Номер 157, страница 41 - гдз по алгебре 8 класс учебник Макарычев, Миндюк

Авторы: Макарычев Ю. Н., Миндюк Н. Г., Нешков К. И., Суворова С. Б.
Тип: Учебник
Издательство: Просвещение
Год издания: 2019 - 2022
Цвет обложки: белый, голубой, фиолетовый
ISBN: 978-5-09-087569-1
Допущено Министерством просвещения Российской Федерации
Популярные ГДЗ в 8 классе
7. Преобразование рациональных выражений. § 3. Произведение и частное дробей. Глава 1. Рациональные дроби - номер 157, страница 41.
№157 (с. 41)
Условие. №157 (с. 41)
скриншот условия

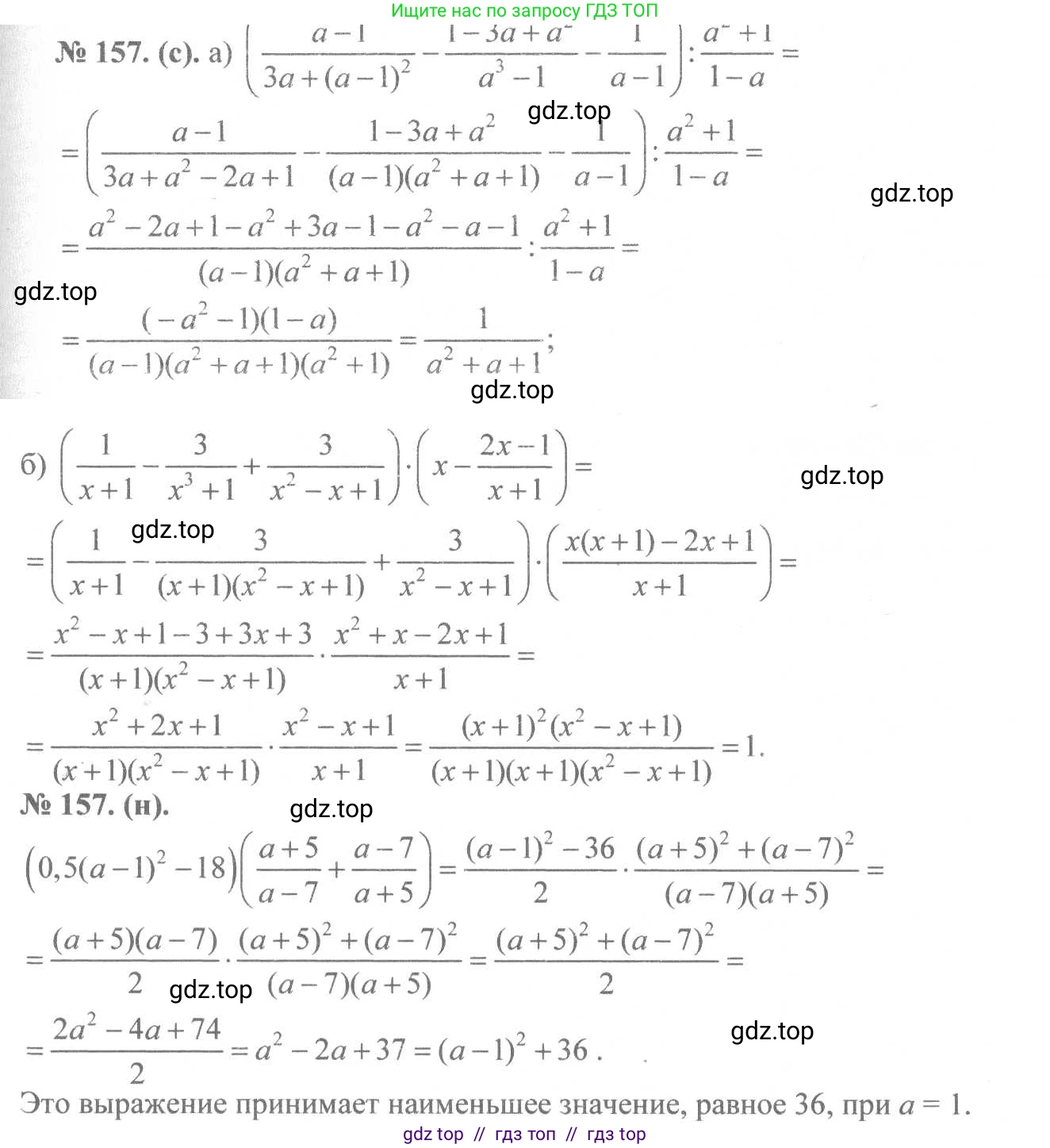
157. При каком значении $a$ выражение
$(0,5(a - 1))^2 - 18\left(\frac{a + 5}{a - 7} + \frac{a - 7}{a + 5}\right)$
принимает наименьшее значение? Найдите это значение.
Решение 1. №157 (с. 41)

Решение 2. №157 (с. 41)

Решение 3. №157 (с. 41)

Решение 4. №157 (с. 41)

Решение 6. №157 (с. 41)


Решение 8. №157 (с. 41)
Для того чтобы найти наименьшее значение выражения, сперва упростим его. Обозначим данное выражение как $E$.
$E = (0,5(a - 1)^2 - 18) \left( \frac{a+5}{a-7} + \frac{a-7}{a+5} \right)$
Область допустимых значений (ОДЗ) для переменной $a$ определяется условиями, что знаменатели дробей не равны нулю: $a-7 \neq 0$ и $a+5 \neq 0$. Следовательно, $a \neq 7$ и $a \neq -5$.
Упростим каждый из двух множителей по отдельности.
Первый множитель:
$0,5(a - 1)^2 - 18 = 0,5(a^2 - 2a + 1) - 18 = 0,5a^2 - a + 0,5 - 18 = 0,5a^2 - a - 17,5$
Вынесем коэффициент $0,5$ за скобки:
$0,5(a^2 - 2a - 35)$
Второй множитель (сумма дробей):
Приведем дроби к общему знаменателю $(a-7)(a+5)$:
$\frac{a+5}{a-7} + \frac{a-7}{a+5} = \frac{(a+5)^2 + (a-7)^2}{(a-7)(a+5)} = \frac{(a^2+10a+25) + (a^2-14a+49)}{a^2 - 2a - 35} = \frac{2a^2 - 4a + 74}{a^2 - 2a - 35} = \frac{2(a^2 - 2a + 37)}{a^2 - 2a - 35}$
Перемножение упрощенных множителей:
Теперь подставим упрощенные части обратно в исходное выражение $E$:
$E = \left(0,5(a^2 - 2a - 35)\right) \cdot \left(\frac{2(a^2 - 2a + 37)}{a^2 - 2a - 35}\right)$
При $a$, входящем в ОДЗ, выражение $a^2 - 2a - 35 \neq 0$, поэтому мы можем его сократить:
$E = 0,5 \cdot 2 \cdot (a^2 - 2a + 37) = a^2 - 2a + 37$
В результате упрощения мы получили квадратичную функцию $f(a) = a^2 - 2a + 37$. Графиком этой функции является парабола с ветвями, направленными вверх, так как коэффициент при $a^2$ положителен ($1 > 0$). Наименьшее значение такая функция принимает в своей вершине. Для нахождения координат вершины выделим полный квадрат:
$f(a) = (a^2 - 2a + 1) - 1 + 37 = (a-1)^2 + 36$
Выражение $(a-1)^2$ всегда неотрицательно (т.е. $\ge 0$). Его наименьшее значение равно $0$ и достигается при $a-1=0$.
При каком значении $a$ выражение принимает наименьшее значение?
Наименьшее значение выражения достигается при условии $(a-1)^2 = 0$, что соответствует $a=1$. Это значение удовлетворяет ОДЗ ($1 \neq 7$ и $1 \neq -5$).
Ответ: $1$.
Найдите это значение.
При $a=1$ наименьшее значение выражения составляет: $f(1) = (1-1)^2 + 36 = 0 + 36 = 36$.
Ответ: $36$.
Другие задания:
Помогло решение? Оставьте отзыв в комментариях ниже.
Мы подготовили для вас ответ c подробным объяснением домашего задания по алгебре за 8 класс, для упражнения номер 157 расположенного на странице 41 к учебнику 2019 - 2022 года издания для учащихся школ и гимназий.
Теперь на нашем сайте ГДЗ.ТОП вы всегда легко и бесплатно найдёте условие с правильным ответом на вопрос «Как решить ДЗ» и «Как сделать» задание по алгебре к упражнению №157 (с. 41), авторов: Макарычев (Юрий Николаевич), Миндюк (Нора Григорьевна), Нешков (Константин Иванович), Суворова (Светлана Борисовна), ФГОС (старый) учебного пособия издательства Просвещение.