Номер 6.12, страница 253 - гдз по алгебре 8 класс учебник Дорофеев, Суворова

Авторы: Дорофеев Г. В., Суворова С. Б., Бунимович Е. А., Кузнецова Л. В., Минаева С. С., Рослова Л. О.
Тип: Учебник
Издательство: Просвещение
Год издания: 2023 - 2025
Уровень обучения: базовый
Цвет обложки: белый, голубой, оранжевый
ISBN: 978-5-09-106180-2
Популярные ГДЗ в 8 классе
6.1. Свойства числовых неравенств. Глава 6. Неравенства - номер 6.12, страница 253.
№6.12 (с. 253)
Условие. №6.12 (с. 253)
скриншот условия

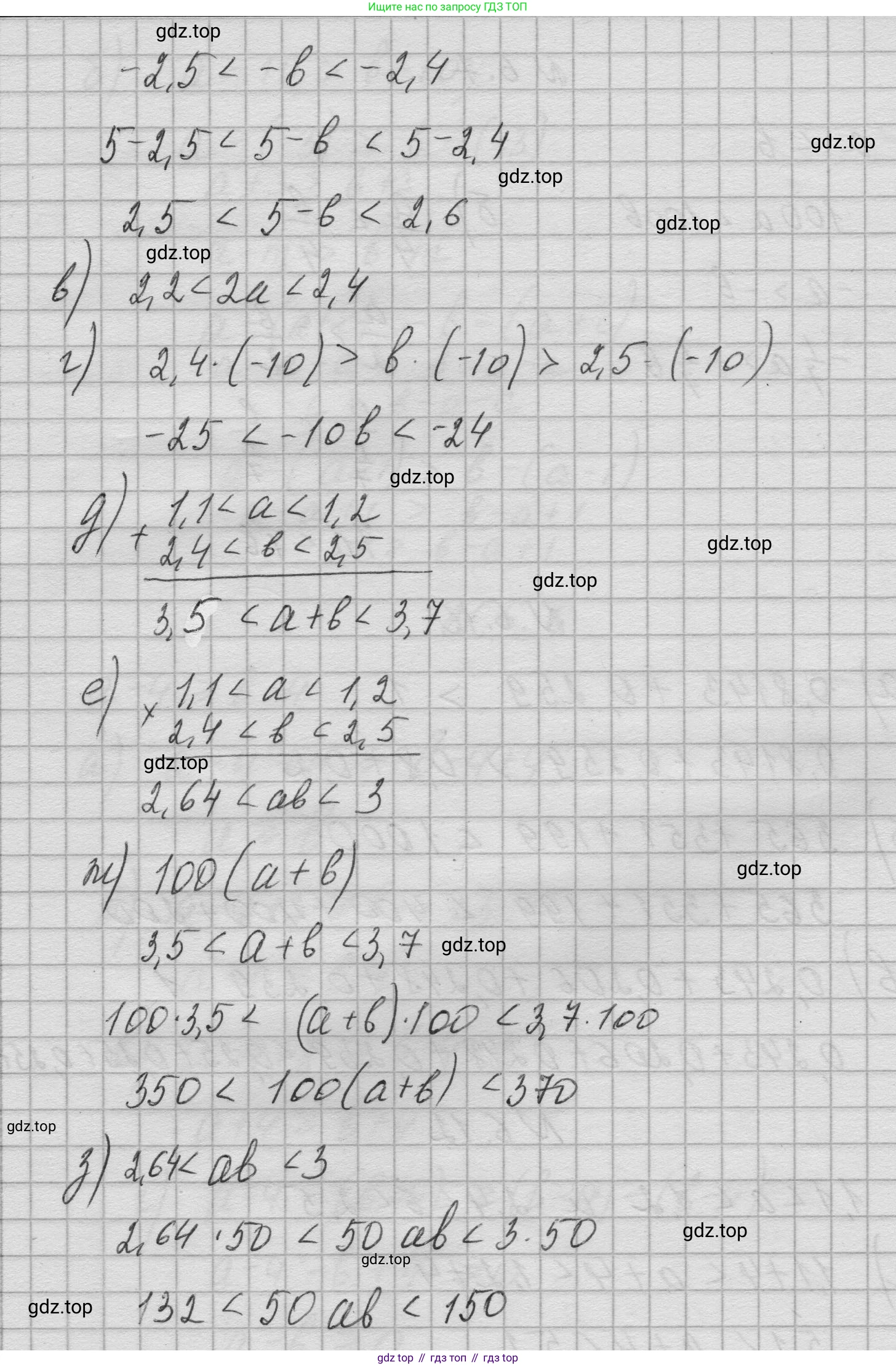
6.12 Известно, что $1,1 < a < 1,2$ и $2,4 < b < 2,5$. Оцените:
а) $a + 4$;
б) $5 - b$;
в) $2a$;
г) $-10b$;
д) $a + b$;
е) $ab$;
ж) $100(a + b)$;
з) $50ab$.
Решение 1. №6.12 (с. 253)


Решение 4. №6.12 (с. 253)
а) a + 4
Дано неравенство $1.1 < a < 1.2$. Чтобы оценить выражение $a + 4$, нужно прибавить число 4 к каждой части неравенства. Свойства неравенств позволяют это сделать, при этом знак неравенства не изменится.
$1.1 + 4 < a + 4 < 1.2 + 4$
Выполнив сложение, получаем:
$5.1 < a + 4 < 5.2$
Ответ: $5.1 < a + 4 < 5.2$.
б) 5 – b
Дано неравенство $2.4 < b < 2.5$. Сначала оценим выражение $-b$. Для этого умножим все части неравенства на $-1$. При умножении на отрицательное число знак неравенства меняется на противоположный.
$2.4 \cdot (-1) > b \cdot (-1) > 2.5 \cdot (-1)$
$-2.4 > -b > -2.5$
Для удобства запишем неравенство в стандартном виде (от меньшего к большему):
$-2.5 < -b < -2.4$
Теперь, чтобы оценить $5 - b$, прибавим 5 к каждой части полученного неравенства:
$5 - 2.5 < 5 - b < 5 - 2.4$
$2.5 < 5 - b < 2.6$
Ответ: $2.5 < 5 - b < 2.6$.
в) 2a
Дано неравенство $1.1 < a < 1.2$. Чтобы оценить выражение $2a$, умножим все части неравенства на 2. Так как 2 — положительное число, знак неравенства не изменится.
$1.1 \cdot 2 < a \cdot 2 < 1.2 \cdot 2$
$2.2 < 2a < 2.4$
Ответ: $2.2 < 2a < 2.4$.
г) -10b
Дано неравенство $2.4 < b < 2.5$. Чтобы оценить выражение $-10b$, умножим все части неравенства на $-10$. При умножении на отрицательное число знак неравенства меняется на противоположный.
$2.4 \cdot (-10) > b \cdot (-10) > 2.5 \cdot (-10)$
$-24 > -10b > -25$
Запишем неравенство в стандартном виде:
$-25 < -10b < -24$
Ответ: $-25 < -10b < -24$.
д) a + b
Имеем два неравенства: $1.1 < a < 1.2$ и $2.4 < b < 2.5$. Чтобы оценить сумму $a + b$, можно почленно сложить эти неравенства, так как они одного знака.
$1.1 + 2.4 < a + b < 1.2 + 2.5$
$3.5 < a + b < 3.7$
Ответ: $3.5 < a + b < 3.7$.
е) ab
Имеем два неравенства: $1.1 < a < 1.2$ и $2.4 < b < 2.5$. Так как все части обоих неравенств являются положительными числами, мы можем их почленно перемножить.
$1.1 \cdot 2.4 < ab < 1.2 \cdot 2.5$
Вычислим произведения:
$1.1 \cdot 2.4 = 2.64$
$1.2 \cdot 2.5 = 3$
Следовательно:
$2.64 < ab < 3$
Ответ: $2.64 < ab < 3$.
ж) 100(a + b)
Из пункта д) мы знаем оценку для суммы $a + b$: $3.5 < a + b < 3.7$. Чтобы оценить выражение $100(a + b)$, умножим все части этого неравенства на 100. Знак неравенства не изменится.
$3.5 \cdot 100 < 100(a + b) < 3.7 \cdot 100$
$350 < 100(a + b) < 370$
Ответ: $350 < 100(a + b) < 370$.
з) 50ab
Из пункта е) мы знаем оценку для произведения $ab$: $2.64 < ab < 3$. Чтобы оценить выражение $50ab$, умножим все части этого неравенства на 50. Знак неравенства не изменится.
$2.64 \cdot 50 < 50ab < 3 \cdot 50$
Вычислим произведения:
$2.64 \cdot 50 = 132$
$3 \cdot 50 = 150$
Следовательно:
$132 < 50ab < 150$
Ответ: $132 < 50ab < 150$.
Другие задания:
Помогло решение? Оставьте отзыв в комментариях ниже.
Присоединяйтесь к Телеграм-группе @top_gdz
ПрисоединитьсяМы подготовили для вас ответ c подробным объяснением домашего задания по алгебре за 8 класс, для упражнения номер 6.12 расположенного на странице 253 к учебнику 2023 года издания для учащихся школ и гимназий.
Теперь на нашем сайте ГДЗ.ТОП вы всегда легко и бесплатно найдёте условие с правильным ответом на вопрос «Как решить ДЗ» и «Как сделать» задание по алгебре к упражнению №6.12 (с. 253), авторов: Дорофеев (Георгий Владимирович), Суворова (Светлана Борисовна), Бунимович (Евгений Абрамович), Кузнецова (Людмила Викторовна), Минаева (Светлана Станиславовна), Рослова (Лариса Олеговна), ФГОС (новый, красный) базовый уровень обучения учебного пособия издательства Просвещение.