Номер 3.73, страница 137 - гдз по алгебре 8 класс учебник Дорофеев, Суворова

Авторы: Дорофеев Г. В., Суворова С. Б., Бунимович Е. А., Кузнецова Л. В., Минаева С. С., Рослова Л. О.
Тип: Учебник
Издательство: Просвещение
Год издания: 2023 - 2025
Уровень обучения: базовый
Цвет обложки: белый, голубой, оранжевый
ISBN: 978-5-09-106180-2
Популярные ГДЗ в 8 классе
3.5. Неполные квадратные уравнения. Глава 3. Квадратные уравнения - номер 3.73, страница 137.
№3.73 (с. 137)
Условие. №3.73 (с. 137)
скриншот условия

Решите уравнение (3.73–3.74).
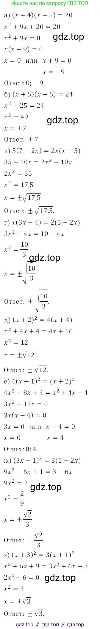
3.73 а) $(x + 4)(x + 5) = 20;$
б) $(x + 5)(x - 5) = 24;$
в) $5(7 - 2x) = 2x(x - 5);$
г) $x(3x - 4) = 2(5 - 2x);$
д) $(x + 2)^2 = 4(x + 4);$
е) $4(x - 1)^2 = (x + 2)^2;$
ж) $(3x - 1)^2 = 3(1 - 2x);$
з) $(x + 3)^2 = 3(x + 1)^2.$
Решение 2. №3.73 (с. 137)








Решение 3. №3.73 (с. 137)

Решение 4. №3.73 (с. 137)
а) $(x + 4)(x + 5) = 20$
Раскроем скобки в левой части уравнения:
$x^2 + 5x + 4x + 20 = 20$
Приведем подобные слагаемые:
$x^2 + 9x + 20 = 20$
Перенесем 20 в левую часть и упростим:
$x^2 + 9x + 20 - 20 = 0$
$x^2 + 9x = 0$
Вынесем общий множитель $x$ за скобки:
$x(x + 9) = 0$
Произведение равно нулю, когда один из множителей равен нулю:
$x_1 = 0$ или $x + 9 = 0$, откуда $x_2 = -9$.
Ответ: $0; -9$.
б) $(x + 5)(x - 5) = 24$
Воспользуемся формулой разности квадратов $(a+b)(a-b) = a^2-b^2$ для левой части:
$x^2 - 5^2 = 24$
$x^2 - 25 = 24$
Перенесем -25 в правую часть уравнения:
$x^2 = 24 + 25$
$x^2 = 49$
Извлечем квадратный корень из обеих частей:
$x = \pm\sqrt{49}$
$x_1 = 7, x_2 = -7$.
Ответ: $-7; 7$.
в) $5(7 - 2x) = 2x(x - 5)$
Раскроем скобки в обеих частях уравнения:
$35 - 10x = 2x^2 - 10x$
Прибавим $10x$ к обеим частям уравнения:
$35 = 2x^2$
Разделим обе части на 2:
$x^2 = \frac{35}{2}$
Извлечем квадратный корень из обеих частей:
$x = \pm\sqrt{\frac{35}{2}} = \pm\frac{\sqrt{35}}{\sqrt{2}}$
Избавимся от иррациональности в знаменателе, умножив числитель и знаменатель на $\sqrt{2}$:
$x = \pm\frac{\sqrt{35} \cdot \sqrt{2}}{\sqrt{2} \cdot \sqrt{2}} = \pm\frac{\sqrt{70}}{2}$.
Ответ: $-\frac{\sqrt{70}}{2}; \frac{\sqrt{70}}{2}$.
г) $x(3x - 4) = 2(5 - 2x)$
Раскроем скобки в обеих частях:
$3x^2 - 4x = 10 - 4x$
Прибавим $4x$ к обеим частям:
$3x^2 = 10$
Разделим обе части на 3:
$x^2 = \frac{10}{3}$
Извлечем квадратный корень из обеих частей:
$x = \pm\sqrt{\frac{10}{3}} = \pm\frac{\sqrt{10}}{\sqrt{3}}$
Избавимся от иррациональности в знаменателе, умножив числитель и знаменатель на $\sqrt{3}$:
$x = \pm\frac{\sqrt{10} \cdot \sqrt{3}}{\sqrt{3} \cdot \sqrt{3}} = \pm\frac{\sqrt{30}}{3}$.
Ответ: $-\frac{\sqrt{30}}{3}; \frac{\sqrt{30}}{3}$.
д) $(x + 2)^2 = 4(x + 4)$
Раскроем скобки в обеих частях уравнения:
$x^2 + 4x + 4 = 4x + 16$
Вычтем $4x$ из обеих частей:
$x^2 + 4 = 16$
Перенесем 4 в правую часть:
$x^2 = 16 - 4$
$x^2 = 12$
Извлечем квадратный корень из обеих частей:
$x = \pm\sqrt{12}$
Упростим корень: $x = \pm\sqrt{4 \cdot 3} = \pm2\sqrt{3}$.
Ответ: $-2\sqrt{3}; 2\sqrt{3}$.
е) $4(x - 1)^2 = (x + 2)^2$
Извлечем квадратный корень из обеих частей уравнения:
$\sqrt{4(x - 1)^2} = \sqrt{(x + 2)^2}$
$2(x - 1) = \pm(x + 2)$
Это приводит к двум независимым уравнениям:
1) $2(x - 1) = x + 2$
$2x - 2 = x + 2$
$2x - x = 2 + 2$
$x_1 = 4$
2) $2(x - 1) = -(x + 2)$
$2x - 2 = -x - 2$
$2x + x = -2 + 2$
$3x = 0$
$x_2 = 0$
Ответ: $0; 4$.
ж) $(3x - 1)^2 = 3(1 - 2x)$
Раскроем скобки:
$9x^2 - 6x + 1 = 3 - 6x$
Прибавим $6x$ к обеим частям:
$9x^2 + 1 = 3$
Перенесем 1 в правую часть:
$9x^2 = 3 - 1$
$9x^2 = 2$
Разделим обе части на 9:
$x^2 = \frac{2}{9}$
Извлечем квадратный корень из обеих частей:
$x = \pm\sqrt{\frac{2}{9}} = \pm\frac{\sqrt{2}}{3}$.
Ответ: $-\frac{\sqrt{2}}{3}; \frac{\sqrt{2}}{3}$.
з) $(x + 3)^2 = 3(x + 1)^2$
Раскроем скобки в обеих частях:
$x^2 + 6x + 9 = 3(x^2 + 2x + 1)$
$x^2 + 6x + 9 = 3x^2 + 6x + 3$
Вычтем $6x$ из обеих частей:
$x^2 + 9 = 3x^2 + 3$
Перенесем члены с $x^2$ вправо, а константы влево:
$9 - 3 = 3x^2 - x^2$
$6 = 2x^2$
Разделим обе части на 2:
$3 = x^2$
Извлечем квадратный корень из обеих частей:
$x = \pm\sqrt{3}$.
Ответ: $-\sqrt{3}; \sqrt{3}$.
Другие задания:
Помогло решение? Оставьте отзыв в комментариях ниже.
Присоединяйтесь к Телеграм-группе @top_gdz
ПрисоединитьсяМы подготовили для вас ответ c подробным объяснением домашего задания по алгебре за 8 класс, для упражнения номер 3.73 расположенного на странице 137 к учебнику 2023 года издания для учащихся школ и гимназий.
Теперь на нашем сайте ГДЗ.ТОП вы всегда легко и бесплатно найдёте условие с правильным ответом на вопрос «Как решить ДЗ» и «Как сделать» задание по алгебре к упражнению №3.73 (с. 137), авторов: Дорофеев (Георгий Владимирович), Суворова (Светлана Борисовна), Бунимович (Евгений Абрамович), Кузнецова (Людмила Викторовна), Минаева (Светлана Станиславовна), Рослова (Лариса Олеговна), ФГОС (новый, красный) базовый уровень обучения учебного пособия издательства Просвещение.