Номер 156, страница 40 - гдз по алгебре 8 класс учебник Макарычев, Миндюк

Авторы: Макарычев Ю. Н., Миндюк Н. Г., Нешков К. И., Суворова С. Б.
Тип: Учебник
Издательство: Просвещение
Год издания: 2019 - 2022
Цвет обложки: белый, голубой, фиолетовый
ISBN: 978-5-09-087569-1
Допущено Министерством просвещения Российской Федерации
Популярные ГДЗ в 8 классе
7. Преобразование рациональных выражений. § 3. Произведение и частное дробей. Глава 1. Рациональные дроби - номер 156, страница 40.
№156 (с. 40)
Условие. №156 (с. 40)
скриншот условия

156. Представьте в виде дроби:
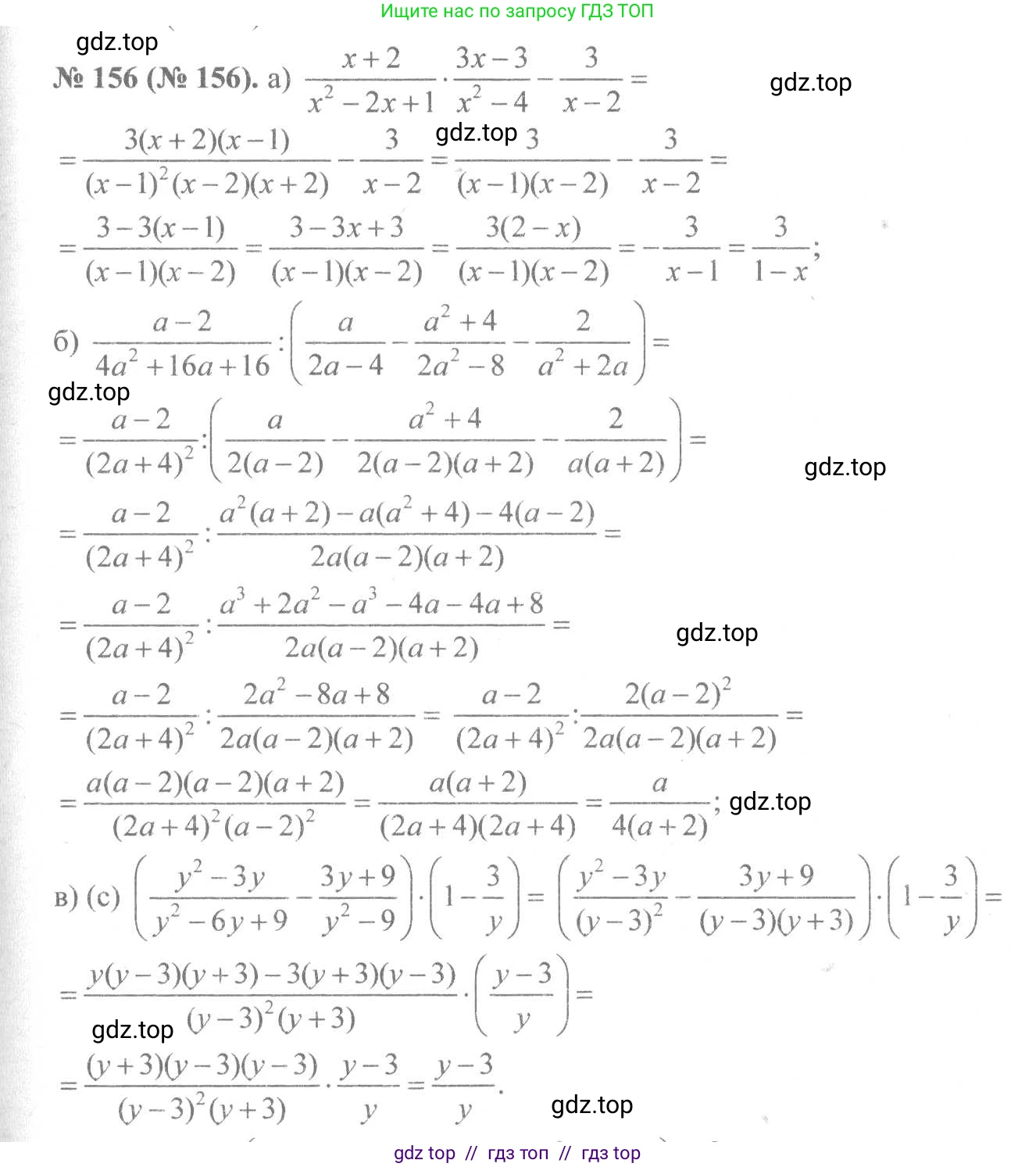
а) $\frac{x+2}{x^2-2x+1} \cdot \frac{3x-3}{x^2-4} - \frac{3}{x-2}$
б) $\frac{a-2}{4a^2+16a+16} : \left(\frac{a}{2a-4} - \frac{a^2+4}{2a^2-8} - \frac{2}{a^2+2a}\right)$
Решение 1. №156 (с. 40)


Решение 2. №156 (с. 40)

Решение 3. №156 (с. 40)

Решение 4. №156 (с. 40)

Решение 5. №156 (с. 40)


Решение 6. №156 (с. 40)


Решение 8. №156 (с. 40)
a) Для того чтобы представить выражение в виде дроби, выполним действия по порядку: сначала умножение, а затем вычитание.
1. Выполним умножение дробей. Для этого разложим числители и знаменатели на множители, используя формулы сокращенного умножения (квадрат разности и разность квадратов) и вынесение общего множителя за скобки.
$ \frac{x+2}{x^2 - 2x + 1} \cdot \frac{3x-3}{x^2 - 4} = \frac{x+2}{(x-1)^2} \cdot \frac{3(x-1)}{(x-2)(x+2)} $
Сократим общие множители $(x+2)$ и $(x-1)$:
$ \frac{\cancel{x+2}}{(x-1)^{\cancel{2}}} \cdot \frac{3\cancel{(x-1)}}{(x-2)(\cancel{x+2})} = \frac{3}{(x-1)(x-2)} $
2. Теперь выполним вычитание, используя результат первого действия:
$ \frac{3}{(x-1)(x-2)} - \frac{3}{x-2} $
Приведем дроби к общему знаменателю $(x-1)(x-2)$. Для этого домножим вторую дробь на $(x-1)$:
$ \frac{3}{(x-1)(x-2)} - \frac{3(x-1)}{(x-2)(x-1)} = \frac{3 - 3(x-1)}{(x-1)(x-2)} $
Раскроем скобки в числителе и приведем подобные слагаемые:
$ \frac{3 - 3x + 3}{(x-1)(x-2)} = \frac{6 - 3x}{(x-1)(x-2)} $
Вынесем общий множитель -3 в числителе, чтобы сократить дробь:
$ \frac{-3(x-2)}{(x-1)(x-2)} = -\frac{3}{x-1} $
Ответ: $ -\frac{3}{x-1} $
б) Сначала упростим выражение в скобках, приведя дроби к общему знаменателю, а затем выполним деление.
1. Упростим выражение в скобках. Для этого разложим знаменатели на множители:
$ \frac{a}{2a-4} - \frac{a^2+4}{2a^2-8} - \frac{2}{a^2+2a} = \frac{a}{2(a-2)} - \frac{a^2+4}{2(a^2-4)} - \frac{2}{a(a+2)} = \frac{a}{2(a-2)} - \frac{a^2+4}{2(a-2)(a+2)} - \frac{2}{a(a+2)} $
Общий знаменатель для этих дробей: $2a(a-2)(a+2)$. Приведем все дроби к этому знаменателю:
$ \frac{a \cdot a(a+2)}{2a(a-2)(a+2)} - \frac{(a^2+4) \cdot a}{2a(a-2)(a+2)} - \frac{2 \cdot 2(a-2)}{2a(a-2)(a+2)} $
Объединим дроби, выполнив действия в числителе:
$ \frac{a^2(a+2) - a(a^2+4) - 4(a-2)}{2a(a-2)(a+2)} = \frac{a^3 + 2a^2 - a^3 - 4a - 4a + 8}{2a(a-2)(a+2)} $
Упростим числитель, приведя подобные слагаемые и разложив на множители:
$ \frac{2a^2 - 8a + 8}{2a(a-2)(a+2)} = \frac{2(a^2 - 4a + 4)}{2a(a-2)(a+2)} = \frac{2(a-2)^2}{2a(a-2)(a+2)} $
Сократим общие множители $2$ и $(a-2)$:
$ \frac{\cancel{2}(a-2)^{\cancel{2}}}{\cancel{2}a\cancel{(a-2)}(a+2)} = \frac{a-2}{a(a+2)} $
2. Теперь выполним деление. Сначала разложим знаменатель делимого на множители:
$ 4a^2+16a+16 = 4(a^2+4a+4) = 4(a+2)^2 $
Деление дробей заменяется умножением на обратную дробь:
$ \frac{a-2}{4(a+2)^2} : \frac{a-2}{a(a+2)} = \frac{a-2}{4(a+2)^2} \cdot \frac{a(a+2)}{a-2} $
Сократим общие множители $(a-2)$ и $(a+2)$:
$ \frac{\cancel{a-2}}{4(a+2)^{\cancel{2}}} \cdot \frac{a(\cancel{a+2})}{\cancel{a-2}} = \frac{a}{4(a+2)} $
Ответ: $ \frac{a}{4(a+2)} $
Другие задания:
Помогло решение? Оставьте отзыв в комментариях ниже.
Мы подготовили для вас ответ c подробным объяснением домашего задания по алгебре за 8 класс, для упражнения номер 156 расположенного на странице 40 к учебнику 2019 - 2022 года издания для учащихся школ и гимназий.
Теперь на нашем сайте ГДЗ.ТОП вы всегда легко и бесплатно найдёте условие с правильным ответом на вопрос «Как решить ДЗ» и «Как сделать» задание по алгебре к упражнению №156 (с. 40), авторов: Макарычев (Юрий Николаевич), Миндюк (Нора Григорьевна), Нешков (Константин Иванович), Суворова (Светлана Борисовна), ФГОС (старый) учебного пособия издательства Просвещение.