Номер 1.26, страница 14 - гдз по алгебре 8 класс учебник Дорофеев, Суворова

Авторы: Дорофеев Г. В., Суворова С. Б., Бунимович Е. А., Кузнецова Л. В., Минаева С. С., Рослова Л. О.
Тип: Учебник
Издательство: Просвещение
Год издания: 2023 - 2025
Уровень обучения: базовый
Цвет обложки: белый, голубой, оранжевый
ISBN: 978-5-09-106180-2
Популярные ГДЗ в 8 классе
1.2. Основное свойство дроби. Глава 1. Алгебраические дроби - номер 1.26, страница 14.
№1.26 (с. 14)
Условие. №1.26 (с. 14)
скриншот условия

1.26 Разложите на множители числитель и знаменатель дроби и сократите её:
а) $\frac{ax - bx}{mx + nx}$;
б) $\frac{am - an}{bm - bn}$;
в) $\frac{x^2 - 2x}{xy - 2y}$;
г) $\frac{d^2 - d}{d^2 + d}$;
д) $\frac{a^2 + ab}{a^2 + ac}$;
е) $\frac{y^2 + xy}{x^2 + xy}$.
Решение 2. №1.26 (с. 14)






Решение 3. №1.26 (с. 14)

Решение 4. №1.26 (с. 14)
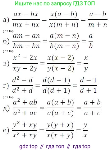
а) Чтобы сократить дробь $\frac{ax - bx}{mx + nx}$, разложим на множители ее числитель и знаменатель. В числителе вынесем за скобки общий множитель $x$: $ax - bx = x(a - b)$. В знаменателе также вынесем за скобки общий множитель $x$: $mx + nx = x(m + n)$. Исходная дробь примет вид: $\frac{x(a - b)}{x(m + n)}$. Сократим числитель и знаменатель на общий множитель $x$. В результате получим: $\frac{a - b}{m + n}$.
Ответ: $\frac{a - b}{m + n}$
б) Рассмотрим дробь $\frac{am - an}{bm - bn}$. Разложим числитель на множители, вынеся общий множитель $a$: $am - an = a(m - n)$. Разложим знаменатель на множители, вынеся общий множитель $b$: $bm - bn = b(m - n)$. Дробь принимает вид: $\frac{a(m - n)}{b(m - n)}$. Сокращаем дробь на общий множитель $(m - n)$. В результате получаем: $\frac{a}{b}$.
Ответ: $\frac{a}{b}$
в) Рассмотрим дробь $\frac{x^2 - 2x}{xy - 2y}$. В числителе вынесем за скобки общий множитель $x$: $x^2 - 2x = x(x - 2)$. В знаменателе вынесем за скобки общий множитель $y$: $xy - 2y = y(x - 2)$. Подставим разложения в дробь: $\frac{x(x - 2)}{y(x - 2)}$. Сократим дробь на общий множитель $(x - 2)$. Получаем: $\frac{x}{y}$.
Ответ: $\frac{x}{y}$
г) Дана дробь $\frac{d^2 - d}{d^2 + d}$. Разложим числитель на множители, вынеся $d$ за скобки: $d^2 - d = d(d - 1)$. Разложим знаменатель на множители, вынеся $d$ за скобки: $d^2 + d = d(d + 1)$. Получаем дробь: $\frac{d(d - 1)}{d(d + 1)}$. Сокращаем дробь на $d$. Итоговый вид дроби: $\frac{d - 1}{d + 1}$.
Ответ: $\frac{d - 1}{d + 1}$
д) Рассмотрим дробь $\frac{a^2 + ab}{a^2 + ac}$. В числителе вынесем общий множитель $a$ за скобки: $a^2 + ab = a(a + b)$. В знаменателе также вынесем общий множитель $a$ за скобки: $a^2 + ac = a(a + c)$. Дробь приобретает вид: $\frac{a(a + b)}{a(a + c)}$. Сокращаем числитель и знаменатель на общий множитель $a$. В результате получаем: $\frac{a + b}{a + c}$.
Ответ: $\frac{a + b}{a + c}$
е) Дана дробь $\frac{y^2 + xy}{x^2 + xy}$. Разложим числитель на множители, вынеся за скобки $y$: $y^2 + xy = y(y + x)$. Разложим знаменатель на множители, вынеся за скобки $x$: $x^2 + xy = x(x + y)$. Подставляем полученные выражения в дробь: $\frac{y(y + x)}{x(x + y)}$. Поскольку от перемены мест слагаемых сумма не меняется, $y + x = x + y$. Сокращаем дробь на этот общий множитель. Получаем: $\frac{y}{x}$.
Ответ: $\frac{y}{x}$
Другие задания:
Помогло решение? Оставьте отзыв в комментариях ниже.
Присоединяйтесь к Телеграм-группе @top_gdz
ПрисоединитьсяМы подготовили для вас ответ c подробным объяснением домашего задания по алгебре за 8 класс, для упражнения номер 1.26 расположенного на странице 14 к учебнику 2023 года издания для учащихся школ и гимназий.
Теперь на нашем сайте ГДЗ.ТОП вы всегда легко и бесплатно найдёте условие с правильным ответом на вопрос «Как решить ДЗ» и «Как сделать» задание по алгебре к упражнению №1.26 (с. 14), авторов: Дорофеев (Георгий Владимирович), Суворова (Светлана Борисовна), Бунимович (Евгений Абрамович), Кузнецова (Людмила Викторовна), Минаева (Светлана Станиславовна), Рослова (Лариса Олеговна), ФГОС (новый, красный) базовый уровень обучения учебного пособия издательства Просвещение.