Номер 3.22, страница 124 - гдз по алгебре 8 класс учебник Дорофеев, Суворова

Авторы: Дорофеев Г. В., Суворова С. Б., Бунимович Е. А., Кузнецова Л. В., Минаева С. С., Рослова Л. О.
Тип: Учебник
Издательство: Просвещение
Год издания: 2023 - 2025
Уровень обучения: базовый
Цвет обложки: белый, голубой, оранжевый
ISBN: 978-5-09-106180-2
Популярные ГДЗ в 8 классе
3.2. Формула корней квадратного уравнения. Глава 3. Квадратные уравнения - номер 3.22, страница 124.
№3.22 (с. 124)
Условие. №3.22 (с. 124)
скриншот условия

3.22 Найдите корни уравнения с двумя знаками после запятой (воспользуйтесь калькулятором):
а) $x^2 - 6x = 1;$
б) $3x^2 = 7x + 3;$
в) $x^2 + 11x = x - 2;$
г) $5x - 2 = 3x^2;$
д) $2x^2 + 4x + 1 = 0;$
е) $4 - 4x = x^2.$
Решение 2. №3.22 (с. 124)






Решение 3. №3.22 (с. 124)

Решение 4. №3.22 (с. 124)
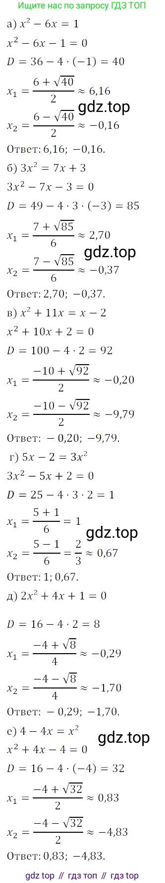
а) $x^2 - 6x = 1$
Приводим уравнение к стандартному виду $ax^2 + bx + c = 0$:
$x^2 - 6x - 1 = 0$
Коэффициенты: $a = 1$, $b = -6$, $c = -1$.
Находим дискриминант: $D = b^2 - 4ac = (-6)^2 - 4 \cdot 1 \cdot (-1) = 36 + 4 = 40$.
Находим корни по формуле $x = \frac{-b \pm \sqrt{D}}{2a}$:
$x = \frac{6 \pm \sqrt{40}}{2}$.
Вычисляем и округляем до двух знаков после запятой:
$x_1 = \frac{6 + \sqrt{40}}{2} \approx \frac{6 + 6.325}{2} \approx 6.16$.
$x_2 = \frac{6 - \sqrt{40}}{2} \approx \frac{6 - 6.325}{2} \approx -0.16$.
Ответ: $x_1 \approx 6.16, x_2 \approx -0.16$.
б) $3x^2 = 7x + 3$
Приводим уравнение к стандартному виду:
$3x^2 - 7x - 3 = 0$
Коэффициенты: $a = 3$, $b = -7$, $c = -3$.
Находим дискриминант: $D = b^2 - 4ac = (-7)^2 - 4 \cdot 3 \cdot (-3) = 49 + 36 = 85$.
Находим корни: $x = \frac{7 \pm \sqrt{85}}{6}$.
Вычисляем и округляем:
$x_1 = \frac{7 + \sqrt{85}}{6} \approx \frac{7 + 9.220}{6} \approx 2.70$.
$x_2 = \frac{7 - \sqrt{85}}{6} \approx \frac{7 - 9.220}{6} \approx -0.37$.
Ответ: $x_1 \approx 2.70, x_2 \approx -0.37$.
в) $x^2 + 11x = x - 2$
Приводим уравнение к стандартному виду:
$x^2 + 11x - x + 2 = 0$
$x^2 + 10x + 2 = 0$
Коэффициенты: $a = 1$, $b = 10$, $c = 2$.
Находим дискриминант: $D = b^2 - 4ac = 10^2 - 4 \cdot 1 \cdot 2 = 100 - 8 = 92$.
Находим корни: $x = \frac{-10 \pm \sqrt{92}}{2}$.
Вычисляем и округляем:
$x_1 = \frac{-10 + \sqrt{92}}{2} \approx \frac{-10 + 9.592}{2} \approx -0.20$.
$x_2 = \frac{-10 - \sqrt{92}}{2} \approx \frac{-10 - 9.592}{2} \approx -9.80$.
Ответ: $x_1 \approx -0.20, x_2 \approx -9.80$.
г) $5x - 2 = 3x^2$
Приводим уравнение к стандартному виду:
$3x^2 - 5x + 2 = 0$
Коэффициенты: $a = 3$, $b = -5$, $c = 2$.
Находим дискриминант: $D = b^2 - 4ac = (-5)^2 - 4 \cdot 3 \cdot 2 = 25 - 24 = 1$.
Находим корни: $x = \frac{5 \pm \sqrt{1}}{6} = \frac{5 \pm 1}{6}$.
Вычисляем и округляем:
$x_1 = \frac{5 + 1}{6} = \frac{6}{6} = 1.00$.
$x_2 = \frac{5 - 1}{6} = \frac{4}{6} = \frac{2}{3} \approx 0.67$.
Ответ: $x_1 = 1.00, x_2 \approx 0.67$.
д) $2x^2 + 4x + 1 = 0$
Уравнение уже в стандартном виде.
Коэффициенты: $a = 2$, $b = 4$, $c = 1$.
Находим дискриминант: $D = b^2 - 4ac = 4^2 - 4 \cdot 2 \cdot 1 = 16 - 8 = 8$.
Находим корни: $x = \frac{-4 \pm \sqrt{8}}{4}$.
Вычисляем и округляем:
$x_1 = \frac{-4 + \sqrt{8}}{4} \approx \frac{-4 + 2.828}{4} \approx -0.29$.
$x_2 = \frac{-4 - \sqrt{8}}{4} \approx \frac{-4 - 2.828}{4} \approx -1.71$.
Ответ: $x_1 \approx -0.29, x_2 \approx -1.71$.
е) $4 - 4x = x^2$
Приводим уравнение к стандартному виду:
$x^2 + 4x - 4 = 0$
Коэффициенты: $a = 1$, $b = 4$, $c = -4$.
Находим дискриминант: $D = b^2 - 4ac = 4^2 - 4 \cdot 1 \cdot (-4) = 16 + 16 = 32$.
Находим корни: $x = \frac{-4 \pm \sqrt{32}}{2}$.
Вычисляем и округляем:
$x_1 = \frac{-4 + \sqrt{32}}{2} \approx \frac{-4 + 5.657}{2} \approx 0.83$.
$x_2 = \frac{-4 - \sqrt{32}}{2} \approx \frac{-4 - 5.657}{2} \approx -4.83$.
Ответ: $x_1 \approx 0.83, x_2 \approx -4.83$.
Другие задания:
Помогло решение? Оставьте отзыв в комментариях ниже.
Присоединяйтесь к Телеграм-группе @top_gdz
ПрисоединитьсяМы подготовили для вас ответ c подробным объяснением домашего задания по алгебре за 8 класс, для упражнения номер 3.22 расположенного на странице 124 к учебнику 2023 года издания для учащихся школ и гимназий.
Теперь на нашем сайте ГДЗ.ТОП вы всегда легко и бесплатно найдёте условие с правильным ответом на вопрос «Как решить ДЗ» и «Как сделать» задание по алгебре к упражнению №3.22 (с. 124), авторов: Дорофеев (Георгий Владимирович), Суворова (Светлана Борисовна), Бунимович (Евгений Абрамович), Кузнецова (Людмила Викторовна), Минаева (Светлана Станиславовна), Рослова (Лариса Олеговна), ФГОС (новый, красный) базовый уровень обучения учебного пособия издательства Просвещение.