Номер 159, страница 41 - гдз по алгебре 8 класс учебник Макарычев, Миндюк

Авторы: Макарычев Ю. Н., Миндюк Н. Г., Нешков К. И., Суворова С. Б.
Тип: Учебник
Издательство: Просвещение
Год издания: 2019 - 2022
Цвет обложки: белый, голубой, фиолетовый
ISBN: 978-5-09-087569-1
Допущено Министерством просвещения Российской Федерации
Популярные ГДЗ в 8 классе
7. Преобразование рациональных выражений. § 3. Произведение и частное дробей. Глава 1. Рациональные дроби - номер 159, страница 41.
№159 (с. 41)
Условие. №159 (с. 41)
скриншот условия

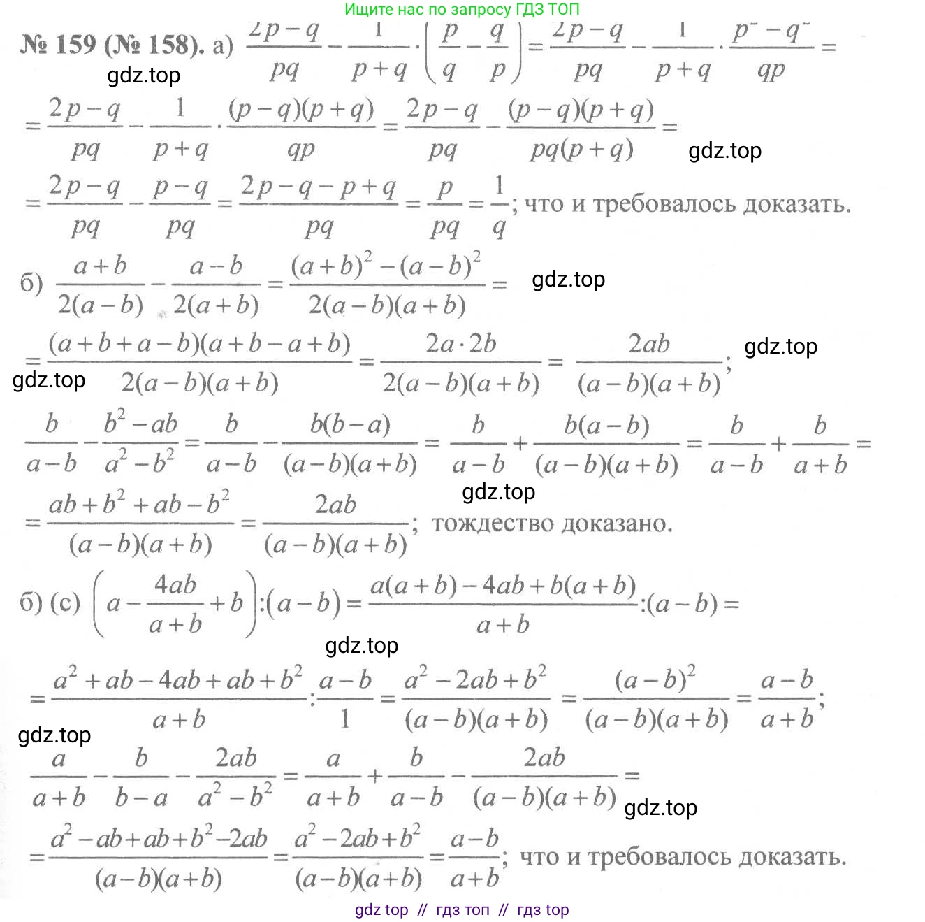
159. Докажите тождество:
a) $ \frac{2p-q}{pq} - \frac{1}{p+q} \cdot \left(\frac{p}{q} - \frac{q}{p}\right) = \frac{1}{q} $;
б) $ \frac{a+b}{2(a-b)} - \frac{a-b}{2(a+b)} = \frac{b}{a-b} - \frac{b^2-ab}{a^2-b^2} $.
Решение 1. №159 (с. 41)


Решение 2. №159 (с. 41)

Решение 3. №159 (с. 41)

Решение 4. №159 (с. 41)

Решение 5. №159 (с. 41)

Решение 6. №159 (с. 41)


Решение 8. №159 (с. 41)
Для доказательства тождества преобразуем его левую часть. Сначала упростим выражение в скобках, приведя дроби к общему знаменателю $pq$.
$ \frac{p}{q} - \frac{q}{p} = \frac{p^2}{pq} - \frac{q^2}{pq} = \frac{p^2 - q^2}{pq} $
Теперь подставим это в исходное выражение:
$ \frac{2p - q}{pq} - \frac{1}{p+q} \cdot \frac{p^2 - q^2}{pq} $
Разложим числитель $p^2 - q^2$ по формуле разности квадратов: $p^2 - q^2 = (p-q)(p+q)$.
$ \frac{2p - q}{pq} - \frac{1}{p+q} \cdot \frac{(p-q)(p+q)}{pq} $
Сократим множитель $(p+q)$ во втором слагаемом (при условии $p+q \neq 0$):
$ \frac{2p - q}{pq} - \frac{p-q}{pq} $
Так как знаменатели дробей одинаковы, выполним вычитание числителей:
$ \frac{(2p - q) - (p-q)}{pq} = \frac{2p - q - p + q}{pq} = \frac{p}{pq} $
Сократим дробь на $p$ (при условии $p \neq 0$):
$ \frac{p}{pq} = \frac{1}{q} $
Левая часть тождества равна правой, следовательно, тождество доказано.
Ответ: Тождество доказано.
б)Для доказательства тождества преобразуем его левую и правую части по отдельности и покажем, что они равны одному и тому же выражению.
Сначала преобразуем левую часть. Приведем дроби к общему знаменателю $2(a-b)(a+b)$:
$ \frac{a+b}{2(a-b)} - \frac{a-b}{2(a+b)} = \frac{(a+b)(a+b)}{2(a-b)(a+b)} - \frac{(a-b)(a-b)}{2(a+b)(a-b)} = \frac{(a+b)^2 - (a-b)^2}{2(a-b)(a+b)} $
В числителе применим формулы квадрата суммы и квадрата разности: $(a+b)^2 = a^2+2ab+b^2$ и $(a-b)^2 = a^2-2ab+b^2$. В знаменателе применим формулу разности квадратов: $(a-b)(a+b) = a^2-b^2$.
$ \frac{(a^2+2ab+b^2) - (a^2-2ab+b^2)}{2(a^2-b^2)} = \frac{a^2+2ab+b^2 - a^2+2ab-b^2}{2(a^2-b^2)} = \frac{4ab}{2(a^2-b^2)} = \frac{2ab}{a^2-b^2} $
Итак, левая часть равна $ \frac{2ab}{a^2-b^2} $.
Теперь преобразуем правую часть. Разложим знаменатель второй дроби на множители по формуле разности квадратов: $a^2 - b^2 = (a-b)(a+b)$.
$ \frac{b}{a-b} - \frac{b^2 - ab}{a^2 - b^2} = \frac{b}{a-b} - \frac{b^2 - ab}{(a-b)(a+b)} $
Приведем дроби к общему знаменателю $(a-b)(a+b) = a^2-b^2$:
$ \frac{b(a+b)}{(a-b)(a+b)} - \frac{b^2 - ab}{(a-b)(a+b)} = \frac{b(a+b) - (b^2 - ab)}{a^2 - b^2} $
Раскроем скобки в числителе и приведем подобные слагаемые:
$ \frac{ab + b^2 - b^2 + ab}{a^2 - b^2} = \frac{2ab}{a^2 - b^2} $
Итак, правая часть также равна $ \frac{2ab}{a^2 - b^2} $.
Поскольку левая и правая части тождества равны одному и тому же выражению, тождество доказано.
Ответ: Тождество доказано.
Другие задания:
Помогло решение? Оставьте отзыв в комментариях ниже.
Мы подготовили для вас ответ c подробным объяснением домашего задания по алгебре за 8 класс, для упражнения номер 159 расположенного на странице 41 к учебнику 2019 - 2022 года издания для учащихся школ и гимназий.
Теперь на нашем сайте ГДЗ.ТОП вы всегда легко и бесплатно найдёте условие с правильным ответом на вопрос «Как решить ДЗ» и «Как сделать» задание по алгебре к упражнению №159 (с. 41), авторов: Макарычев (Юрий Николаевич), Миндюк (Нора Григорьевна), Нешков (Константин Иванович), Суворова (Светлана Борисовна), ФГОС (старый) учебного пособия издательства Просвещение.