Номер 190, страница 47 - гдз по алгебре 8 класс учебник Макарычев, Миндюк

Авторы: Макарычев Ю. Н., Миндюк Н. Г., Нешков К. И., Суворова С. Б.
Тип: Учебник
Издательство: Просвещение
Год издания: 2019 - 2022
Цвет обложки: белый, голубой, фиолетовый
ISBN: 978-5-09-087569-1
Допущено Министерством просвещения Российской Федерации
Популярные ГДЗ в 8 классе
8. Функция y=k/x и её график. § 3. Произведение и частное дробей. Глава 1. Рациональные дроби - номер 190, страница 47.
№190 (с. 47)
Условие. №190 (с. 47)
скриншот условия

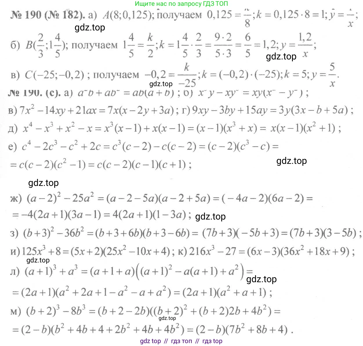
190. Задайте формулой обратную пропорциональность, зная, что её график проходит через точку:
а) A (8; 0,125);
б) B ($\frac{2}{3}$; $1\frac{4}{5}$);
в) C (-25; -0,2).
Решение 1. №190 (с. 47)


Решение 2. №190 (с. 47)

Решение 3. №190 (с. 47)

Решение 4. №190 (с. 47)

Решение 5. №190 (с. 47)

Решение 6. №190 (с. 47)

Решение 8. №190 (с. 47)
а) Общая формула обратной пропорциональности имеет вид $y = \frac{k}{x}$, где $k$ — это ненулевой коэффициент пропорциональности. Чтобы найти этот коэффициент, мы используем тот факт, что график функции проходит через заданную точку. Для точки $A (8; 0,125)$ её координаты $x = 8$ и $y = 0,125$ должны удовлетворять уравнению. Подставим эти значения в формулу: $0,125 = \frac{k}{8}$. Из этого уравнения находим $k$: $k = 8 \cdot 0,125$. Так как $0,125$ это то же самое, что и $\frac{1}{8}$, вычисление становится проще: $k = 8 \cdot \frac{1}{8} = 1$. Теперь, зная коэффициент $k=1$, мы можем записать итоговую формулу обратной пропорциональности.
Ответ: $y = \frac{1}{x}$.
б) Аналогично предыдущему пункту, используем общую формулу $y = \frac{k}{x}$ и координаты точки $B \left(\frac{2}{3}; 1\frac{4}{5}\right)$. Сначала преобразуем смешанное число $1\frac{4}{5}$ в неправильную дробь для удобства вычислений: $1\frac{4}{5} = \frac{1 \cdot 5 + 4}{5} = \frac{9}{5}$. Теперь подставим значения $x = \frac{2}{3}$ и $y = \frac{9}{5}$ в формулу: $\frac{9}{5} = \frac{k}{\frac{2}{3}}$. Чтобы найти $k$, умножим $x$ на $y$: $k = \frac{2}{3} \cdot \frac{9}{5}$. $k = \frac{2 \cdot 9}{3 \cdot 5} = \frac{18}{15}$. Сократим полученную дробь на 3: $k = \frac{6}{5}$. Подставляем найденное значение $k$ в общую формулу. Полученное уравнение $y = \frac{\frac{6}{5}}{x}$ можно записать в более удобном виде.
Ответ: $y = \frac{6}{5x}$.
в) Для точки $C (-25; -0,2)$ повторяем тот же алгоритм. Подставляем её координаты $x = -25$ и $y = -0,2$ в формулу $y = \frac{k}{x}$: $-0,2 = \frac{k}{-25}$. Находим коэффициент $k$: $k = -25 \cdot (-0,2)$. Произведение двух отрицательных чисел является положительным числом: $k = 25 \cdot 0,2$. $k = 5$. Теперь мы можем записать окончательную формулу, подставив $k=5$ в общее уравнение.
Ответ: $y = \frac{5}{x}$.
Другие задания:
Помогло решение? Оставьте отзыв в комментариях ниже.
Мы подготовили для вас ответ c подробным объяснением домашего задания по алгебре за 8 класс, для упражнения номер 190 расположенного на странице 47 к учебнику 2019 - 2022 года издания для учащихся школ и гимназий.
Теперь на нашем сайте ГДЗ.ТОП вы всегда легко и бесплатно найдёте условие с правильным ответом на вопрос «Как решить ДЗ» и «Как сделать» задание по алгебре к упражнению №190 (с. 47), авторов: Макарычев (Юрий Николаевич), Миндюк (Нора Григорьевна), Нешков (Константин Иванович), Суворова (Светлана Борисовна), ФГОС (старый) учебного пособия издательства Просвещение.