Номер 4.71, страница 189 - гдз по алгебре 8 класс учебник Дорофеев, Суворова

Авторы: Дорофеев Г. В., Суворова С. Б., Бунимович Е. А., Кузнецова Л. В., Минаева С. С., Рослова Л. О.
Тип: Учебник
Издательство: Просвещение
Год издания: 2023 - 2025
Уровень обучения: базовый
Цвет обложки: белый, голубой, оранжевый
ISBN: 978-5-09-106180-2
Популярные ГДЗ в 8 классе
4.5. Решение систем уравнений способом подстановки. Глава 4. Системы уравнений - номер 4.71, страница 189.
№4.71 (с. 189)
Условие. №4.71 (с. 189)
скриншот условия

4.71 Решите систему уравнений:
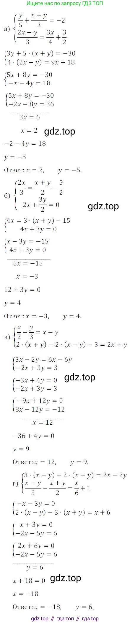
a) $\begin{cases} \frac{y}{5} + \frac{x+y}{3} = -2 \\ \frac{2x-y}{3} = \frac{3x}{4} + \frac{3}{2} \end{cases}$
б) $\begin{cases} \frac{2x}{3} = \frac{x+y}{2} - \frac{5}{2} \\ 2x + \frac{3y}{2} = 0 \end{cases}$
в) $\begin{cases} \frac{x}{2} - \frac{y}{3} = x - y \\ 2(x+y) - 2(x-y) - 3 = 2x + y \end{cases}$
г) $\begin{cases} 3(x-y) - 2(x+y) = 2x - 2y \\ \frac{x-y}{3} - \frac{x+y}{2} = \frac{x}{6} + 1 \end{cases}$
Решение 2. №4.71 (с. 189)




Решение 3. №4.71 (с. 189)

Решение 4. №4.71 (с. 189)
а)
Исходная система:
$ \begin{cases} \frac{y}{5} + \frac{x+y}{3} = -2 \\ \frac{2x-y}{3} = \frac{3x}{4} + \frac{3}{2} \end{cases} $
Упростим каждое уравнение, избавившись от знаменателей.
1. Умножим первое уравнение на общий знаменатель 15:
$ 15 \cdot (\frac{y}{5} + \frac{x+y}{3}) = 15 \cdot (-2) $
$ 3y + 5(x+y) = -30 $
$ 3y + 5x + 5y = -30 $
$ 5x + 8y = -30 $
2. Умножим второе уравнение на общий знаменатель 12:
$ 12 \cdot (\frac{2x-y}{3}) = 12 \cdot (\frac{3x}{4} + \frac{3}{2}) $
$ 4(2x-y) = 3(3x) + 6(3) $
$ 8x - 4y = 9x + 18 $
$ 8x - 9x - 4y = 18 $
$ -x - 4y = 18 $
Получили новую, более простую систему:
$ \begin{cases} 5x + 8y = -30 \\ -x - 4y = 18 \end{cases} $
Из второго уравнения выразим $x$: $x = -18 - 4y$.
Подставим это выражение в первое уравнение:
$ 5(-18 - 4y) + 8y = -30 $
$ -90 - 20y + 8y = -30 $
$ -12y = 60 $
$ y = -5 $
Теперь найдем $x$:
$ x = -18 - 4(-5) = -18 + 20 = 2 $
Ответ: $(2; -5)$
б)
Исходная система:
$ \begin{cases} \frac{2x}{3} = \frac{x+y}{2} - \frac{5}{2} \\ 2x + \frac{3y}{2} = 0 \end{cases} $
Упростим каждое уравнение.
1. Умножим первое уравнение на общий знаменатель 6:
$ 6 \cdot (\frac{2x}{3}) = 6 \cdot (\frac{x+y}{2} - \frac{5}{2}) $
$ 2(2x) = 3(x+y) - 3(5) $
$ 4x = 3x + 3y - 15 $
$ x - 3y = -15 $
2. Умножим второе уравнение на 2:
$ 2 \cdot (2x + \frac{3y}{2}) = 2 \cdot 0 $
$ 4x + 3y = 0 $
Получили систему:
$ \begin{cases} x - 3y = -15 \\ 4x + 3y = 0 \end{cases} $
Сложим два уравнения, чтобы исключить $y$:
$ (x - 3y) + (4x + 3y) = -15 + 0 $
$ 5x = -15 $
$ x = -3 $
Подставим значение $x$ во второе упрощенное уравнение:
$ 4(-3) + 3y = 0 $
$ -12 + 3y = 0 $
$ 3y = 12 $
$ y = 4 $
Ответ: $(-3; 4)$
в)
Исходная система:
$ \begin{cases} \frac{x}{2} - \frac{y}{3} = x-y \\ 2(x+y) - 2(x-y) - 3 = 2x + y \end{cases} $
Упростим каждое уравнение.
1. Умножим первое уравнение на 6:
$ 6 \cdot (\frac{x}{2} - \frac{y}{3}) = 6 \cdot (x-y) $
$ 3x - 2y = 6x - 6y $
$ 6y - 2y = 6x - 3x $
$ 4y = 3x $ или $3x - 4y = 0$
2. Раскроем скобки во втором уравнении:
$ 2x + 2y - 2x + 2y - 3 = 2x + y $
$ 4y - 3 = 2x + y $
$ 4y - y - 2x = 3 $
$ 3y - 2x = 3 $
Получили систему:
$ \begin{cases} 3x - 4y = 0 \\ -2x + 3y = 3 \end{cases} $
Из первого уравнения выразим $x$: $3x = 4y \implies x = \frac{4y}{3}$.
Подставим во второе уравнение:
$ -2(\frac{4y}{3}) + 3y = 3 $
$ -\frac{8y}{3} + 3y = 3 $
Умножим на 3:
$ -8y + 9y = 9 $
$ y = 9 $
Теперь найдем $x$:
$ x = \frac{4 \cdot 9}{3} = 4 \cdot 3 = 12 $
Ответ: $(12; 9)$
г)
Исходная система:
$ \begin{cases} 3(x-y) - 2(x+y) = 2x-2y \\ \frac{x-y}{3} - \frac{x+y}{2} = \frac{x}{6} + 1 \end{cases} $
Упростим каждое уравнение.
1. Раскроем скобки в первом уравнении:
$ 3x - 3y - 2x - 2y = 2x - 2y $
$ x - 5y = 2x - 2y $
$ x - 2x = 5y - 2y $
$ -x = 3y $ или $x + 3y = 0$
2. Умножим второе уравнение на 6:
$ 6 \cdot (\frac{x-y}{3} - \frac{x+y}{2}) = 6 \cdot (\frac{x}{6} + 1) $
$ 2(x-y) - 3(x+y) = x + 6 $
$ 2x - 2y - 3x - 3y = x + 6 $
$ -x - 5y = x + 6 $
$ -2x - 5y = 6 $
Получили систему:
$ \begin{cases} x + 3y = 0 \\ -2x - 5y = 6 \end{cases} $
Из первого уравнения выразим $x$: $x = -3y$.
Подставим это выражение во второе уравнение:
$ -2(-3y) - 5y = 6 $
$ 6y - 5y = 6 $
$ y = 6 $
Теперь найдем $x$:
$ x = -3 \cdot 6 = -18 $
Ответ: $(-18; 6)$
Другие задания:
Помогло решение? Оставьте отзыв в комментариях ниже.
Присоединяйтесь к Телеграм-группе @top_gdz
ПрисоединитьсяМы подготовили для вас ответ c подробным объяснением домашего задания по алгебре за 8 класс, для упражнения номер 4.71 расположенного на странице 189 к учебнику 2023 года издания для учащихся школ и гимназий.
Теперь на нашем сайте ГДЗ.ТОП вы всегда легко и бесплатно найдёте условие с правильным ответом на вопрос «Как решить ДЗ» и «Как сделать» задание по алгебре к упражнению №4.71 (с. 189), авторов: Дорофеев (Георгий Владимирович), Суворова (Светлана Борисовна), Бунимович (Евгений Абрамович), Кузнецова (Людмила Викторовна), Минаева (Светлана Станиславовна), Рослова (Лариса Олеговна), ФГОС (новый, красный) базовый уровень обучения учебного пособия издательства Просвещение.