Номер 151, страница 39 - гдз по алгебре 8 класс учебник Макарычев, Миндюк

Авторы: Макарычев Ю. Н., Миндюк Н. Г., Нешков К. И., Суворова С. Б.
Тип: Учебник
Издательство: Просвещение
Год издания: 2019 - 2022
Цвет обложки: белый, голубой, фиолетовый
ISBN: 978-5-09-087569-1
Допущено Министерством просвещения Российской Федерации
Популярные ГДЗ в 8 классе
7. Преобразование рациональных выражений. § 3. Произведение и частное дробей. Глава 1. Рациональные дроби - номер 151, страница 39.
№151 (с. 39)
Условие. №151 (с. 39)
скриншот условия

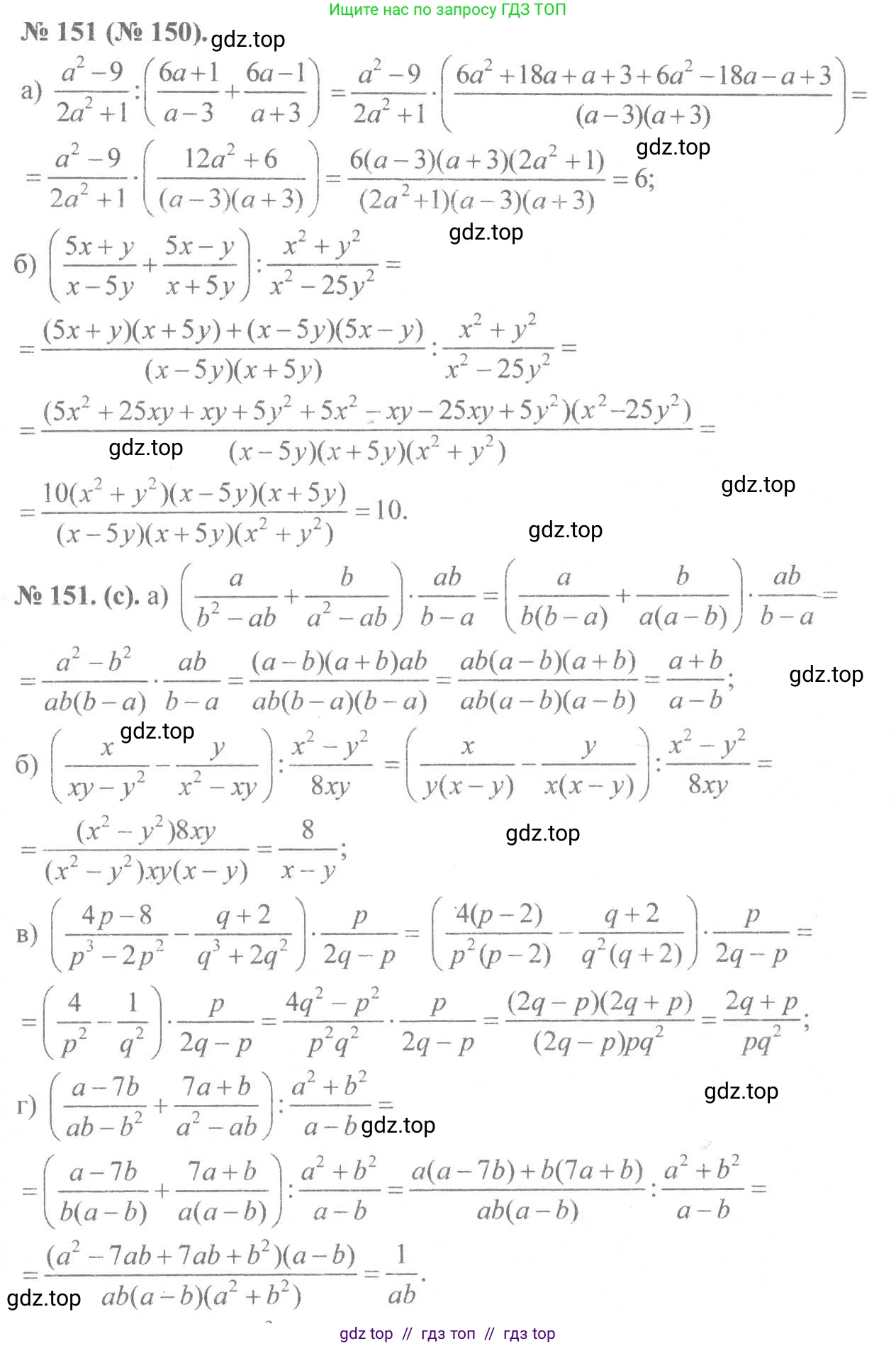
151. Выполните действия:
а) $\frac{a^2-9}{2a^2+1} \cdot \left(\frac{6a+1}{a-3} + \frac{6a-1}{a+3}\right)$;
б) $\left(\frac{5x+y}{x-5y} + \frac{5x-y}{x+5y}\right) : \frac{x^2+y^2}{x^2-25y^2}$.
Решение 1. №151 (с. 39)


Решение 2. №151 (с. 39)

Решение 3. №151 (с. 39)

Решение 4. №151 (с. 39)

Решение 5. №151 (с. 39)

Решение 6. №151 (с. 39)

Решение 8. №151 (с. 39)
а)
Чтобы решить данный пример, сначала выполним действие в скобках — сложение дробей. Для этого найдем общий знаменатель, который равен произведению знаменателей исходных дробей: $(a - 3)(a + 3) = a^2 - 9$.
$ \frac{6a + 1}{a - 3} + \frac{6a - 1}{a + 3} = \frac{(6a + 1)(a + 3) + (6a - 1)(a - 3)}{(a - 3)(a + 3)} $
Раскроем скобки в числителе и приведем подобные слагаемые:
$ \frac{(6a^2 + 18a + a + 3) + (6a^2 - 18a - a + 3)}{a^2 - 9} = \frac{6a^2 + 19a + 3 + 6a^2 - 19a + 3}{a^2 - 9} = \frac{12a^2 + 6}{a^2 - 9} $
Теперь подставим результат обратно в исходное выражение и выполним умножение:
$ \frac{a^2 - 9}{2a^2 + 1} \cdot \frac{12a^2 + 6}{a^2 - 9} $
Сократим общий множитель $(a^2 - 9)$:
$ \frac{12a^2 + 6}{2a^2 + 1} $
В числителе вынесем за скобки общий множитель 6:
$ \frac{6(2a^2 + 1)}{2a^2 + 1} $
Сократим общий множитель $(2a^2 + 1)$ и получим конечный результат:
$ 6 $
Ответ: $6$.
б)
Аналогично предыдущему примеру, начнем с выполнения действия в скобках. Общий знаменатель для дробей равен $(x - 5y)(x + 5y) = x^2 - (5y)^2 = x^2 - 25y^2$.
$ \frac{5x + y}{x - 5y} + \frac{5x - y}{x + 5y} = \frac{(5x + y)(x + 5y) + (5x - y)(x - 5y)}{(x - 5y)(x + 5y)} $
Раскроем скобки в числителе и приведем подобные слагаемые:
$ \frac{(5x^2 + 25xy + xy + 5y^2) + (5x^2 - 25xy - xy + 5y^2)}{x^2 - 25y^2} = \frac{5x^2 + 26xy + 5y^2 + 5x^2 - 26xy + 5y^2}{x^2 - 25y^2} = \frac{10x^2 + 10y^2}{x^2 - 25y^2} $
Вынесем в числителе общий множитель 10 за скобки:
$ \frac{10(x^2 + y^2)}{x^2 - 25y^2} $
Теперь выполним деление. Деление на дробь эквивалентно умножению на обратную ей дробь:
$ \frac{10(x^2 + y^2)}{x^2 - 25y^2} : \frac{x^2 + y^2}{x^2 - 25y^2} = \frac{10(x^2 + y^2)}{x^2 - 25y^2} \cdot \frac{x^2 - 25y^2}{x^2 + y^2} $
Сократим общие множители $(x^2 + y^2)$ и $(x^2 - 25y^2)$ в числителе и знаменателе:
$ 10 $
Ответ: $10$.
Другие задания:
Помогло решение? Оставьте отзыв в комментариях ниже.
Мы подготовили для вас ответ c подробным объяснением домашего задания по алгебре за 8 класс, для упражнения номер 151 расположенного на странице 39 к учебнику 2019 - 2022 года издания для учащихся школ и гимназий.
Теперь на нашем сайте ГДЗ.ТОП вы всегда легко и бесплатно найдёте условие с правильным ответом на вопрос «Как решить ДЗ» и «Как сделать» задание по алгебре к упражнению №151 (с. 39), авторов: Макарычев (Юрий Николаевич), Миндюк (Нора Григорьевна), Нешков (Константин Иванович), Суворова (Светлана Борисовна), ФГОС (старый) учебного пособия издательства Просвещение.