Номер 163, страница 41 - гдз по алгебре 8 класс учебник Макарычев, Миндюк

Авторы: Макарычев Ю. Н., Миндюк Н. Г., Нешков К. И., Суворова С. Б.
Тип: Учебник
Издательство: Просвещение
Год издания: 2019 - 2022
Цвет обложки: белый, голубой, фиолетовый
ISBN: 978-5-09-087569-1
Допущено Министерством просвещения Российской Федерации
Популярные ГДЗ в 8 классе
7. Преобразование рациональных выражений. § 3. Произведение и частное дробей. Глава 1. Рациональные дроби - номер 163, страница 41.
№163 (с. 41)
Условие. №163 (с. 41)
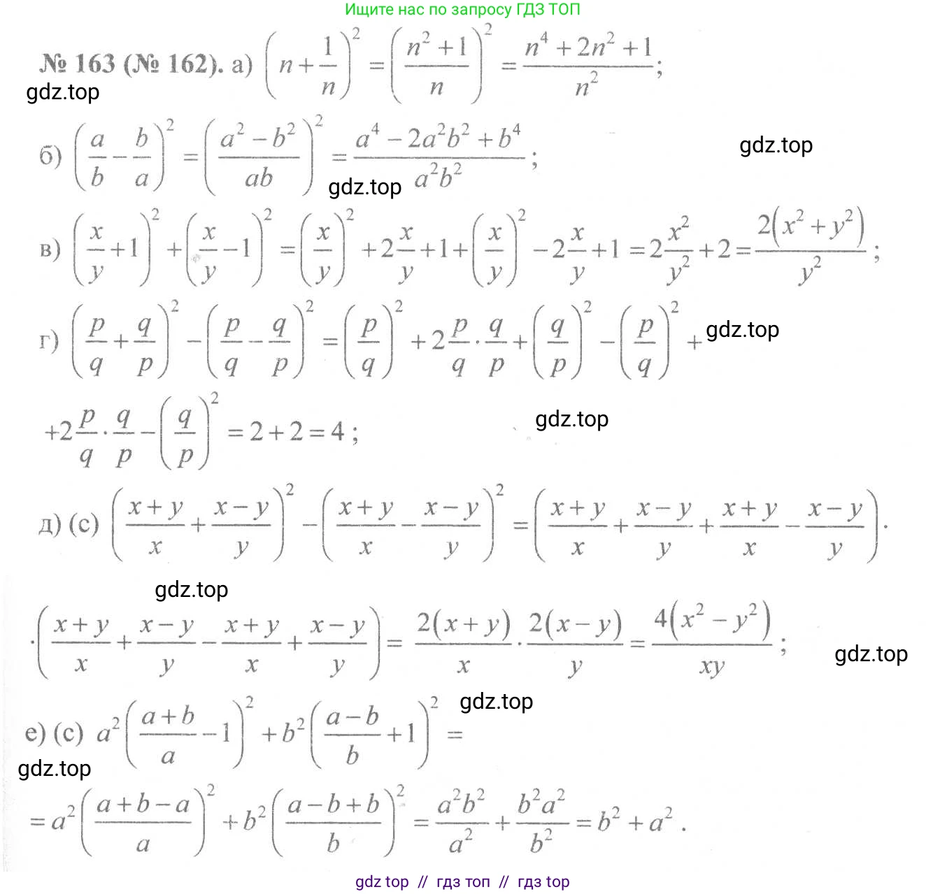
скриншот условия

163. Представьте в виде многочлена или рациональной дроби:
а) $(n + \frac{1}{n})^2$;
б) $(\frac{a}{b} - \frac{b}{a})^2$;
В) $(\frac{x}{y} + 1)^2 + (\frac{x}{y} - 1)^2$;
Г) $(\frac{p}{q} + \frac{q}{p})^2 - (\frac{p}{q} - \frac{q}{p})^2$.
Решение 1. №163 (с. 41)




Решение 2. №163 (с. 41)

Решение 3. №163 (с. 41)

Решение 4. №163 (с. 41)

Решение 5. №163 (с. 41)

Решение 6. №163 (с. 41)


Решение 8. №163 (с. 41)
а)
Для преобразования выражения $ (n + \frac{1}{n})^2 $ используем формулу сокращенного умножения для квадрата суммы $ (a+b)^2 = a^2 + 2ab + b^2 $.
В данном случае $ a = n $ и $ b = \frac{1}{n} $.
Подставляем в формулу:
$ (n + \frac{1}{n})^2 = n^2 + 2 \cdot n \cdot \frac{1}{n} + (\frac{1}{n})^2 = n^2 + 2 + \frac{1}{n^2} $.
Чтобы представить полученное выражение в виде рациональной дроби, приведем слагаемые к общему знаменателю $ n^2 $:
$ n^2 + 2 + \frac{1}{n^2} = \frac{n^2 \cdot n^2}{n^2} + \frac{2 \cdot n^2}{n^2} + \frac{1}{n^2} = \frac{n^4 + 2n^2 + 1}{n^2} $.
Ответ: $ \frac{n^4 + 2n^2 + 1}{n^2} $
б)
Для преобразования выражения $ (\frac{a}{b} - \frac{b}{a})^2 $ используем формулу сокращенного умножения для квадрата разности $ (x-y)^2 = x^2 - 2xy + y^2 $.
Здесь $ x = \frac{a}{b} $ и $ y = \frac{b}{a} $.
Подставляем в формулу:
$ (\frac{a}{b} - \frac{b}{a})^2 = (\frac{a}{b})^2 - 2 \cdot \frac{a}{b} \cdot \frac{b}{a} + (\frac{b}{a})^2 = \frac{a^2}{b^2} - 2 + \frac{b^2}{a^2} $.
Приведем полученное выражение к общему знаменателю $ a^2b^2 $, чтобы представить его в виде рациональной дроби:
$ \frac{a^2}{b^2} - 2 + \frac{b^2}{a^2} = \frac{a^2 \cdot a^2}{b^2 \cdot a^2} - \frac{2 \cdot a^2b^2}{a^2b^2} + \frac{b^2 \cdot b^2}{a^2 \cdot b^2} = \frac{a^4 - 2a^2b^2 + b^4}{a^2b^2} $.
Ответ: $ \frac{a^4 - 2a^2b^2 + b^4}{a^2b^2} $
в)
Раскроем каждую скобку, используя формулы квадрата суммы и квадрата разности.
Первое слагаемое (квадрат суммы):
$ (\frac{x}{y} + 1)^2 = (\frac{x}{y})^2 + 2 \cdot \frac{x}{y} \cdot 1 + 1^2 = \frac{x^2}{y^2} + \frac{2x}{y} + 1 $.
Второе слагаемое (квадрат разности):
$ (\frac{x}{y} - 1)^2 = (\frac{x}{y})^2 - 2 \cdot \frac{x}{y} \cdot 1 + 1^2 = \frac{x^2}{y^2} - \frac{2x}{y} + 1 $.
Теперь сложим полученные выражения:
$ (\frac{x^2}{y^2} + \frac{2x}{y} + 1) + (\frac{x^2}{y^2} - \frac{2x}{y} + 1) = \frac{x^2}{y^2} + \frac{2x}{y} + 1 + \frac{x^2}{y^2} - \frac{2x}{y} + 1 $.
Приводим подобные слагаемые (слагаемые $ \frac{2x}{y} $ и $ -\frac{2x}{y} $ взаимно уничтожаются):
$ (\frac{x^2}{y^2} + \frac{x^2}{y^2}) + (1 + 1) = 2\frac{x^2}{y^2} + 2 $.
Представим результат в виде рациональной дроби с общим знаменателем $ y^2 $:
$ \frac{2x^2}{y^2} + \frac{2y^2}{y^2} = \frac{2x^2 + 2y^2}{y^2} $.
Ответ: $ \frac{2x^2 + 2y^2}{y^2} $
г)
Раскроем каждую скобку, используя формулы квадрата суммы и квадрата разности.
Уменьшаемое (квадрат суммы):
$ (\frac{p}{q} + \frac{q}{p})^2 = (\frac{p}{q})^2 + 2 \cdot \frac{p}{q} \cdot \frac{q}{p} + (\frac{q}{p})^2 = \frac{p^2}{q^2} + 2 + \frac{q^2}{p^2} $.
Вычитаемое (квадрат разности):
$ (\frac{p}{q} - \frac{q}{p})^2 = (\frac{p}{q})^2 - 2 \cdot \frac{p}{q} \cdot \frac{q}{p} + (\frac{q}{p})^2 = \frac{p^2}{q^2} - 2 + \frac{q^2}{p^2} $.
Теперь выполним вычитание:
$ (\frac{p^2}{q^2} + 2 + \frac{q^2}{p^2}) - (\frac{p^2}{q^2} - 2 + \frac{q^2}{p^2}) = \frac{p^2}{q^2} + 2 + \frac{q^2}{p^2} - \frac{p^2}{q^2} + 2 - \frac{q^2}{p^2} $.
Приводим подобные слагаемые. Пары слагаемых $ \frac{p^2}{q^2} $ и $ -\frac{p^2}{q^2} $, а также $ \frac{q^2}{p^2} $ и $ -\frac{q^2}{p^2} $ взаимно уничтожаются.
$ 2 + 2 = 4 $.
Результатом является многочлен (в данном случае, число).
Ответ: $ 4 $
Другие задания:
Помогло решение? Оставьте отзыв в комментариях ниже.
Мы подготовили для вас ответ c подробным объяснением домашего задания по алгебре за 8 класс, для упражнения номер 163 расположенного на странице 41 к учебнику 2019 - 2022 года издания для учащихся школ и гимназий.
Теперь на нашем сайте ГДЗ.ТОП вы всегда легко и бесплатно найдёте условие с правильным ответом на вопрос «Как решить ДЗ» и «Как сделать» задание по алгебре к упражнению №163 (с. 41), авторов: Макарычев (Юрий Николаевич), Миндюк (Нора Григорьевна), Нешков (Константин Иванович), Суворова (Светлана Борисовна), ФГОС (старый) учебного пособия издательства Просвещение.