Номер 126, страница 32 - гдз по алгебре 8 класс учебник Макарычев, Миндюк

Авторы: Макарычев Ю. Н., Миндюк Н. Г., Нешков К. И., Суворова С. Б.
Тип: Учебник
Издательство: Просвещение
Год издания: 2019 - 2022
Цвет обложки: белый, голубой, фиолетовый
ISBN: 978-5-09-087569-1
Допущено Министерством просвещения Российской Федерации
Популярные ГДЗ в 8 классе
5. Умножение дробей. Возведение дроби в степень. § 3. Произведение и частное дробей. Глава 1. Рациональные дроби - номер 126, страница 32.
№126 (с. 32)
Условие. №126 (с. 32)
скриншот условия

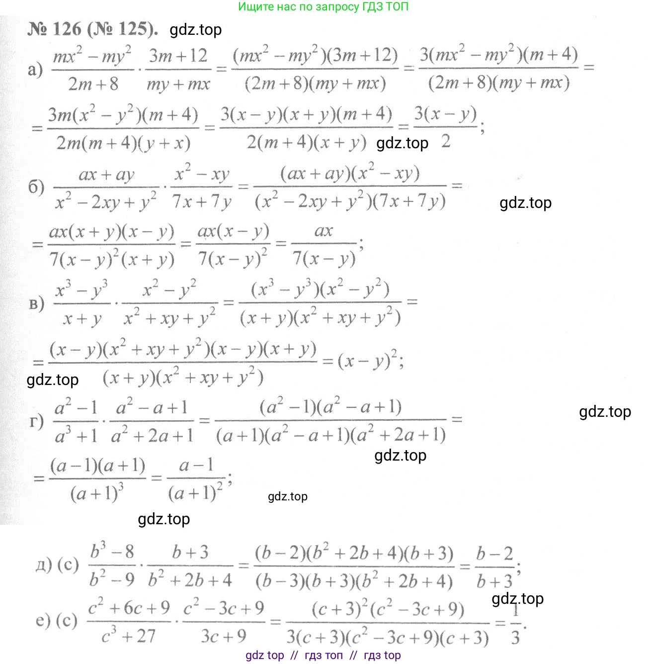
126. Представьте в виде дроби:
а) $\frac{mx^2 - my^2}{2m+8} \cdot \frac{3m+12}{my+mx};$
б) $\frac{ax+ay}{x^2-2xy+y^2} \cdot \frac{x^2-xy}{7x+7y};$
В) $\frac{x^3-y^3}{x+y} \cdot \frac{x^2-y^2}{x^2+xy+y^2};$
Г) $\frac{a^2-1}{a^3+1} \cdot \frac{a^2-a+1}{a^2+2a+1}.$
Решение 1. №126 (с. 32)




Решение 2. №126 (с. 32)

Решение 3. №126 (с. 32)

Решение 4. №126 (с. 32)

Решение 5. №126 (с. 32)

Решение 6. №126 (с. 32)


Решение 8. №126 (с. 32)
а) Для того чтобы представить произведение дробей в виде одной дроби, необходимо разложить на множители числители и знаменатели данных дробей и затем сократить общие множители.
Исходное выражение: $\frac{mx^2 - my^2}{2m + 8} \cdot \frac{3m + 12}{my + mx}$.
1. Разложим на множители числитель первой дроби, вынеся общий множитель $m$ за скобки и применив формулу разности квадратов $x^2 - y^2 = (x-y)(x+y)$:
$mx^2 - my^2 = m(x^2 - y^2) = m(x-y)(x+y)$.
2. Разложим на множители знаменатель первой дроби, вынеся общий множитель 2 за скобки:
$2m + 8 = 2(m+4)$.
3. Разложим на множители числитель второй дроби, вынеся общий множитель 3 за скобки:
$3m + 12 = 3(m+4)$.
4. Разложим на множители знаменатель второй дроби, вынеся общий множитель $m$ за скобки:
$my + mx = m(y+x) = m(x+y)$.
5. Подставим полученные выражения обратно в произведение и произведем сокращение:
$\frac{m(x-y)(x+y)}{2(m+4)} \cdot \frac{3(m+4)}{m(x+y)} = \frac{\cancel{m}(x-y)\cancel{(x+y)}}{2\cancel{(m+4)}} \cdot \frac{3\cancel{(m+4)}}{\cancel{m}\cancel{(x+y)}} = \frac{3(x-y)}{2}$.
Ответ: $\frac{3(x-y)}{2}$
б) Исходное выражение: $\frac{ax + ay}{x^2 - 2xy + y^2} \cdot \frac{x^2 - xy}{7x + 7y}$.
1. Разложим на множители числитель первой дроби: $ax + ay = a(x+y)$.
2. Разложим на множители знаменатель первой дроби, используя формулу квадрата разности $(x-y)^2 = x^2 - 2xy + y^2$:
$x^2 - 2xy + y^2 = (x-y)^2$.
3. Разложим на множители числитель второй дроби: $x^2 - xy = x(x-y)$.
4. Разложим на множители знаменатель второй дроби: $7x + 7y = 7(x+y)$.
5. Подставим разложенные выражения и сократим:
$\frac{a(x+y)}{(x-y)^2} \cdot \frac{x(x-y)}{7(x+y)} = \frac{a\cancel{(x+y)}}{(x-y)^{\cancel{2}}} \cdot \frac{x\cancel{(x-y)}}{7\cancel{(x+y)}} = \frac{ax}{7(x-y)}$.
Ответ: $\frac{ax}{7(x-y)}$
в) Исходное выражение: $\frac{x^3 - y^3}{x + y} \cdot \frac{x^2 - y^2}{x^2 + xy + y^2}$.
1. Разложим числитель первой дроби по формуле разности кубов $x^3 - y^3 = (x-y)(x^2+xy+y^2)$:
$x^3 - y^3 = (x-y)(x^2+xy+y^2)$.
2. Разложим числитель второй дроби по формуле разности квадратов $x^2 - y^2 = (x-y)(x+y)$:
$x^2 - y^2 = (x-y)(x+y)$.
3. Подставим разложенные выражения и сократим общие множители:
$\frac{(x-y)(x^2 + xy + y^2)}{x + y} \cdot \frac{(x-y)(x+y)}{x^2 + xy + y^2} = \frac{(x-y)\cancel{(x^2 + xy + y^2)}}{\cancel{x + y}} \cdot \frac{(x-y)\cancel{(x+y)}}{\cancel{x^2 + xy + y^2}} = (x-y)(x-y) = (x-y)^2$.
Ответ: $(x-y)^2$
г) Исходное выражение: $\frac{a^2 - 1}{a^3 + 1} \cdot \frac{a^2 - a + 1}{a^2 + 2a + 1}$.
1. Разложим числитель первой дроби по формуле разности квадратов $a^2 - 1 = (a-1)(a+1)$.
2. Разложим знаменатель первой дроби по формуле суммы кубов $a^3 + 1 = (a+1)(a^2-a+1)$.
3. Разложим знаменатель второй дроби по формуле квадрата суммы $(a+1)^2 = a^2+2a+1$.
4. Подставим разложенные выражения и сократим общие множители:
$\frac{(a-1)(a+1)}{(a+1)(a^2 - a + 1)} \cdot \frac{a^2 - a + 1}{(a+1)^2} = \frac{(a-1)\cancel{(a+1)}}{\cancel{(a+1)}\cancel{(a^2 - a + 1)}} \cdot \frac{\cancel{a^2 - a + 1}}{(a+1)^2} = \frac{a-1}{(a+1)^2}$.
Ответ: $\frac{a-1}{(a+1)^2}$
Другие задания:
Помогло решение? Оставьте отзыв в комментариях ниже.
Мы подготовили для вас ответ c подробным объяснением домашего задания по алгебре за 8 класс, для упражнения номер 126 расположенного на странице 32 к учебнику 2019 - 2022 года издания для учащихся школ и гимназий.
Теперь на нашем сайте ГДЗ.ТОП вы всегда легко и бесплатно найдёте условие с правильным ответом на вопрос «Как решить ДЗ» и «Как сделать» задание по алгебре к упражнению №126 (с. 32), авторов: Макарычев (Юрий Николаевич), Миндюк (Нора Григорьевна), Нешков (Константин Иванович), Суворова (Светлана Борисовна), ФГОС (старый) учебного пособия издательства Просвещение.