' = 62.8^\circ$.
2. Используем теорему синусов для нахождения $\angle A$:
$\frac{BC}{\sin A} = \frac{AC}{\sin B}$
$\frac{5.2}{\sin A} = \frac{10.4}{\sin 62.8^\circ}$
$\sin A = \frac{5.2 \cdot \sin 62.8^\circ}{10.4} = \frac{1}{2}\sin 62.8^\circ$. Используем значение $\sin 62.8^\circ \approx 0.8894$.
$\sin A \approx 0.5 \cdot 0.8894 = 0.4447$.
Отсюда $\angle A = \arcsin(0.4447) \approx 26.4^\circ$. Вторая возможная величина угла $180^\circ - 26.4^\circ = 153.6^\circ$. Проверим, возможен ли второй случай: $\angle B + \angle A_2 = 62.8^\circ + 153.6^\circ = 216.4^\circ > 180^\circ$. Этот случай невозможен, значит, решение единственное.
Преобразуем $\angle A \approx 26.4^\circ$ в градусы и минуты: $0.4 \cdot 60' = 24'$. Таким образом, $\angle A \approx 26^\circ 24'$.
3. Найдем третий угол $\angle C$:
$\angle C = 180^\circ - (\angle A + \angle B) \approx 180^\circ - (26^\circ 24' + 62^\circ 48') = 180^\circ - 89^\circ 12' = 90^\circ 48'$.
4. Найдем сторону $AB$ (сторона $c$) по теореме синусов:
$\frac{AB}{\sin C} = \frac{AC}{\sin B}$
$AB = \frac{AC \cdot \sin C}{\sin B} \approx \frac{10.4 \cdot \sin 90.8^\circ}{\sin 62.8^\circ} \approx \frac{10.4 \cdot 0.9999}{0.8894} \approx 11.69$ см.
Ответ: $\angle A \approx 26^\circ 24'$, $\angle C \approx 90^\circ 48'$, $AB \approx 11.69$ см.
№1150 (с. 292)
Условие. №1150 (с. 292)
скриншот условия

1150 Используя теорему косинусов, решите треугольник ABC, если:
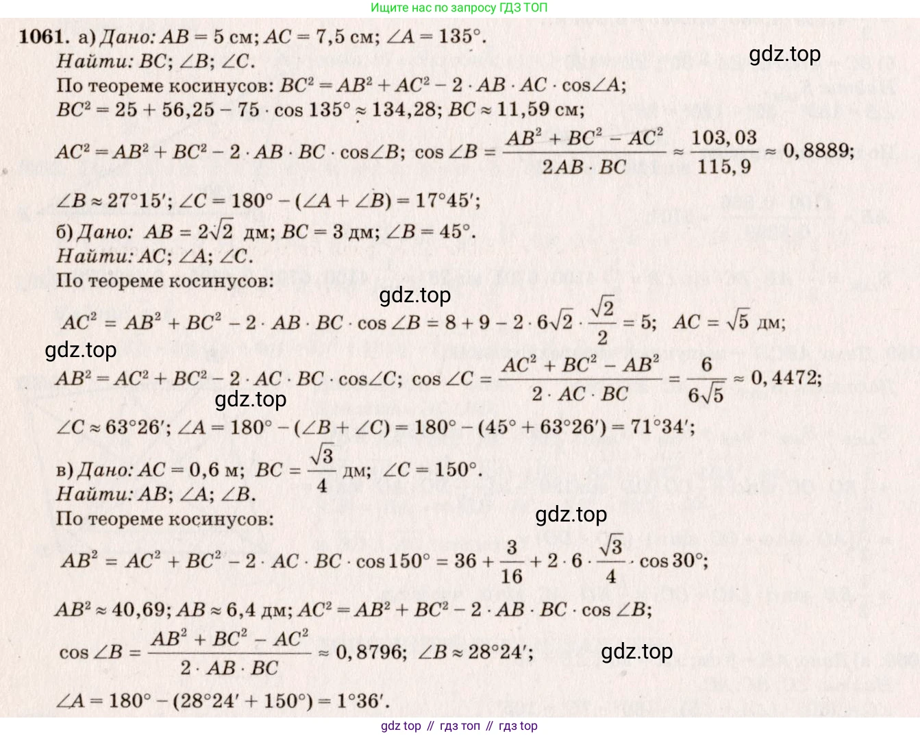
а) AB = 5 см, AC = 7,5 см, ∠А = 135°;
б) AB = 22 дм, ВС = 3 дм, ∠B = 45°;
в) AC = 0,6 м, BC = 34 дм, ∠C = 150°.
Решение 2. №1150 (с. 292)



Решение 3. №1150 (с. 292)

Решение 4. №1150 (с. 292)

Решение 6. №1150 (с. 292)


Решение 7. №1150 (с. 292)

Решение 8. №1150 (с. 292)

Решение 9. №1150 (с. 292)



Решение 11. №1150 (с. 292)
Решение треугольника означает нахождение всех его неизвестных сторон и углов. Для этого будем использовать теорему косинусов.
Теорема косинусов: квадрат стороны треугольника равен сумме квадратов двух других сторон минус удвоенное произведение этих сторон на косинус угла между ними. Например, для стороны $a$, противолежащей углу $A$: $a^2 = b^2 + c^2 - 2bc \cos A$.
Из этой теоремы также можно выразить косинус угла: $\cos A = \frac{b^2 + c^2 - a^2}{2bc}$.
а) Дано: $AB = 5$ см, $AC = 7,5$ см, $\angle A = 135^\circ$.
Обозначим стороны: $c = AB = 5$ см, $b = AC = 7,5$ см. Найти нужно сторону $a = BC$ и углы $\angle B$ и $\angle C$.
1. Находим сторону BC (a) по теореме косинусов:
$a^2 = b^2 + c^2 - 2bc \cos A$
$BC^2 = (7,5)^2 + 5^2 - 2 \cdot 7,5 \cdot 5 \cdot \cos 135^\circ$
Так как $\cos 135^\circ = \cos(180^\circ - 45^\circ) = -\cos 45^\circ = -\frac{\sqrt{2}}{2}$, получаем:
$BC^2 = 56,25 + 25 - 75 \cdot (-\frac{\sqrt{2}}{2}) = 81,25 + 37,5\sqrt{2}$
$BC = \sqrt{81,25 + 37,5\sqrt{2}} \approx \sqrt{81,25 + 37,5 \cdot 1,414} = \sqrt{134,275} \approx 11,59$ см.
2. Находим угол B по теореме косинусов:
$\cos B = \frac{AB^2 + BC^2 - AC^2}{2 \cdot AB \cdot BC} = \frac{c^2 + a^2 - b^2}{2ca}$
$\cos B = \frac{5^2 + (81,25 + 37,5\sqrt{2}) - (7,5)^2}{2 \cdot 5 \cdot \sqrt{81,25 + 37,5\sqrt{2}}} = \frac{25 + 81,25 + 37,5\sqrt{2} - 56,25}{10\sqrt{81,25 + 37,5\sqrt{2}}} = \frac{50 + 37,5\sqrt{2}}{10\sqrt{81,25 + 37,5\sqrt{2}}}$
$\cos B \approx \frac{50 + 53,03}{10 \cdot 11,59} \approx \frac{103,03}{115,9} \approx 0,889$
$\angle B = \arccos(0,889) \approx 27,2^\circ$.
3. Находим угол C, используя свойство суммы углов треугольника:
$\angle C = 180^\circ - \angle A - \angle B \approx 180^\circ - 135^\circ - 27,2^\circ = 17,8^\circ$.
Ответ: $BC \approx 11,59$ см, $\angle B \approx 27,2^\circ$, $\angle C \approx 17,8^\circ$.
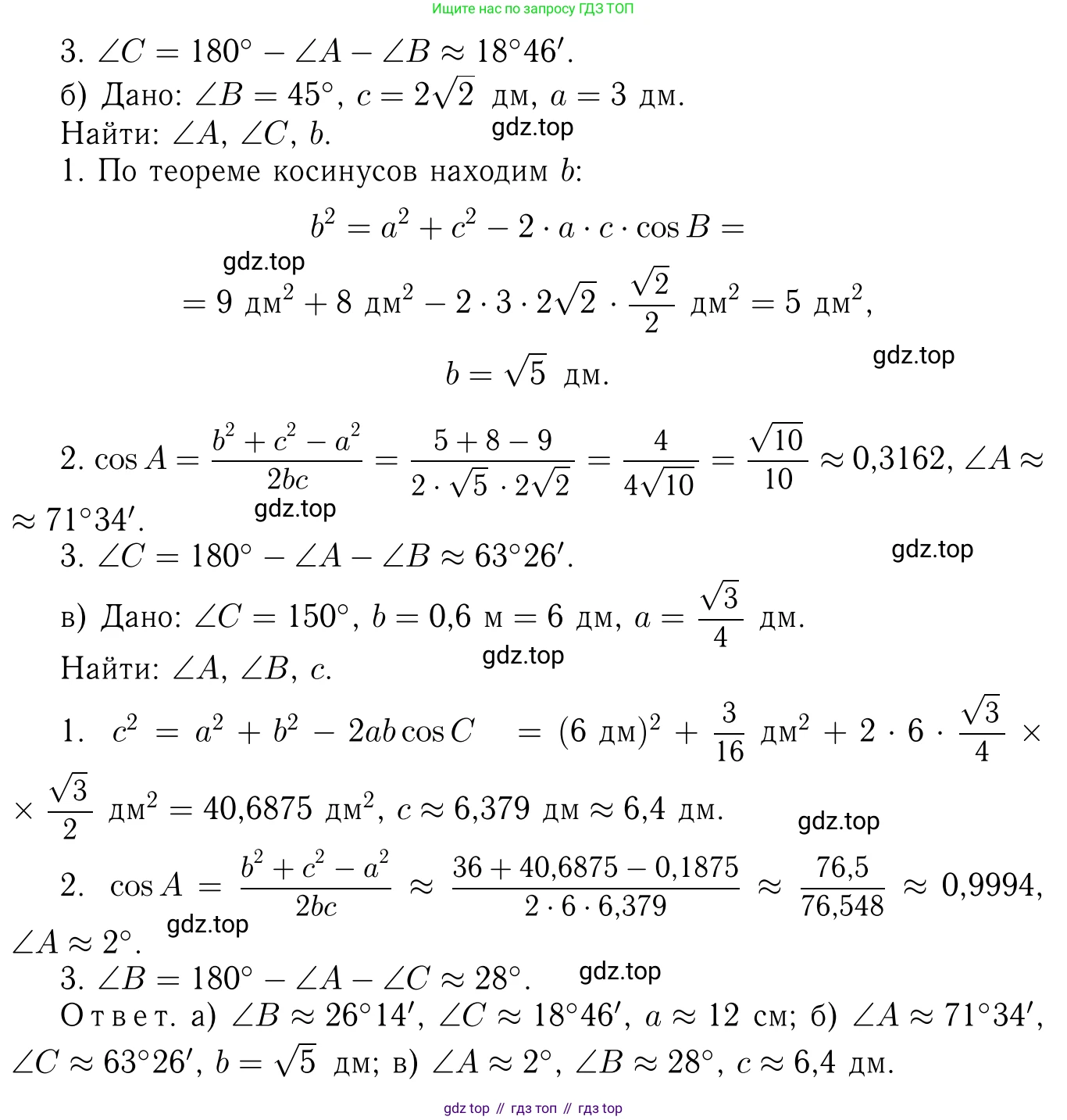
б) Дано: $AB = 2\sqrt{2}$ дм, $BC = 3$ дм, $\angle B = 45^\circ$.
Обозначим стороны: $c = AB = 2\sqrt{2}$ дм, $a = BC = 3$ дм. Найти нужно сторону $b = AC$ и углы $\angle A$ и $\angle C$.
1. Находим сторону AC (b) по теореме косинусов:
$b^2 = a^2 + c^2 - 2ac \cos B$
$AC^2 = 3^2 + (2\sqrt{2})^2 - 2 \cdot 3 \cdot 2\sqrt{2} \cdot \cos 45^\circ$
$AC^2 = 9 + 8 - 12\sqrt{2} \cdot \frac{\sqrt{2}}{2} = 17 - 12 = 5$
$AC = \sqrt{5}$ дм.
2. Находим угол A по теореме косинусов:
$\cos A = \frac{AB^2 + AC^2 - BC^2}{2 \cdot AB \cdot AC} = \frac{c^2 + b^2 - a^2}{2cb}$
$\cos A = \frac{(2\sqrt{2})^2 + (\sqrt{5})^2 - 3^2}{2 \cdot 2\sqrt{2} \cdot \sqrt{5}} = \frac{8 + 5 - 9}{4\sqrt{10}} = \frac{4}{4\sqrt{10}} = \frac{1}{\sqrt{10}} = \frac{\sqrt{10}}{10}$
$\angle A = \arccos(\frac{\sqrt{10}}{10}) \approx 71,6^\circ$.
3. Находим угол C по теореме косинусов:
$\cos C = \frac{BC^2 + AC^2 - AB^2}{2 \cdot BC \cdot AC} = \frac{a^2 + b^2 - c^2}{2ab}$
$\cos C = \frac{3^2 + (\sqrt{5})^2 - (2\sqrt{2})^2}{2 \cdot 3 \cdot \sqrt{5}} = \frac{9 + 5 - 8}{6\sqrt{5}} = \frac{6}{6\sqrt{5}} = \frac{1}{\sqrt{5}} = \frac{\sqrt{5}}{5}$
$\angle C = \arccos(\frac{\sqrt{5}}{5}) \approx 63,4^\circ$.
Ответ: $AC = \sqrt{5}$ дм, $\angle A = \arccos(\frac{\sqrt{10}}{10}) \approx 71,6^\circ$, $\angle C = \arccos(\frac{\sqrt{5}}{5}) \approx 63,4^\circ$.
в) Дано: $AC = 0,6$ м, $BC = \frac{\sqrt{3}}{4}$ дм, $\angle C = 150^\circ$.
Сначала приведем длины сторон к одной единице измерения. Пусть это будут дециметры (дм): $AC = 0,6$ м = 6 дм.
Обозначим стороны: $b = AC = 6$ дм, $a = BC = \frac{\sqrt{3}}{4}$ дм. Найти нужно сторону $c = AB$ и углы $\angle A$ и $\angle B$.
1. Находим сторону AB (c) по теореме косинусов:
$c^2 = a^2 + b^2 - 2ab \cos C$
$AB^2 = (\frac{\sqrt{3}}{4})^2 + 6^2 - 2 \cdot \frac{\sqrt{3}}{4} \cdot 6 \cdot \cos 150^\circ$
Так как $\cos 150^\circ = \cos(180^\circ - 30^\circ) = -\cos 30^\circ = -\frac{\sqrt{3}}{2}$, получаем:
$AB^2 = \frac{3}{16} + 36 - 3\sqrt{3} \cdot (-\frac{\sqrt{3}}{2}) = \frac{3}{16} + 36 + \frac{9}{2} = \frac{3 + 576 + 72}{16} = \frac{651}{16}$
$AB = \sqrt{\frac{651}{16}} = \frac{\sqrt{651}}{4}$ дм.
2. Находим угол B по теореме косинусов:
$\cos B = \frac{BC^2 + AB^2 - AC^2}{2 \cdot BC \cdot AB} = \frac{a^2 + c^2 - b^2}{2ac}$
$\cos B = \frac{(\frac{\sqrt{3}}{4})^2 + (\frac{\sqrt{651}}{4})^2 - 6^2}{2 \cdot \frac{\sqrt{3}}{4} \cdot \frac{\sqrt{651}}{4}} = \frac{\frac{3}{16} + \frac{651}{16} - 36}{\frac{2\sqrt{1953}}{16}} = \frac{\frac{654 - 576}{16}}{\frac{2\sqrt{9 \cdot 217}}{16}} = \frac{\frac{78}{16}}{\frac{6\sqrt{217}}{16}} = \frac{78}{6\sqrt{217}} = \frac{13}{\sqrt{217}} = \frac{13\sqrt{217}}{217}$
$\angle B = \arccos(\frac{13\sqrt{217}}{217}) \approx 28,1^\circ$.
3. Находим угол A, используя свойство суммы углов треугольника:
$\angle A = 180^\circ - \angle C - \angle B \approx 180^\circ - 150^\circ - 28,1^\circ = 1,9^\circ$.
Ответ: $AB = \frac{\sqrt{651}}{4}$ дм, $\angle A \approx 1,9^\circ$, $\angle B = \arccos(\frac{13\sqrt{217}}{217}) \approx 28,1^\circ$.
№1151 (с. 292)
Условие. №1151 (с. 292)
скриншот условия

1151 В треугольнике DEF известно, что DE = 4,5 дм, EF = 9,9 дм, DF = 70 см. Найдите углы треугольника.
Решение 2. №1151 (с. 292)

Решение 3. №1151 (с. 292)

Решение 4. №1151 (с. 292)

Решение 6. №1151 (с. 292)


Решение 7. №1151 (с. 292)

Решение 9. №1151 (с. 292)


Решение 11. №1151 (с. 292)
Для решения задачи необходимо найти углы треугольника $DEF$, зная длины всех его сторон. Сначала приведем все длины к одной единице измерения, а затем воспользуемся теоремой косинусов.
1. Приведение длин сторон к единой системе измерений
В задаче даны длины сторон в дециметрах (дм) и сантиметрах (см). Переведем все значения в сантиметры, используя соотношение $1 \text{ дм} = 10 \text{ см}$.
- $DE = 4,5 \text{ дм} = 4,5 \cdot 10 \text{ см} = 45 \text{ см}$
- $EF = 9,9 \text{ дм} = 9,9 \cdot 10 \text{ см} = 99 \text{ см}$
- $DF = 70 \text{ см}$
Прежде чем приступать к вычислениям, проверим, выполняется ли для данных сторон неравенство треугольника (сумма длин любых двух сторон должна быть больше третьей стороны):
- $DE + DF = 45 + 70 = 115 > 99$ (Верно)
- $DE + EF = 45 + 99 = 144 > 70$ (Верно)
- $DF + EF = 70 + 99 = 169 > 45$ (Верно)
Все условия выполняются, следовательно, треугольник с такими сторонами существует.
2. Нахождение углов по теореме косинусов
Теорема косинусов позволяет найти угол треугольника, если известны длины всех трех его сторон. Формула для нахождения косинуса угла $A$, противолежащего стороне $a$, выглядит так: $a^2 = b^2 + c^2 - 2bc \cos(A)$. Отсюда можно выразить косинус угла:
$\cos(A) = \frac{b^2 + c^2 - a^2}{2bc}$
Нахождение угла $D$
Угол $D$ лежит напротив стороны $EF$. Применяем теорему косинусов:
$\cos(\angle D) = \frac{DE^2 + DF^2 - EF^2}{2 \cdot DE \cdot DF} = \frac{45^2 + 70^2 - 99^2}{2 \cdot 45 \cdot 70}$
$\cos(\angle D) = \frac{2025 + 4900 - 9801}{6300} = \frac{6925 - 9801}{6300} = \frac{-2876}{6300} \approx -0,4565$
Поскольку косинус угла отрицательный, угол $D$ является тупым.
$\angle D = \arccos(-0,4565) \approx 117,15^\circ$
Нахождение угла $E$
Угол $E$ лежит напротив стороны $DF$.
$\cos(\angle E) = \frac{DE^2 + EF^2 - DF^2}{2 \cdot DE \cdot EF} = \frac{45^2 + 99^2 - 70^2}{2 \cdot 45 \cdot 99}$
$\cos(\angle E) = \frac{2025 + 9801 - 4900}{8910} = \frac{11826 - 4900}{8910} = \frac{6926}{8910} \approx 0,7773$
$\angle E = \arccos(0,7773) \approx 38,98^\circ$
Нахождение угла $F$
Сумма углов в любом треугольнике равна $180^\circ$. Третий угол найдем, вычтя из $180^\circ$ сумму двух уже известных углов. Этот способ позволяет избежать дополнительных вычислений и уменьшить погрешность округления.
$\angle F = 180^\circ - \angle D - \angle E \approx 180^\circ - 117,15^\circ - 38,98^\circ = 23,87^\circ$
Ответ: углы треугольника $DEF$ примерно равны: $\angle D \approx 117,15^\circ$, $\angle E \approx 38,98^\circ$, $\angle F \approx 23,87^\circ$.
№1152 (с. 292)
Условие. №1152 (с. 292)
скриншот условия

1152 Найдите биссектрису AD треугольника ABC, если ∠А = α, AB = с, AC = b.
Решение 2. №1152 (с. 292)

Решение 3. №1152 (с. 292)

Решение 4. №1152 (с. 292)

Решение 6. №1152 (с. 292)



Решение 7. №1152 (с. 292)

Решение 9. №1152 (с. 292)


Решение 11. №1152 (с. 292)
Для нахождения длины биссектрисы AD треугольника ABC воспользуемся методом, основанным на вычислении площади треугольника. Обозначим искомую длину биссектрисы AD как $l_a$.
Площадь треугольника ABC может быть вычислена по формуле с использованием двух сторон и угла между ними. В данном случае известны стороны $AB = c$, $AC = b$ и угол между ними $\angle A = \alpha$.
Площадь треугольника ABC: $S_{ABC} = \frac{1}{2} \cdot AB \cdot AC \cdot \sin(\angle A) = \frac{1}{2}bc \sin\alpha$.
Биссектриса AD делит треугольник ABC на два меньших треугольника: $\triangle ABD$ и $\triangle ACD$. Сумма их площадей равна площади исходного треугольника:
$S_{ABC} = S_{ABD} + S_{ACD}$
Так как AD — биссектриса угла A, она делит этот угол на два равных угла: $\angle BAD = \angle CAD = \frac{\alpha}{2}$.
Вычислим площади треугольников $\triangle ABD$ и $\triangle ACD$, используя сторону $AD=l_a$:
$S_{ABD} = \frac{1}{2} \cdot AB \cdot AD \cdot \sin(\angle BAD) = \frac{1}{2} c l_a \sin(\frac{\alpha}{2})$
$S_{ACD} = \frac{1}{2} \cdot AC \cdot AD \cdot \sin(\angle CAD) = \frac{1}{2} b l_a \sin(\frac{\alpha}{2})$
Теперь подставим все выражения для площадей в основное равенство:
$\frac{1}{2}bc \sin\alpha = \frac{1}{2} c l_a \sin(\frac{\alpha}{2}) + \frac{1}{2} b l_a \sin(\frac{\alpha}{2})$
Упростим полученное уравнение. Сначала умножим обе части на 2, а затем вынесем общие множители в правой части:
$bc \sin\alpha = c l_a \sin(\frac{\alpha}{2}) + b l_a \sin(\frac{\alpha}{2})$
$bc \sin\alpha = (b+c) l_a \sin(\frac{\alpha}{2})$
Для дальнейшего упрощения воспользуемся тригонометрической формулой синуса двойного угла: $\sin\alpha = 2\sin(\frac{\alpha}{2})\cos(\frac{\alpha}{2})$.
$bc \cdot 2\sin(\frac{\alpha}{2})\cos(\frac{\alpha}{2}) = (b+c) l_a \sin(\frac{\alpha}{2})$
Поскольку $\alpha$ — это угол треугольника, то $0 < \alpha < 180^\circ$, а значит $0 < \frac{\alpha}{2} < 90^\circ$. В этом диапазоне $\sin(\frac{\alpha}{2}) > 0$, поэтому мы можем разделить обе части уравнения на $\sin(\frac{\alpha}{2})$:
$2bc \cos(\frac{\alpha}{2}) = (b+c) l_a$
Из этого уравнения выражаем искомую длину биссектрисы $l_a$, которая является длиной отрезка AD:
$AD = l_a = \frac{2bc}{b+c} \cos(\frac{\alpha}{2})$
Ответ: $AD = \frac{2bc}{b+c}\cos\frac{\alpha}{2}$.
№1153 (с. 292)
Условие. №1153 (с. 292)
скриншот условия

1153 Чтобы определить расстояние между точками A и B, которое нельзя измерить, выбирают третью точку С, из которой видны точки A и B. Измерив угол ACВ и расстояния AC и СВ, находят расстояние AB. Найдите AB, если AC = b, СВ = a, ∠ACВ = α.
Решение 2. №1153 (с. 292)

Решение 3. №1153 (с. 292)

Решение 4. №1153 (с. 292)

Решение 6. №1153 (с. 292)

Решение 7. №1153 (с. 292)

Решение 9. №1153 (с. 292)


Решение 11. №1153 (с. 292)
Для нахождения расстояния $AB$ мы можем рассмотреть треугольник $\triangle ABC$. В этом треугольнике нам известны длины двух сторон и угол между ними.
По условию задачи мы имеем:
- длина стороны $AC = b$
- длина стороны $CB = a$
- угол между этими сторонами $\angle ACB = \alpha$
Требуется найти длину третьей стороны $AB$.
Для решения этой задачи используется теорема косинусов. Теорема косинусов гласит, что квадрат любой стороны треугольника равен сумме квадратов двух других сторон минус удвоенное произведение этих сторон на косинус угла между ними.
Применим теорему косинусов к стороне $AB$ треугольника $\triangle ABC$:
$AB^2 = AC^2 + CB^2 - 2 \cdot AC \cdot CB \cdot \cos(\angle ACB)$
Подставим известные значения в формулу:
$AB^2 = b^2 + a^2 - 2 \cdot b \cdot a \cdot \cos(\alpha)$
Для удобства записи слагаемые в правой части можно переставить:
$AB^2 = a^2 + b^2 - 2ab \cos(\alpha)$
Чтобы найти длину $AB$, извлечем квадратный корень из обеих частей уравнения. Поскольку длина стороны является положительной величиной, мы берем только положительное значение корня:
$AB = \sqrt{a^2 + b^2 - 2ab \cos(\alpha)}$
Это и есть искомое расстояние между точками $A$ и $B$.
Ответ: $AB = \sqrt{a^2 + b^2 - 2ab \cos(\alpha)}$
№1154 (с. 292)
Условие. №1154 (с. 292)
скриншот условия

1154 Докажите, что треугольник с вершинами A (3; 0), B (1; 5) и C (2; 1) тупоугольный. Найдите косинус тупого угла.
Решение 2. №1154 (с. 292)

Решение 3. №1154 (с. 292)

Решение 4. №1154 (с. 292)

Решение 6. №1154 (с. 292)

Решение 7. №1154 (с. 292)

Решение 8. №1154 (с. 292)


Решение 9. №1154 (с. 292)

Решение 11. №1154 (с. 292)
Докажите, что треугольник с вершинами A(3; 0), B(1; 5) и C(2; 1) тупоугольный.
Чтобы определить вид треугольника, найдем квадраты длин его сторон. Квадрат расстояния $d^2$ между двумя точками с координатами $(x_1; y_1)$ и $(x_2; y_2)$ вычисляется по формуле $d^2 = (x_2 - x_1)^2 + (y_2 - y_1)^2$.
1. Найдем квадрат длины стороны $AB$ (между точками A(3; 0) и B(1; 5)):
$AB^2 = (1 - 3)^2 + (5 - 0)^2 = (-2)^2 + 5^2 = 4 + 25 = 29$.
2. Найдем квадрат длины стороны $BC$ (между точками B(1; 5) и C(2; 1)):
$BC^2 = (2 - 1)^2 + (1 - 5)^2 = 1^2 + (-4)^2 = 1 + 16 = 17$.
3. Найдем квадрат длины стороны $AC$ (между точками A(3; 0) и C(2; 1)):
$AC^2 = (2 - 3)^2 + (1 - 0)^2 = (-1)^2 + 1^2 = 1 + 1 = 2$.
Согласно следствию из теоремы косинусов, если в треугольнике квадрат одной стороны больше суммы квадратов двух других сторон, то угол, противолежащий этой стороне, является тупым, и сам треугольник — тупоугольным.
Сравним квадрат наибольшей стороны $AB^2$ с суммой квадратов двух других сторон $BC^2 + AC^2$:
$AB^2 = 29$
$BC^2 + AC^2 = 17 + 2 = 19$
Поскольку $29 > 19$, то выполняется неравенство $AB^2 > BC^2 + AC^2$. Это означает, что угол, лежащий напротив стороны $AB$, то есть угол $C$, является тупым. Следовательно, треугольник $ABC$ — тупоугольный.
Ответ: Неравенство $AB^2 > BC^2 + AC^2$ выполняется, что доказывает, что треугольник тупоугольный.
Найдите косинус тупого угла.
Мы установили, что тупым является угол $C$. Для нахождения его косинуса воспользуемся теоремой косинусов для стороны $AB$: $AB^2 = BC^2 + AC^2 - 2 \cdot BC \cdot AC \cdot \cos(\angle C)$
Выразим из этой формулы $\cos(\angle C)$:
$\cos(\angle C) = \frac{BC^2 + AC^2 - AB^2}{2 \cdot BC \cdot AC}$
Из предыдущего пункта мы знаем значения квадратов сторон: $AB^2 = 29$, $BC^2 = 17$ и $AC^2 = 2$. Найдем длины сторон $BC$ и $AC$, взяв корень из их квадратов:
$BC = \sqrt{17}$
$AC = \sqrt{2}$
Подставим все известные значения в формулу для косинуса:
$\cos(\angle C) = \frac{17 + 2 - 29}{2 \cdot \sqrt{17} \cdot \sqrt{2}} = \frac{19 - 29}{2\sqrt{34}} = \frac{-10}{2\sqrt{34}} = -\frac{5}{\sqrt{34}}$
Отрицательное значение косинуса подтверждает, что угол $C$ является тупым.
Ответ: $-\frac{5}{\sqrt{34}}$.
№1155 (с. 292)
Условие. №1155 (с. 292)
скриншот условия

1155 Найдите длину вектора а = 3i − 4j, где i и j — координатные векторы.
Решение 2. №1155 (с. 292)

Решение 3. №1155 (с. 292)

Решение 4. №1155 (с. 292)

Решение 6. №1155 (с. 292)

Решение 7. №1155 (с. 292)

Решение 8. №1155 (с. 292)


Решение 9. №1155 (с. 292)

Решение 11. №1155 (с. 292)
Данный вектор $\vec{a} = 3\vec{i} - 4\vec{j}$ представлен в виде разложения по координатным векторам $\vec{i}$ и $\vec{j}$. Коэффициенты при этих векторах являются соответствующими координатами вектора $\vec{a}$ в двумерной системе координат.
Таким образом, координаты вектора $\vec{a}$ равны $(x, y)$, где $x = 3$ и $y = -4$.
Длина (или модуль) вектора вычисляется как квадратный корень из суммы квадратов его координат. Формула для вычисления длины вектора $\vec{a}$ с координатами $(x, y)$ выглядит следующим образом:
$|\vec{a}| = \sqrt{x^2 + y^2}$
Подставим в эту формулу координаты нашего вектора:
$|\vec{a}| = \sqrt{3^2 + (-4)^2}$
Теперь выполним вычисления:
$|\vec{a}| = \sqrt{9 + 16}$
$|\vec{a}| = \sqrt{25}$
$|\vec{a}| = 5$
Ответ: 5
№1156 (с. 292)
Условие. №1156 (с. 292)
скриншот условия

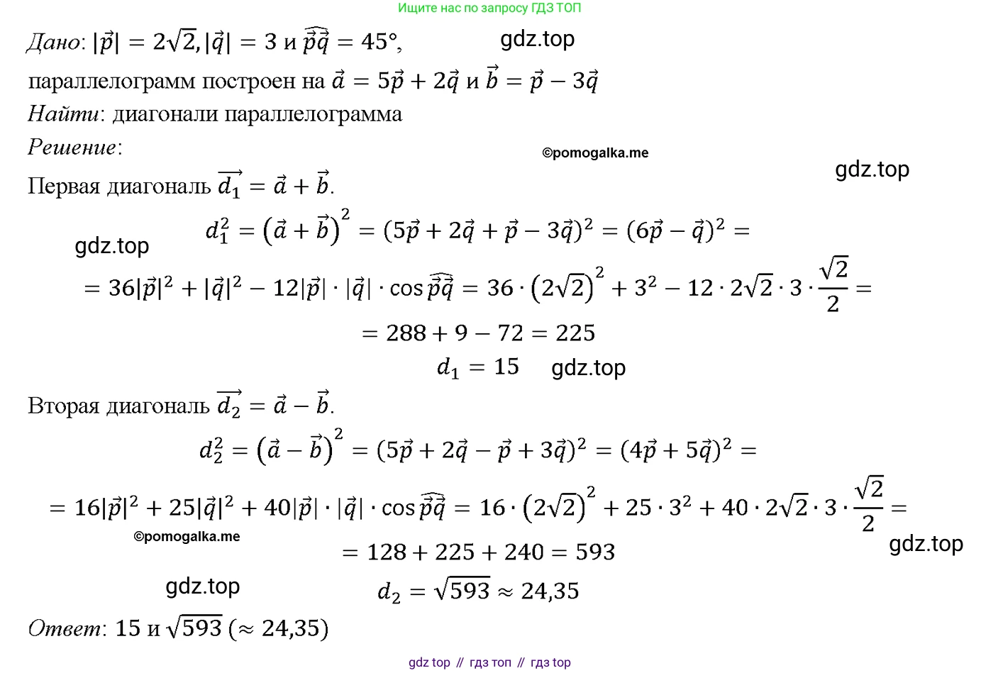
1156 Найдите диагонали параллелограмма, построенного на векторах а = 5р + 2q и b = p − 3q, если | p | = 22, | q | = 3 и pq︿ = 45°.
Решение 2. №1156 (с. 292)

Решение 3. №1156 (с. 292)

Решение 4. №1156 (с. 292)

Решение 6. №1156 (с. 292)




Решение 7. №1156 (с. 292)

Решение 8. №1156 (с. 292)


Решение 9. №1156 (с. 292)


Решение 11. №1156 (с. 292)
Пусть параллелограмм построен на векторах $\vec{a}$ и $\vec{b}$. Тогда его диагонали являются векторами $\vec{d_1} = \vec{a} + \vec{b}$ и $\vec{d_2} = \vec{a} - \vec{b}$. Длины диагоналей равны модулям этих векторов: $|\vec{d_1}|$ и $|\vec{d_2}|$.
По условию задачи даны векторы:
$\vec{a} = 5\vec{p} + 2\vec{q}$
$\vec{b} = \vec{p} - 3\vec{q}$
А также даны модули векторов $\vec{p}$ и $\vec{q}$ и угол между ними:
$|\vec{p}| = 2\sqrt{2}$, $|\vec{q}| = 3$, $(\widehat{\vec{p}, \vec{q}}) = 45^\circ$.
Сначала найдем векторы диагоналей $\vec{d_1}$ и $\vec{d_2}$:
$\vec{d_1} = \vec{a} + \vec{b} = (5\vec{p} + 2\vec{q}) + (\vec{p} - 3\vec{q}) = 6\vec{p} - \vec{q}$
$\vec{d_2} = \vec{a} - \vec{b} = (5\vec{p} + 2\vec{q}) - (\vec{p} - 3\vec{q}) = 4\vec{p} + 5\vec{q}$
Для нахождения длин диагоналей будем использовать свойство скалярного произведения векторов: $|\vec{v}|^2 = \vec{v}^2$.
Предварительно вычислим скалярные произведения векторов $\vec{p}$ и $\vec{q}$:
$|\vec{p}|^2 = (2\sqrt{2})^2 = 4 \cdot 2 = 8$
$|\vec{q}|^2 = 3^2 = 9$
$\vec{p} \cdot \vec{q} = |\vec{p}| \cdot |\vec{q}| \cdot \cos(\widehat{\vec{p}, \vec{q}}) = 2\sqrt{2} \cdot 3 \cdot \cos(45^\circ) = 6\sqrt{2} \cdot \frac{\sqrt{2}}{2} = 6 \cdot \frac{2}{2} = 6$
Теперь найдем длину первой диагонали $|\vec{d_1}|$:
$|\vec{d_1}|^2 = |6\vec{p} - \vec{q}|^2 = (6\vec{p} - \vec{q})^2 = 36\vec{p}^2 - 12(\vec{p} \cdot \vec{q}) + \vec{q}^2$
Подставим вычисленные значения:
$|\vec{d_1}|^2 = 36 \cdot 8 - 12 \cdot 6 + 9 = 288 - 72 + 9 = 216 + 9 = 225$
$|\vec{d_1}| = \sqrt{225} = 15$
Теперь найдем длину второй диагонали $|\vec{d_2}|$:
$|\vec{d_2}|^2 = |4\vec{p} + 5\vec{q}|^2 = (4\vec{p} + 5\vec{q})^2 = 16\vec{p}^2 + 40(\vec{p} \cdot \vec{q}) + 25\vec{q}^2$
Подставим вычисленные значения:
$|\vec{d_2}|^2 = 16 \cdot 8 + 40 \cdot 6 + 25 \cdot 9 = 128 + 240 + 225 = 593$
$|\vec{d_2}| = \sqrt{593}$
Таким образом, длины диагоналей параллелограмма равны 15 и $\sqrt{593}$.
Ответ: 15 и $\sqrt{593}$.
№1157 (с. 292)
Условие. №1157 (с. 292)
скриншот условия

1157 При каком значении x векторы p = xа + 17b и q = 3а − b перпендикулярны, если | а | = 2, | b | = 5 и аb︿ = 120°?
Решение 2. №1157 (с. 292)

Решение 3. №1157 (с. 292)

Решение 4. №1157 (с. 292)

Решение 6. №1157 (с. 292)

Решение 7. №1157 (с. 292)

Решение 8. №1157 (с. 292)

Решение 9. №1157 (с. 292)

Решение 11. №1157 (с. 292)
Два вектора $\vec{p}$ и $\vec{q}$ перпендикулярны тогда и только тогда, когда их скалярное произведение равно нулю. То есть, должно выполняться условие $\vec{p} \cdot \vec{q} = 0$.
Подставим данные в это условие:
$\vec{p} = x\vec{a} + 17\vec{b}$
$\vec{q} = 3\vec{a} - \vec{b}$
$(x\vec{a} + 17\vec{b}) \cdot (3\vec{a} - \vec{b}) = 0$
Раскроем скобки, используя свойства скалярного произведения (дистрибутивность и коммутативность $\vec{a} \cdot \vec{b} = \vec{b} \cdot \vec{a}$):
$x\vec{a} \cdot 3\vec{a} - x\vec{a} \cdot \vec{b} + 17\vec{b} \cdot 3\vec{a} - 17\vec{b} \cdot \vec{b} = 0$
$3x(\vec{a} \cdot \vec{a}) - x(\vec{a} \cdot \vec{b}) + 51(\vec{b} \cdot \vec{a}) - 17(\vec{b} \cdot \vec{b}) = 0$
$3x|\vec{a}|^2 + (51-x)(\vec{a} \cdot \vec{b}) - 17|\vec{b}|^2 = 0$
Теперь вычислим значения скалярных произведений, используя данные из условия: $|\vec{a}|=2$, $|\vec{b}|=5$ и угол между векторами $(\widehat{\vec{a},\vec{b}}) = 120^\circ$.
Скалярное произведение вектора на самого себя равно квадрату его длины:
$\vec{a} \cdot \vec{a} = |\vec{a}|^2 = 2^2 = 4$
$\vec{b} \cdot \vec{b} = |\vec{b}|^2 = 5^2 = 25$
Скалярное произведение векторов $\vec{a}$ и $\vec{b}$ вычисляется по формуле:
$\vec{a} \cdot \vec{b} = |\vec{a}| \cdot |\vec{b}| \cdot \cos(\widehat{\vec{a},\vec{b}})$
$\cos(120^\circ) = \cos(180^\circ - 60^\circ) = -\cos(60^\circ) = -\frac{1}{2}$
$\vec{a} \cdot \vec{b} = 2 \cdot 5 \cdot (-\frac{1}{2}) = -5$
Подставим вычисленные значения в уравнение:
$3x(4) + (51-x)(-5) - 17(25) = 0$
$12x - 5(51-x) - 425 = 0$
$12x - 255 + 5x - 425 = 0$
$17x - 680 = 0$
$17x = 680$
$x = \frac{680}{17}$
$x = 40$
Ответ: $x=40$.
№1158 (с. 292)
Условие. №1158 (с. 292)
скриншот условия

1158 В прямоугольном равнобедренном треугольнике проведены медианы из вершин острых углов. Найдите острый угол между этими медианами.
Решение 2. №1158 (с. 292)

Решение 3. №1158 (с. 292)

Решение 4. №1158 (с. 292)

Решение 6. №1158 (с. 292)



Решение 7. №1158 (с. 292)

Решение 8. №1158 (с. 292)


Решение 9. №1158 (с. 292)


Решение 11. №1158 (с. 292)
Для решения задачи воспользуемся методом координат. Пусть дан прямоугольный равнобедренный треугольник $ABC$ с прямым углом при вершине $C$. Расположим его в системе координат так, чтобы вершина $C$ совпадала с началом координат $(0,0)$, вершина $A$ лежала на оси $Oy$, а вершина $B$ — на оси $Ox$.
Поскольку треугольник равнобедренный, его катеты равны. Обозначим длину катетов за $a$: $AC = BC = a$. Тогда координаты вершин треугольника будут следующими: $C(0, 0)$, $A(0, a)$, $B(a, 0)$.
Острые углы треугольника находятся при вершинах $A$ и $B$. Проведем медианы из этих вершин: медиану $AM$ из вершины $A$ к середине стороны $BC$ и медиану $BN$ из вершины $B$ к середине стороны $AC$.
Найдем координаты середин сторон, точек $M$ и $N$.
Точка $M$ — середина отрезка $BC$: $M = \left( \frac{x_B + x_C}{2}, \frac{y_B + y_C}{2} \right) = \left( \frac{a + 0}{2}, \frac{0 + 0}{2} \right) = \left( \frac{a}{2}, 0 \right)$.
Точка $N$ — середина отрезка $AC$: $N = \left( \frac{x_A + x_C}{2}, \frac{y_A + y_C}{2} \right) = \left( \frac{0 + 0}{2}, \frac{a + 0}{2} \right) = \left( 0, \frac{a}{2} \right)$.
Медианы $AM$ и $BN$ пересекаются в точке $O$, которая является центроидом треугольника. Координаты центроида равны среднему арифметическому координат вершин:
$O = \left( \frac{x_A + x_B + x_C}{3}, \frac{y_A + y_B + y_C}{3} \right) = \left( \frac{0 + a + 0}{3}, \frac{a + 0 + 0}{3} \right) = \left( \frac{a}{3}, \frac{a}{3} \right)$.
Угол между медианами — это угол между векторами, лежащими на этих медианах. Найдем угол $\alpha$ между векторами $\vec{OA}$ и $\vec{OB}$. Для этого сначала определим их координаты:
$\vec{OA} = (x_A - x_O, y_A - y_O) = \left(0 - \frac{a}{3}, a - \frac{a}{3}\right) = \left(-\frac{a}{3}, \frac{2a}{3}\right)$.
$\vec{OB} = (x_B - x_O, y_B - y_O) = \left(a - \frac{a}{3}, 0 - \frac{a}{3}\right) = \left(\frac{2a}{3}, -\frac{a}{3}\right)$.
Косинус угла $\alpha$ между векторами находится по формуле скалярного произведения:
$\cos \alpha = \frac{\vec{OA} \cdot \vec{OB}}{|\vec{OA}| \cdot |\vec{OB}|}$.
Вычислим скалярное произведение векторов:
$\vec{OA} \cdot \vec{OB} = \left(-\frac{a}{3}\right) \cdot \left(\frac{2a}{3}\right) + \left(\frac{2a}{3}\right) \cdot \left(-\frac{a}{3}\right) = -\frac{2a^2}{9} - \frac{2a^2}{9} = -\frac{4a^2}{9}$.
Вычислим модули (длины) векторов:
$|\vec{OA}| = \sqrt{\left(-\frac{a}{3}\right)^2 + \left(\frac{2a}{3}\right)^2} = \sqrt{\frac{a^2}{9} + \frac{4a^2}{9}} = \sqrt{\frac{5a^2}{9}} = \frac{a\sqrt{5}}{3}$.
$|\vec{OB}| = \sqrt{\left(\frac{2a}{3}\right)^2 + \left(-\frac{a}{3}\right)^2} = \sqrt{\frac{4a^2}{9} + \frac{a^2}{9}} = \sqrt{\frac{5a^2}{9}} = \frac{a\sqrt{5}}{3}$.
Теперь подставим найденные значения в формулу для косинуса угла:
$\cos \alpha = \frac{-\frac{4a^2}{9}}{\frac{a\sqrt{5}}{3} \cdot \frac{a\sqrt{5}}{3}} = \frac{-\frac{4a^2}{9}}{\frac{5a^2}{9}} = -\frac{4}{5}$.
Полученное значение косинуса отрицательно, значит, угол $\alpha$ — тупой. Это один из углов между медианами. Второй угол, смежный с ним, будет острым. Обозначим острый угол через $\beta$. Для смежных углов $\alpha + \beta = 180^\circ$. Косинус острого угла будет:
$\cos \beta = \cos(180^\circ - \alpha) = -\cos \alpha = - \left(-\frac{4}{5}\right) = \frac{4}{5}$.
Таким образом, искомый острый угол $\beta$ равен арккосинусу этого значения.
Ответ: $\arccos\left(\frac{4}{5}\right)$.
№1159 (с. 292)
Условие. №1159 (с. 292)
скриншот условия

1159 В трапеции ABCD с основаниями AD = 16 см и ВС = 8 см боковая сторона равна 47 cм, а ∠ADC = 60°. Через вершину С проведена прямая l, делящая трапецию на два многоугольника, площади которых равны. Найдите площадь трапеции и длину отрезка прямой l, заключённого внутри трапеции.
Решение 2. №1159 (с. 292)

Решение 3. №1159 (с. 292)

Решение 4. №1159 (с. 292)

Решение 6. №1159 (с. 292)



Решение 7. №1159 (с. 292)

Решение 8. №1159 (с. 292)



Решение 9. №1159 (с. 292)


Решение 11. №1159 (с. 292)
Пусть дана трапеция $ABCD$ с основаниями $AD$ и $BC$, где $AD=16$ см, $BC=8$ см, и $\angle ADC = 60^\circ$. В условии сказано, что одна из боковых сторон равна $4\sqrt{7}$ см. Это может быть как сторона $AB$, так и $CD$. Чтобы однозначно определить параметры трапеции, рассмотрим оба варианта.
Проведем высоту $CH$ из вершины $C$ к основанию $AD$. В прямоугольном треугольнике $CHD$ катет $CH$ является высотой трапеции $h$, а катет $HD$ — проекцией стороны $CD$ на основание $AD$.
$h = CH = CD \cdot \sin(\angle ADC) = CD \cdot \sin(60^\circ) = CD \cdot \frac{\sqrt{3}}{2}$
$HD = CD \cdot \cos(\angle ADC) = CD \cdot \cos(60^\circ) = CD \cdot \frac{1}{2}$
Проведем также высоту $BP$ из вершины $B$ к основанию $AD$. Так как $BC$ параллельно $AD$ и $BP$, $CH$ — высоты, то $BCHP$ — прямоугольник, и $PH = BC = 8$ см.Тогда $AP = AD - PH - HD = 16 - 8 - HD = 8 - HD$.В прямоугольном треугольнике $APB$ по теореме Пифагора:$AB^2 = AP^2 + BP^2 = (8 - HD)^2 + h^2$.Подставим выражения для $h$ и $HD$ через $CD$:$AB^2 = (8 - \frac{CD}{2})^2 + (\frac{CD\sqrt{3}}{2})^2 = 64 - 8 \cdot CD + \frac{CD^2}{4} + \frac{3CD^2}{4} = CD^2 - 8 \cdot CD + 64$.
Теперь проверим два возможных случая:
- Если $CD = 4\sqrt{7}$ см, то $AB^2 = (4\sqrt{7})^2 - 8(4\sqrt{7}) + 64 = 112 - 32\sqrt{7} + 64 = 176 - 32\sqrt{7}$. Этот вариант приводит к сложным вычислениям.
- Если $AB = 4\sqrt{7}$ см, то $AB^2 = 112$. Получаем уравнение для $CD$: $112 = CD^2 - 8 \cdot CD + 64$ $CD^2 - 8 \cdot CD - 48 = 0$. Решим это квадратное уравнение относительно $CD$: $D = (-8)^2 - 4(1)(-48) = 64 + 192 = 256 = 16^2$. $CD = \frac{8 \pm 16}{2}$. Так как длина стороны не может быть отрицательной, выбираем корень со знаком плюс: $CD = \frac{8 + 16}{2} = 12$ см.
Этот результат показывает, что второй случай является верной интерпретацией условия задачи. Таким образом, в трапеции $ABCD$ боковая сторона $AB = 4\sqrt{7}$ см, а боковая сторона $CD = 12$ см.
Найдите площадь трапеции
Для нахождения площади трапеции нам нужна ее высота $h$. Мы можем найти ее из прямоугольного треугольника $CHD$, зная сторону $CD=12$ см и угол $\angle ADC = 60^\circ$.Высота трапеции $h$ равна катету $CH$:$h = CH = CD \cdot \sin(60^\circ) = 12 \cdot \frac{\sqrt{3}}{2} = 6\sqrt{3}$ см.
Площадь трапеции $S_{ABCD}$ вычисляется по формуле:$S_{ABCD} = \frac{AD + BC}{2} \cdot h$Подставляем известные значения:$S_{ABCD} = \frac{16 + 8}{2} \cdot 6\sqrt{3} = \frac{24}{2} \cdot 6\sqrt{3} = 12 \cdot 6\sqrt{3} = 72\sqrt{3}$ см2.
Ответ: Площадь трапеции равна $72\sqrt{3}$ см2.
Найдите длину отрезка прямой l, заключённого внутри трапеции
Прямая $l$ проходит через вершину $C$ и делит трапецию на два многоугольника равной площади. Площадь каждого многоугольника равна половине площади трапеции:$S_{часть} = \frac{S_{ABCD}}{2} = \frac{72\sqrt{3}}{2} = 36\sqrt{3}$ см2.
Так как прямая проходит через $C$, она может пересекать либо боковую сторону $AB$, либо основание $AD$. Если бы прямая $l$ пересекала сторону $AB$ в точке $M$, она бы отсекала треугольник $BCM$. Площадь треугольника $ABC$ равна $S_{ABC} = S_{ABCD} - S_{ADC} = 72\sqrt{3} - \frac{1}{2} \cdot 16 \cdot 6\sqrt{3} = 72\sqrt{3} - 48\sqrt{3} = 24\sqrt{3}$ см2. Площадь отсекаемой части $S_{BCM}$ не может быть больше $S_{ABC}$, то есть $S_{BCM} \le 24\sqrt{3}$ см2. А нам нужна площадь $36\sqrt{3}$ см2. Следовательно, прямая $l$ пересекает основание $AD$.
Пусть прямая $l$ пересекает основание $AD$ в точке $K$. Отрезок прямой $l$, заключенный внутри трапеции, — это отрезок $CK$. Прямая делит трапецию на треугольник $CKD$ и четырехугольник $ABCK$.Площадь треугольника $CKD$ должна быть равна $36\sqrt{3}$ см2.$S_{CKD} = \frac{1}{2} \cdot KD \cdot h = 36\sqrt{3}$$\frac{1}{2} \cdot KD \cdot 6\sqrt{3} = 36\sqrt{3}$$3\sqrt{3} \cdot KD = 36\sqrt{3}$$KD = \frac{36\sqrt{3}}{3\sqrt{3}} = 12$ см.
Теперь найдем длину отрезка $CK$. Рассмотрим треугольник $CKD$. Нам известны две его стороны $CD = 12$ см, $KD = 12$ см и угол между ними $\angle KDC = \angle ADC = 60^\circ$.Поскольку треугольник $CKD$ является равнобедренным ($CD=KD$) с углом $60^\circ$ между равными сторонами, он является равносторонним.Следовательно, все его стороны равны 12 см, и $CK = 12$ см.Это также можно проверить по теореме косинусов:$CK^2 = CD^2 + KD^2 - 2 \cdot CD \cdot KD \cdot \cos(60^\circ)$$CK^2 = 12^2 + 12^2 - 2 \cdot 12 \cdot 12 \cdot \frac{1}{2}$$CK^2 = 144 + 144 - 144 = 144$$CK = \sqrt{144} = 12$ см.
Ответ: Длина отрезка прямой $l$, заключённого внутри трапеции, равна 12 см.
№1160 (с. 292)
Условие. №1160 (с. 292)
скриншот условия

1160 В треугольнике ABC, площадь которого равна 33, угол А острый, AB = 43, AC = 3. Найдите радиус окружности, описанной около треугольника.
Решение 2. №1160 (с. 292)

Решение 3. №1160 (с. 292)

Решение 4. №1160 (с. 292)

Решение 7. №1160 (с. 292)

Решение 8. №1160 (с. 292)


Решение 9. №1160 (с. 292)


Решение 11. №1160 (с. 292)
Для нахождения радиуса $R$ описанной около треугольника окружности можно использовать следствие из теоремы синусов: $R = \frac{a}{2\sin\alpha}$, где $a$ — сторона треугольника, а $\alpha$ — противолежащий ей угол. В нашем случае, чтобы найти радиус, нам необходимо найти длину стороны $BC$ и синус угла $A$.
1. Найдём синус угла $A$.Площадь треугольника вычисляется по формуле $S = \frac{1}{2} b c \sin A$, где $b$ и $c$ — две стороны треугольника, а $A$ — угол между ними. По условию задачи нам известны площадь $S = 3\sqrt{3}$, и длины сторон $AB = 4\sqrt{3}$ и $AC = 3$.Подставим эти значения в формулу площади:
$3\sqrt{3} = \frac{1}{2} \cdot AB \cdot AC \cdot \sin A$
$3\sqrt{3} = \frac{1}{2} \cdot 4\sqrt{3} \cdot 3 \cdot \sin A$
$3\sqrt{3} = 6\sqrt{3} \cdot \sin A$
Разделив обе части уравнения на $6\sqrt{3}$, получим:
$\sin A = \frac{3\sqrt{3}}{6\sqrt{3}} = \frac{1}{2}$
2. Найдём длину стороны $BC$.Для этого воспользуемся теоремой косинусов: $BC^2 = AB^2 + AC^2 - 2 \cdot AB \cdot AC \cdot \cos A$.Сначала определим $\cos A$. Из основного тригонометрического тождества $\sin^2 A + \cos^2 A = 1$. Так как по условию угол $A$ острый, его косинус будет положительным.
$\cos A = \sqrt{1 - \sin^2 A} = \sqrt{1 - (\frac{1}{2})^2} = \sqrt{1 - \frac{1}{4}} = \sqrt{\frac{3}{4}} = \frac{\sqrt{3}}{2}$
Теперь подставим все известные значения в формулу теоремы косинусов:
$BC^2 = (4\sqrt{3})^2 + 3^2 - 2 \cdot 4\sqrt{3} \cdot 3 \cdot \frac{\sqrt{3}}{2}$
$BC^2 = (16 \cdot 3) + 9 - 24\sqrt{3} \cdot \frac{\sqrt{3}}{2}$
$BC^2 = 48 + 9 - 12 \cdot 3$
$BC^2 = 57 - 36 = 21$
Отсюда $BC = \sqrt{21}$.
3. Найдём радиус описанной окружности $R$.Теперь, зная сторону $BC$ и синус противолежащего ей угла $A$, мы можем найти радиус описанной окружности.
$R = \frac{BC}{2\sin A} = \frac{\sqrt{21}}{2 \cdot \frac{1}{2}} = \frac{\sqrt{21}}{1} = \sqrt{21}$
Ответ: $\sqrt{21}$.
№1161 (с. 292)
Условие. №1161 (с. 292)
скриншот условия

1161 Дан ромб MNPQ. Отрезок MF — биссектриса треугольника MPQ, ∠NMQ = 4α, FQ = а. Найдите площадь данного ромба.
Решение 2. №1161 (с. 292)

Решение 3. №1161 (с. 292)

Решение 4. №1161 (с. 292)

Решение 6. №1161 (с. 292)



Решение 7. №1161 (с. 292)

Решение 8. №1161 (с. 292)



Решение 9. №1161 (с. 292)



Решение 11. №1161 (с. 292)
Пусть $s$ — сторона ромба $MNPQ$. Тогда $MN = NP = PQ = QM = s$.Площадь ромба можно найти по формуле $S = s^2 \sin(\angle NMQ)$. По условию $\angle NMQ = 4\alpha$, значит $S = s^2 \sin(4\alpha)$. Наша задача — найти сторону ромба $s$.
Рассмотрим треугольник $MPQ$. Он образован двумя сторонами ромба $MQ$, $PQ$ и диагональю $MP$. Так как $MQ = PQ = s$, то треугольник $MPQ$ является равнобедренным.Диагонали ромба являются биссектрисами его углов. Следовательно, диагональ $MP$ делит угол $\angle NMQ$ пополам.$\angle PMQ = \frac{1}{2} \angle NMQ = \frac{4\alpha}{2} = 2\alpha$.
По условию, отрезок $MF$ является биссектрисой треугольника $MPQ$. Так как отрезок выходит из вершины $M$ и точка $F$ лежит на противолежащей стороне $PQ$, $MF$ делит пополам угол $\angle PMQ$.Следовательно, $\angle FMQ = \frac{1}{2} \angle PMQ = \frac{2\alpha}{2} = \alpha$.
В равнобедренном треугольнике $MPQ$ углы при основании $MP$ равны. Угол $\angle QPM$ равен углу $\angle PMQ$. Но мы можем найти его и по-другому. Углы ромба $\angle NMQ$ и $\angle MQP$ — соседние, их сумма равна $180^\circ$.$\angle MQP = 180^\circ - \angle NMQ = 180^\circ - 4\alpha$.
Теперь рассмотрим треугольник $MFQ$. В нем известны:
- Сторона $FQ = a$ (по условию).
- Угол $\angle FMQ = \alpha$.
- Угол $\angle FQM = \angle MQP = 180^\circ - 4\alpha$.
Найдем третий угол треугольника $MFQ$, зная, что сумма углов треугольника равна $180^\circ$:$\angle MFQ = 180^\circ - (\angle FMQ + \angle FQM) = 180^\circ - (\alpha + 180^\circ - 4\alpha) = 180^\circ - \alpha - 180^\circ + 4\alpha = 3\alpha$.
Применим теорему синусов к треугольнику $MFQ$, чтобы найти сторону $MQ$, которая является стороной ромба $s$:$\frac{MQ}{\sin(\angle MFQ)} = \frac{FQ}{\sin(\angle FMQ)}$Подставим известные нам значения:$\frac{s}{\sin(3\alpha)} = \frac{a}{\sin(\alpha)}$Отсюда выражаем сторону ромба $s$:$s = \frac{a \sin(3\alpha)}{\sin(\alpha)}$
Наконец, вычислим площадь ромба:$S = s^2 \sin(4\alpha) = \left(\frac{a \sin(3\alpha)}{\sin(\alpha)}\right)^2 \sin(4\alpha) = a^2 \frac{\sin^2(3\alpha)}{\sin^2(\alpha)} \sin(4\alpha)$.
Ответ: $S = a^2 \frac{\sin^2(3\alpha)}{\sin^2(\alpha)} \sin(4\alpha)$.
Помогло решение? Оставьте отзыв в комментариях ниже.