Номер 4.69, страница 189 - гдз по алгебре 8 класс учебник Дорофеев, Суворова

Авторы: Дорофеев Г. В., Суворова С. Б., Бунимович Е. А., Кузнецова Л. В., Минаева С. С., Рослова Л. О.
Тип: Учебник
Издательство: Просвещение
Год издания: 2023 - 2025
Уровень обучения: базовый
Цвет обложки: белый, голубой, оранжевый
ISBN: 978-5-09-106180-2
Популярные ГДЗ в 8 классе
4.5. Решение систем уравнений способом подстановки. Глава 4. Системы уравнений - номер 4.69, страница 189.
№4.69 (с. 189)
Условие. №4.69 (с. 189)
скриншот условия

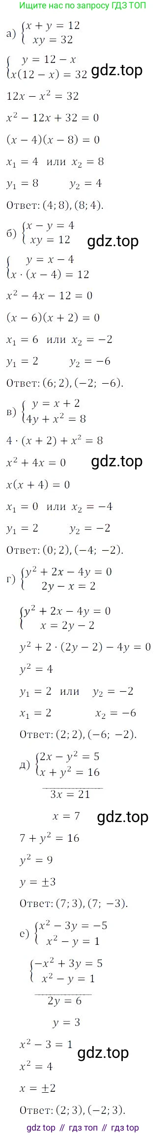
4.69 Решите систему уравнений:
а) $\begin{cases} x + y = 12 \\ xy = 32; \end{cases}$
б) $\begin{cases} x - y = 4 \\ xy = 12; \end{cases}$
в) $\begin{cases} y = x + 2 \\ 4y + x^2 = 8; \end{cases}$
г) $\begin{cases} y^2 + 2x - 4y = 0 \\ 2y - x = 2; \end{cases}$
д) $\begin{cases} 2x - y^2 = 5 \\ x + y^2 = 16; \end{cases}$
е) $\begin{cases} x^2 - 3y = -5 \\ x^2 - y = 1. \end{cases}$
Решение 2. №4.69 (с. 189)






Решение 3. №4.69 (с. 189)

Решение 4. №4.69 (с. 189)
а)
Дана система уравнений:$\begin{cases}x + y = 12 \\xy = 32\end{cases}$
Это симметричная система, которую можно решить с помощью теоремы, обратной теореме Виета. Переменные $x$ и $y$ являются корнями квадратного уравнения $t^2 - (x+y)t + xy = 0$.
Подставим значения из системы:$t^2 - 12t + 32 = 0$
Решим это квадратное уравнение через дискриминант:$D = b^2 - 4ac = (-12)^2 - 4 \cdot 1 \cdot 32 = 144 - 128 = 16$$t_{1,2} = \frac{-b \pm \sqrt{D}}{2a} = \frac{12 \pm \sqrt{16}}{2} = \frac{12 \pm 4}{2}$
Корни уравнения:$t_1 = \frac{12 + 4}{2} = 8$$t_2 = \frac{12 - 4}{2} = 4$
Так как система симметрична, пары решений $(x, y)$ будут $(8, 4)$ и $(4, 8)$.
Ответ: (8; 4), (4; 8).
б)
Дана система уравнений:$\begin{cases}x - y = 4 \\xy = 12\end{cases}$
Выразим $x$ из первого уравнения: $x = 4 + y$.
Подставим это выражение во второе уравнение:$(4 + y)y = 12$
Раскроем скобки и приведем уравнение к стандартному виду:$4y + y^2 = 12$$y^2 + 4y - 12 = 0$
Решим полученное квадратное уравнение. Найдем дискриминант:$D = b^2 - 4ac = 4^2 - 4 \cdot 1 \cdot (-12) = 16 + 48 = 64$$y_{1,2} = \frac{-b \pm \sqrt{D}}{2a} = \frac{-4 \pm \sqrt{64}}{2} = \frac{-4 \pm 8}{2}$
Корни для $y$:$y_1 = \frac{-4 + 8}{2} = 2$$y_2 = \frac{-4 - 8}{2} = -6$
Теперь найдем соответствующие значения $x$, используя $x = 4 + y$:
Если $y_1 = 2$, то $x_1 = 4 + 2 = 6$.
Если $y_2 = -6$, то $x_2 = 4 + (-6) = -2$.
Ответ: (6; 2), (-2; -6).
в)
Дана система уравнений:$\begin{cases}y = x + 2 \\4y + x^2 = 8\end{cases}$
Подставим выражение для $y$ из первого уравнения во второе (метод подстановки):$4(x + 2) + x^2 = 8$
Раскроем скобки и упростим уравнение:$4x + 8 + x^2 = 8$$x^2 + 4x = 0$
Это неполное квадратное уравнение. Вынесем $x$ за скобки:$x(x + 4) = 0$
Произведение равно нулю, когда один из множителей равен нулю:$x_1 = 0$ или $x + 4 = 0 \Rightarrow x_2 = -4$.
Найдем соответствующие значения $y$ по формуле $y = x + 2$:
Если $x_1 = 0$, то $y_1 = 0 + 2 = 2$.
Если $x_2 = -4$, то $y_2 = -4 + 2 = -2$.
Ответ: (0; 2), (-4; -2).
г)
Дана система уравнений:$\begin{cases}y^2 + 2x - 4y = 0 \\2y - x = 2\end{cases}$
Из второго уравнения выразим $x$:$2y - 2 = x$, то есть $x = 2y - 2$.
Подставим это выражение в первое уравнение:$y^2 + 2(2y - 2) - 4y = 0$
Раскроем скобки и приведем подобные слагаемые:$y^2 + 4y - 4 - 4y = 0$$y^2 - 4 = 0$
Решим это простое уравнение:$y^2 = 4$$y_1 = 2$, $y_2 = -2$.
Найдем соответствующие значения $x$ по формуле $x = 2y - 2$:
Если $y_1 = 2$, то $x_1 = 2(2) - 2 = 4 - 2 = 2$.
Если $y_2 = -2$, то $x_2 = 2(-2) - 2 = -4 - 2 = -6$.
Ответ: (2; 2), (-6; -2).
д)
Дана система уравнений:$\begin{cases}2x - y^2 = 5 \\x + y^2 = 16\end{cases}$
Воспользуемся методом сложения, так как коэффициенты при $y^2$ противоположны. Сложим левые и правые части уравнений:$(2x - y^2) + (x + y^2) = 5 + 16$$3x = 21$
Отсюда находим $x$:$x = \frac{21}{3} = 7$
Подставим найденное значение $x=7$ во второе уравнение системы, чтобы найти $y$:$7 + y^2 = 16$$y^2 = 16 - 7$$y^2 = 9$
Отсюда $y$ имеет два значения:$y_1 = 3$ и $y_2 = -3$.
Ответ: (7; 3), (7; -3).
е)
Дана система уравнений:$\begin{cases}x^2 - 3y = -5 \\x^2 - y = 1\end{cases}$
Воспользуемся методом вычитания, чтобы исключить $x^2$. Вычтем из первого уравнения второе:$(x^2 - 3y) - (x^2 - y) = -5 - 1$$x^2 - 3y - x^2 + y = -6$$-2y = -6$
Отсюда находим $y$:$y = \frac{-6}{-2} = 3$
Подставим найденное значение $y=3$ во второе уравнение системы, чтобы найти $x$:$x^2 - 3 = 1$$x^2 = 1 + 3$$x^2 = 4$
Отсюда $x$ имеет два значения:$x_1 = 2$ и $x_2 = -2$.
Ответ: (2; 3), (-2; 3).
Другие задания:
Помогло решение? Оставьте отзыв в комментариях ниже.
Присоединяйтесь к Телеграм-группе @top_gdz
ПрисоединитьсяМы подготовили для вас ответ c подробным объяснением домашего задания по алгебре за 8 класс, для упражнения номер 4.69 расположенного на странице 189 к учебнику 2023 года издания для учащихся школ и гимназий.
Теперь на нашем сайте ГДЗ.ТОП вы всегда легко и бесплатно найдёте условие с правильным ответом на вопрос «Как решить ДЗ» и «Как сделать» задание по алгебре к упражнению №4.69 (с. 189), авторов: Дорофеев (Георгий Владимирович), Суворова (Светлана Борисовна), Бунимович (Евгений Абрамович), Кузнецова (Людмила Викторовна), Минаева (Светлана Станиславовна), Рослова (Лариса Олеговна), ФГОС (новый, красный) базовый уровень обучения учебного пособия издательства Просвещение.