Номер 4.40, страница 176 - гдз по алгебре 8 класс учебник Дорофеев, Суворова

Авторы: Дорофеев Г. В., Суворова С. Б., Бунимович Е. А., Кузнецова Л. В., Минаева С. С., Рослова Л. О.
Тип: Учебник
Издательство: Просвещение
Год издания: 2023 - 2025
Уровень обучения: базовый
Цвет обложки: белый, голубой, оранжевый
ISBN: 978-5-09-106180-2
Популярные ГДЗ в 8 классе
4.3. Уравнение прямой вида у = kx + l. Глава 4. Системы уравнений - номер 4.40, страница 176.
№4.40 (с. 176)
Условие. №4.40 (с. 176)
скриншот условия

4.40 Для каждой прямой назовите угловой коэффициент и ординату точки, в которой прямая пересекает ось y, и постройте эту прямую.
1)
a) $y = x + 2$;
б) $y = x - 1$;
в) $y = 2x - 4$;
г) $y = \frac{2}{3}x + 2$;
д) $y = 0,5x - 3$;
е) $y = \frac{x}{2} + 1$.
2)
a) $y = -x + 3$;
б) $y = -x - 1$;
в) $y = -2x + 2$;
г) $y = 4 - \frac{1}{2}x$;
д) $y = -0,4x - 2$;
е) $y = 6 - 3x$.
Решение 2. №4.40 (с. 176)












Решение 3. №4.40 (с. 176)


Решение 4. №4.40 (с. 176)
Уравнение прямой в общем виде записывается как $y = kx + b$, где $k$ — это угловой коэффициент, а $b$ — это ордината точки пересечения прямой с осью $y$. Угловой коэффициент $k$ показывает наклон прямой: если $k > 0$, прямая возрастает (идет вверх слева направо); если $k < 0$, прямая убывает (идет вниз слева направо). Точка пересечения с осью $y$ имеет координаты $(0, b)$.
Для построения прямой достаточно найти две точки, принадлежащие ей, и провести через них линию. Одной точкой всегда будет точка пересечения с осью $y$, то есть $(0, b)$. Вторую точку можно найти, подставив в уравнение любое удобное значение $x$ и вычислив соответствующее значение $y$.
1)
а) $y = x + 2$
В этом уравнении угловой коэффициент $k = 1$, а ордината точки пересечения с осью $y$ равна $b = 2$.
Для построения графика найдем две точки:
1. Точка пересечения с осью $y$: $(0, 2)$.
2. Возьмем $x = 1$, тогда $y = 1 + 2 = 3$. Вторая точка: $(1, 3)$.
Проводим прямую через точки $(0, 2)$ и $(1, 3)$.
Ответ: угловой коэффициент $k = 1$; ордината точки пересечения с осью $y$ равна $2$.
б) $y = x - 1$
В этом уравнении угловой коэффициент $k = 1$, а ордината точки пересечения с осью $y$ равна $b = -1$.
Для построения графика найдем две точки:
1. Точка пересечения с осью $y$: $(0, -1)$.
2. Возьмем $x = 2$, тогда $y = 2 - 1 = 1$. Вторая точка: $(2, 1)$.
Проводим прямую через точки $(0, -1)$ и $(2, 1)$.
Ответ: угловой коэффициент $k = 1$; ордината точки пересечения с осью $y$ равна $-1$.
в) $y = 2x - 4$
В этом уравнении угловой коэффициент $k = 2$, а ордината точки пересечения с осью $y$ равна $b = -4$.
Для построения графика найдем две точки:
1. Точка пересечения с осью $y$: $(0, -4)$.
2. Возьмем $x = 1$, тогда $y = 2 \cdot 1 - 4 = -2$. Вторая точка: $(1, -2)$.
Проводим прямую через точки $(0, -4)$ и $(1, -2)$.
Ответ: угловой коэффициент $k = 2$; ордината точки пересечения с осью $y$ равна $-4$.
г) $y = \frac{2}{3}x + 2$
В этом уравнении угловой коэффициент $k = \frac{2}{3}$, а ордината точки пересечения с осью $y$ равна $b = 2$.
Для построения графика найдем две точки:
1. Точка пересечения с осью $y$: $(0, 2)$.
2. Возьмем $x = 3$, тогда $y = \frac{2}{3} \cdot 3 + 2 = 2 + 2 = 4$. Вторая точка: $(3, 4)$.
Проводим прямую через точки $(0, 2)$ и $(3, 4)$.
Ответ: угловой коэффициент $k = \frac{2}{3}$; ордината точки пересечения с осью $y$ равна $2$.
д) $y = 0,5x - 3$
В этом уравнении угловой коэффициент $k = 0,5$, а ордината точки пересечения с осью $y$ равна $b = -3$.
Для построения графика найдем две точки:
1. Точка пересечения с осью $y$: $(0, -3)$.
2. Возьмем $x = 2$, тогда $y = 0,5 \cdot 2 - 3 = 1 - 3 = -2$. Вторая точка: $(2, -2)$.
Проводим прямую через точки $(0, -3)$ и $(2, -2)$.
Ответ: угловой коэффициент $k = 0,5$; ордината точки пересечения с осью $y$ равна $-3$.
е) $y = \frac{x}{2} + 1$
Перепишем уравнение в виде $y = \frac{1}{2}x + 1$. Угловой коэффициент $k = \frac{1}{2}$, а ордината точки пересечения с осью $y$ равна $b = 1$.
Для построения графика найдем две точки:
1. Точка пересечения с осью $y$: $(0, 1)$.
2. Возьмем $x = 2$, тогда $y = \frac{2}{2} + 1 = 1 + 1 = 2$. Вторая точка: $(2, 2)$.
Проводим прямую через точки $(0, 1)$ и $(2, 2)$.
Ответ: угловой коэффициент $k = \frac{1}{2}$; ордината точки пересечения с осью $y$ равна $1$.
2)
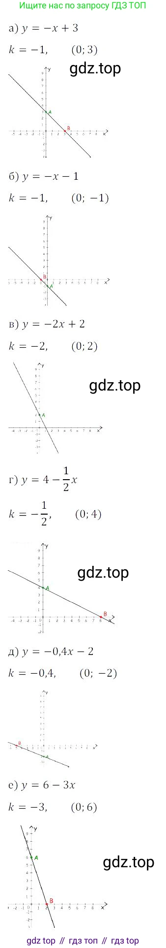
а) $y = -x + 3$
В этом уравнении угловой коэффициент $k = -1$, а ордината точки пересечения с осью $y$ равна $b = 3$.
Для построения графика найдем две точки:
1. Точка пересечения с осью $y$: $(0, 3)$.
2. Возьмем $x = 1$, тогда $y = -1 + 3 = 2$. Вторая точка: $(1, 2)$.
Проводим прямую через точки $(0, 3)$ и $(1, 2)$.
Ответ: угловой коэффициент $k = -1$; ордината точки пересечения с осью $y$ равна $3$.
б) $y = -x - 1$
В этом уравнении угловой коэффициент $k = -1$, а ордината точки пересечения с осью $y$ равна $b = -1$.
Для построения графика найдем две точки:
1. Точка пересечения с осью $y$: $(0, -1)$.
2. Возьмем $x = 1$, тогда $y = -1 - 1 = -2$. Вторая точка: $(1, -2)$.
Проводим прямую через точки $(0, -1)$ и $(1, -2)$.
Ответ: угловой коэффициент $k = -1$; ордината точки пересечения с осью $y$ равна $-1$.
в) $y = -2x + 2$
В этом уравнении угловой коэффициент $k = -2$, а ордината точки пересечения с осью $y$ равна $b = 2$.
Для построения графика найдем две точки:
1. Точка пересечения с осью $y$: $(0, 2)$.
2. Возьмем $x = 1$, тогда $y = -2 \cdot 1 + 2 = 0$. Вторая точка: $(1, 0)$.
Проводим прямую через точки $(0, 2)$ и $(1, 0)$.
Ответ: угловой коэффициент $k = -2$; ордината точки пересечения с осью $y$ равна $2$.
г) $y = 4 - \frac{1}{2}x$
Перепишем уравнение в виде $y = -\frac{1}{2}x + 4$. Угловой коэффициент $k = -\frac{1}{2}$, а ордината точки пересечения с осью $y$ равна $b = 4$.
Для построения графика найдем две точки:
1. Точка пересечения с осью $y$: $(0, 4)$.
2. Возьмем $x = 2$, тогда $y = -\frac{1}{2} \cdot 2 + 4 = -1 + 4 = 3$. Вторая точка: $(2, 3)$.
Проводим прямую через точки $(0, 4)$ и $(2, 3)$.
Ответ: угловой коэффициент $k = -\frac{1}{2}$; ордината точки пересечения с осью $y$ равна $4$.
д) $y = -0,4x - 2$
В этом уравнении угловой коэффициент $k = -0,4$, а ордината точки пересечения с осью $y$ равна $b = -2$.
Для построения графика найдем две точки:
1. Точка пересечения с осью $y$: $(0, -2)$.
2. Возьмем $x = 5$, тогда $y = -0,4 \cdot 5 - 2 = -2 - 2 = -4$. Вторая точка: $(5, -4)$.
Проводим прямую через точки $(0, -2)$ и $(5, -4)$.
Ответ: угловой коэффициент $k = -0,4$; ордината точки пересечения с осью $y$ равна $-2$.
е) $y = 6 - 3x$
Перепишем уравнение в виде $y = -3x + 6$. Угловой коэффициент $k = -3$, а ордината точки пересечения с осью $y$ равна $b = 6$.
Для построения графика найдем две точки:
1. Точка пересечения с осью $y$: $(0, 6)$.
2. Возьмем $x = 1$, тогда $y = -3 \cdot 1 + 6 = 3$. Вторая точка: $(1, 3)$.
Проводим прямую через точки $(0, 6)$ и $(1, 3)$.
Ответ: угловой коэффициент $k = -3$; ордината точки пересечения с осью $y$ равна $6$.
Другие задания:
Помогло решение? Оставьте отзыв в комментариях ниже.
Присоединяйтесь к Телеграм-группе @top_gdz
ПрисоединитьсяМы подготовили для вас ответ c подробным объяснением домашего задания по алгебре за 8 класс, для упражнения номер 4.40 расположенного на странице 176 к учебнику 2023 года издания для учащихся школ и гимназий.
Теперь на нашем сайте ГДЗ.ТОП вы всегда легко и бесплатно найдёте условие с правильным ответом на вопрос «Как решить ДЗ» и «Как сделать» задание по алгебре к упражнению №4.40 (с. 176), авторов: Дорофеев (Георгий Владимирович), Суворова (Светлана Борисовна), Бунимович (Евгений Абрамович), Кузнецова (Людмила Викторовна), Минаева (Светлана Станиславовна), Рослова (Лариса Олеговна), ФГОС (новый, красный) базовый уровень обучения учебного пособия издательства Просвещение.