Номер 161, страница 41 - гдз по алгебре 8 класс учебник Макарычев, Миндюк

Авторы: Макарычев Ю. Н., Миндюк Н. Г., Нешков К. И., Суворова С. Б.
Тип: Учебник
Издательство: Просвещение
Год издания: 2019 - 2022
Цвет обложки: белый, голубой, фиолетовый
ISBN: 978-5-09-087569-1
Допущено Министерством просвещения Российской Федерации
Популярные ГДЗ в 8 классе
7. Преобразование рациональных выражений. § 3. Произведение и частное дробей. Глава 1. Рациональные дроби - номер 161, страница 41.
№161 (с. 41)
Условие. №161 (с. 41)
скриншот условия

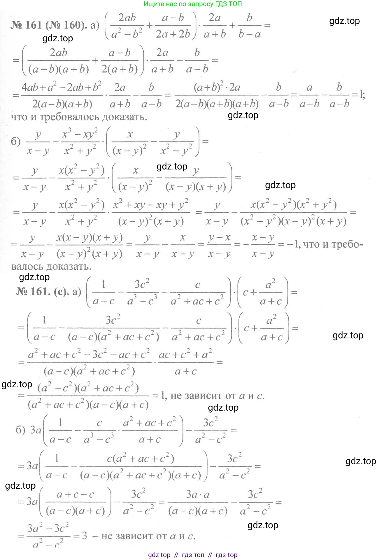
161. Докажите, что при всех допустимых значениях переменных значение выражения не зависит от значений входящих в него переменных:
a) $\left(\frac{2ab}{a^2 - b^2} + \frac{a - b}{2a + 2b}\right) \cdot \left(\frac{2a}{a + b} + \frac{b}{b - a}\right)$;
б) $\frac{y}{x - y} - \frac{x^3 - xy^2}{x^2 + y^2} \cdot \left(\frac{x}{(x - y)^2} - \frac{y}{x^2 - y^2}\right)$.
Решение 1. №161 (с. 41)


Решение 2. №161 (с. 41)

Решение 3. №161 (с. 41)

Решение 4. №161 (с. 41)

Решение 5. №161 (с. 41)

Решение 6. №161 (с. 41)


Решение 8. №161 (с. 41)
Чтобы доказать, что значение выражения не зависит от переменных, необходимо упростить его. Если в результате упрощения получится число, то утверждение доказано.
Область допустимых значений (ОДЗ) для каждого выражения определяется условием, что знаменатели дробей не должны быть равны нулю.
а) $ \left( \frac{2ab}{a^2 - b^2} + \frac{a - b}{2a + 2b} \right) \cdot \frac{2a}{a + b} + \frac{b}{b - a} $
ОДЗ: $ a^2 - b^2 \neq 0 \Rightarrow a \neq b $ и $ a \neq -b $; $ 2a + 2b \neq 0 \Rightarrow a \neq -b $; $ a+b \neq 0 \Rightarrow a \neq -b $; $ b-a \neq 0 \Rightarrow a \neq b $. Таким образом, $ a \neq \pm b $.
1. Упростим выражение в первых скобках. Для этого разложим знаменатели на множители и приведем дроби к общему знаменателю:
$ \frac{2ab}{a^2 - b^2} + \frac{a - b}{2a + 2b} = \frac{2ab}{(a - b)(a + b)} + \frac{a - b}{2(a + b)} $
Общий знаменатель $ 2(a - b)(a + b) $.
$ \frac{2ab \cdot 2}{2(a - b)(a + b)} + \frac{(a - b)(a - b)}{2(a - b)(a + b)} = \frac{4ab + (a-b)^2}{2(a-b)(a+b)} = \frac{4ab + a^2 - 2ab + b^2}{2(a - b)(a + b)} = \frac{a^2 + 2ab + b^2}{2(a - b)(a + b)} $
Свернем числитель по формуле квадрата суммы $ (a+b)^2 = a^2+2ab+b^2 $:
$ \frac{(a+b)^2}{2(a-b)(a+b)} = \frac{a+b}{2(a-b)} $
2. Теперь выполним умножение:
$ \frac{a+b}{2(a-b)} \cdot \frac{2a}{a+b} = \frac{(a+b) \cdot 2a}{2(a-b) \cdot (a+b)} = \frac{a}{a-b} $
3. Выполним последнее действие — сложение. Заметим, что $ b - a = -(a - b) $.
$ \frac{a}{a - b} + \frac{b}{b - a} = \frac{a}{a - b} - \frac{b}{a - b} = \frac{a - b}{a - b} = 1 $
Значение выражения равно 1 при всех допустимых значениях переменных, что и требовалось доказать.
Ответ: 1.
б) $ \frac{y}{x - y} - \frac{x^3 - xy^2}{x^2 + y^2} \cdot \left( \frac{x}{(x - y)^2} - \frac{y}{x^2 - y^2} \right) $
ОДЗ: $ x - y \neq 0 \Rightarrow x \neq y $; $ x^2 + y^2 \neq 0 $ (выполняется для всех действительных x, y, кроме $x=y=0$, что уже исключено); $ (x-y)^2 \neq 0 \Rightarrow x \neq y $; $ x^2-y^2 \neq 0 \Rightarrow x \neq \pm y $. Таким образом, $ x \neq \pm y $.
Согласно порядку действий, сначала выполняем действие в скобках, затем умножение, и в конце вычитание.
1. Упростим выражение в скобках:
$ \frac{x}{(x - y)^2} - \frac{y}{x^2 - y^2} = \frac{x}{(x - y)^2} - \frac{y}{(x - y)(x + y)} $
Приведем к общему знаменателю $ (x-y)^2(x+y) $:
$ \frac{x(x+y) - y(x-y)}{(x-y)^2(x+y)} = \frac{x^2 + xy - yx + y^2}{(x-y)^2(x+y)} = \frac{x^2+y^2}{(x-y)^2(x+y)} $
2. Выполним умножение. Предварительно разложим на множители числитель первой дроби: $ x^3 - xy^2 = x(x^2 - y^2) = x(x-y)(x+y) $.
$ \frac{x^3 - xy^2}{x^2 + y^2} \cdot \frac{x^2+y^2}{(x-y)^2(x+y)} = \frac{x(x-y)(x+y)}{x^2+y^2} \cdot \frac{x^2+y^2}{(x-y)^2(x+y)} $
Сократим одинаковые множители в числителях и знаменателях ($ x^2+y^2 $, $ x+y $ и одну скобку $ x-y $):
$ \frac{x \cdot (1) \cdot (1)}{1} \cdot \frac{1}{(x-y) \cdot (1)} = \frac{x}{x-y} $
3. Выполним вычитание:
$ \frac{y}{x - y} - \frac{x}{x - y} = \frac{y - x}{x - y} $
Вынесем в числителе -1 за скобки: $ y - x = -(x - y) $.
$ \frac{-(x - y)}{x - y} = -1 $
Значение выражения равно -1 при всех допустимых значениях переменных, что и требовалось доказать.
Ответ: -1.
Другие задания:
Помогло решение? Оставьте отзыв в комментариях ниже.
Мы подготовили для вас ответ c подробным объяснением домашего задания по алгебре за 8 класс, для упражнения номер 161 расположенного на странице 41 к учебнику 2019 - 2022 года издания для учащихся школ и гимназий.
Теперь на нашем сайте ГДЗ.ТОП вы всегда легко и бесплатно найдёте условие с правильным ответом на вопрос «Как решить ДЗ» и «Как сделать» задание по алгебре к упражнению №161 (с. 41), авторов: Макарычев (Юрий Николаевич), Миндюк (Нора Григорьевна), Нешков (Константин Иванович), Суворова (Светлана Борисовна), ФГОС (старый) учебного пособия издательства Просвещение.