Номер 6.18, страница 256 - гдз по алгебре 8 класс учебник Дорофеев, Суворова

Авторы: Дорофеев Г. В., Суворова С. Б., Бунимович Е. А., Кузнецова Л. В., Минаева С. С., Рослова Л. О.
Тип: Учебник
Издательство: Просвещение
Год издания: 2023 - 2025
Уровень обучения: базовый
Цвет обложки: белый, голубой, оранжевый
ISBN: 978-5-09-106180-2
Популярные ГДЗ в 8 классе
6.2. Решение линейных неравенств. Глава 6. Неравенства - номер 6.18, страница 256.
№6.18 (с. 256)
Условие. №6.18 (с. 256)
скриншот условия

6.18 Решите неравенство и изобразите множество решений на координатной прямой:
а) $x - 11 > -1$;
б) $z + 7 < -3$;
в) $5 + x < 0$;
г) $10y > 5$;
д) $12x \le 60$;
е) $\frac{1}{6}x < -2$;
ж) $-z > 20$;
з) $-2y \le -5$;
и) $-\frac{1}{2}y \ge 11$;
Решение 1. №6.18 (с. 256)



Решение 4. №6.18 (с. 256)
а) $x - 11 > -1$
Чтобы решить неравенство, перенесем число $-11$ из левой части в правую, изменив его знак на противоположный:
$x > -1 + 11$
$x > 10$
Множество решений на координатной прямой представляет собой интервал. На прямой отмечаем точку $10$. Поскольку неравенство строгое (знак $>$), точка изображается в виде пустого (выколотого) кружка. Все числа, которые больше $10$, находятся справа от этой точки, поэтому заштриховываем прямую вправо от $10$.
Ответ: $(10; +\infty)$
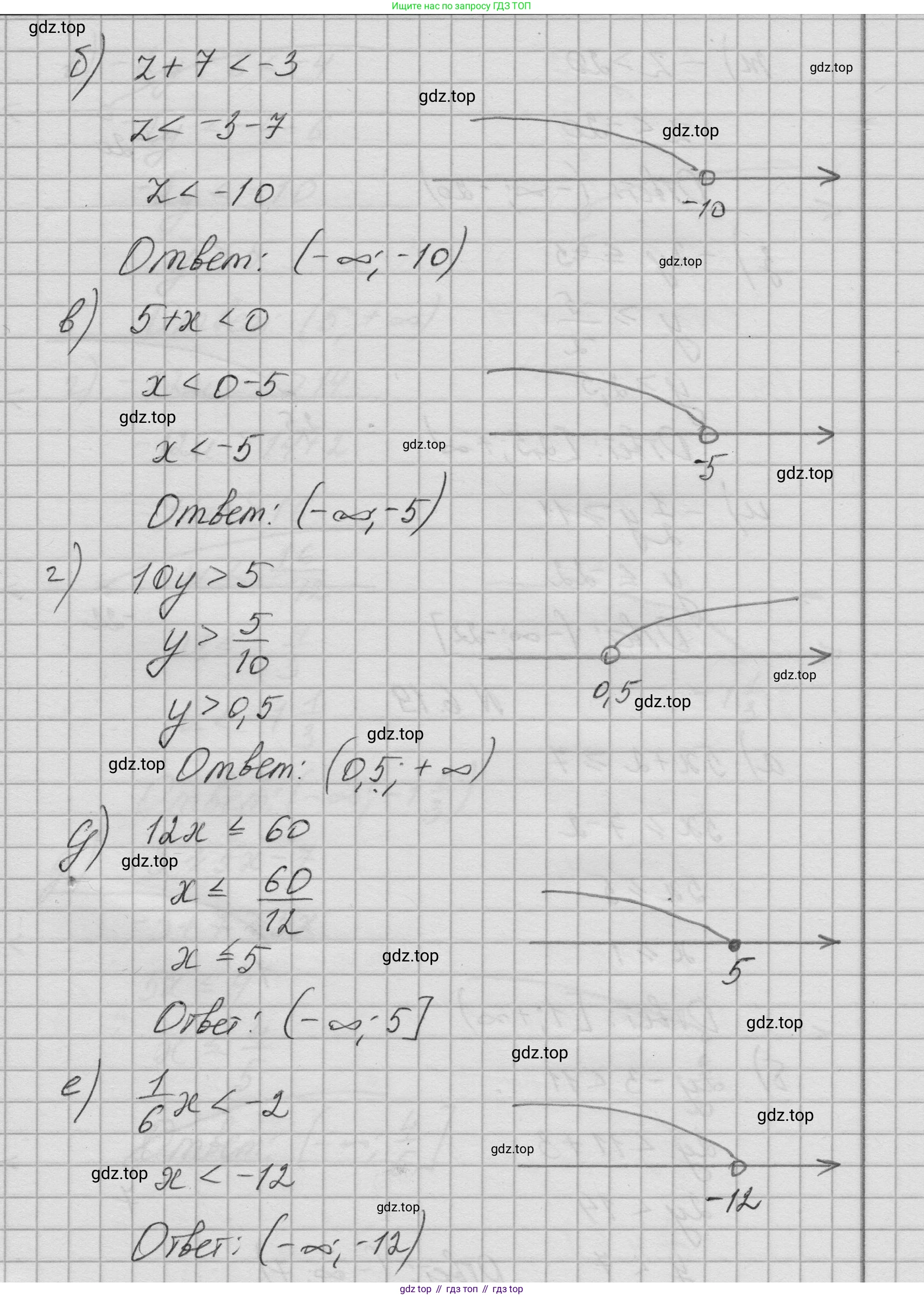
б) $z + 7 < -3$
Перенесем число $7$ из левой части в правую, изменив его знак:
$z < -3 - 7$
$z < -10$
На координатной прямой отмечаем точку $-10$. Неравенство строгое (знак <), поэтому точка выколотая. Решениями являются все числа, которые меньше $-10$, следовательно, заштриховываем область слева от точки $-10$.
Ответ: $(-\infty; -10)$
в) $5 + x < 0$
Перенесем число $5$ в правую часть неравенства с противоположным знаком:
$x < 0 - 5$
$x < -5$
На координатной прямой отмечаем выколотую точку $-5$ (так как неравенство строгое) и заштриховываем область слева от нее.
Ответ: $(-\infty; -5)$
г) $10y > 5$
Разделим обе части неравенства на положительное число $10$. Знак неравенства при этом не меняется:
$y > \frac{5}{10}$
$y > 0.5$
На координатной прямой отмечаем выколотую точку $0.5$ (так как неравенство строгое) и заштриховываем область справа от нее.
Ответ: $(0.5; +\infty)$
д) $12x \le 60$
Разделим обе части неравенства на положительное число $12$. Знак неравенства не меняется:
$x \le \frac{60}{12}$
$x \le 5$
На координатной прямой отмечаем точку $5$. Поскольку неравенство нестрогое (знак $\le$), точка изображается в виде закрашенного кружка. Решениями являются все числа, которые меньше или равны $5$, поэтому заштриховываем область слева от точки $5$, включая саму точку.
Ответ: $(-\infty; 5]$
е) $\frac{1}{6}x < -2$
Умножим обе части неравенства на положительное число $6$, чтобы избавиться от дроби. Знак неравенства не изменится:
$6 \cdot \frac{1}{6}x < -2 \cdot 6$
$x < -12$
На координатной прямой отмечаем выколотую точку $-12$ и заштриховываем область слева от нее.
Ответ: $(-\infty; -12)$
ж) $-z > 20$
Умножим (или разделим) обе части неравенства на $-1$. При умножении на отрицательное число знак неравенства меняется на противоположный:
$(-1) \cdot (-z) < (-1) \cdot 20$
$z < -20$
На координатной прямой отмечаем выколотую точку $-20$ и заштриховываем область слева от нее.
Ответ: $(-\infty; -20)$
з) $-2y \le -5$
Разделим обе части неравенства на отрицательное число $-2$. Знак неравенства при этом меняется на противоположный:
$\frac{-2y}{-2} \ge \frac{-5}{-2}$
$y \ge 2.5$
На координатной прямой отмечаем закрашенную точку $2.5$ (так как неравенство нестрогое) и заштриховываем область справа от нее.
Ответ: $[2.5; +\infty)$
и) $-\frac{1}{2}y \ge 11$
Умножим обе части неравенства на отрицательное число $-2$. При этом знак неравенства изменится на противоположный:
$(-2) \cdot (-\frac{1}{2}y) \le 11 \cdot (-2)$
$y \le -22$
На координатной прямой отмечаем закрашенную точку $-22$ (так как неравенство нестрогое) и заштриховываем область слева от нее.
Ответ: $(-\infty; -22]$
Другие задания:
Помогло решение? Оставьте отзыв в комментариях ниже.
Присоединяйтесь к Телеграм-группе @top_gdz
ПрисоединитьсяМы подготовили для вас ответ c подробным объяснением домашего задания по алгебре за 8 класс, для упражнения номер 6.18 расположенного на странице 256 к учебнику 2023 года издания для учащихся школ и гимназий.
Теперь на нашем сайте ГДЗ.ТОП вы всегда легко и бесплатно найдёте условие с правильным ответом на вопрос «Как решить ДЗ» и «Как сделать» задание по алгебре к упражнению №6.18 (с. 256), авторов: Дорофеев (Георгий Владимирович), Суворова (Светлана Борисовна), Бунимович (Евгений Абрамович), Кузнецова (Людмила Викторовна), Минаева (Светлана Станиславовна), Рослова (Лариса Олеговна), ФГОС (новый, красный) базовый уровень обучения учебного пособия издательства Просвещение.