Номер 21, страница 9 - гдз по алгебре 8 класс учебник Макарычев, Миндюк

Авторы: Макарычев Ю. Н., Миндюк Н. Г., Нешков К. И., Суворова С. Б.
Тип: Учебник
Издательство: Просвещение
Год издания: 2019 - 2022
Цвет обложки: белый, голубой, фиолетовый
ISBN: 978-5-09-087569-1
Допущено Министерством просвещения Российской Федерации
Популярные ГДЗ в 8 классе
1. Рациональные выражения. § 1. Рациональные дроби и их свойства. Глава 1. Рациональные дроби - номер 21, страница 9.
№21 (с. 9)
Условие. №21 (с. 9)
скриншот условия

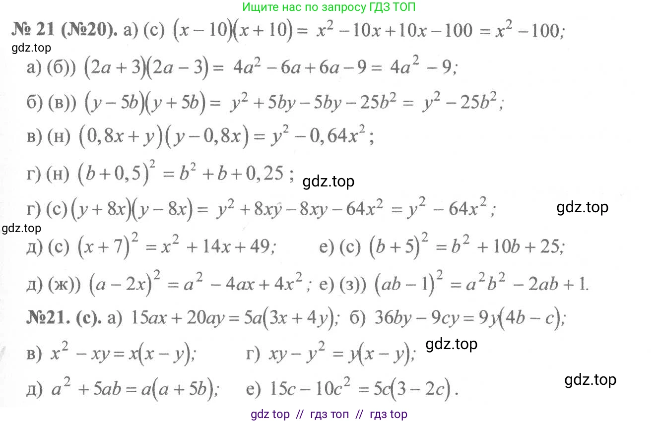
21. Преобразуйте в многочлен:
а) $(2a + 3)(2a - 3);$
б) $(y - 5b)(y + 5b);$
в) $(0,8x + y)(y - 0,8x);$
г) $(b + 0,5)^2;$
д) $(a - 2x)^2;$
е) $(ab - 1)^2.$
Решение 1. №21 (с. 9)






Решение 2. №21 (с. 9)

Решение 3. №21 (с. 9)

Решение 4. №21 (с. 9)

Решение 5. №21 (с. 9)

Решение 6. №21 (с. 9)


Решение 8. №21 (с. 9)
Для преобразования данного выражения в многочлен используем формулу разности квадратов: $(x+y)(x-y)=x^2-y^2$. В нашем случае $x=2a$ и $y=3$.
$(2a + 3)(2a - 3) = (2a)^2 - 3^2 = 4a^2 - 9$.
Ответ: $4a^2 - 9$.
Применим ту же формулу разности квадратов $(x-y)(x+y)=x^2-y^2$. Здесь $x=y$ и $y=5b$.
$(y - 5b)(y + 5b) = y^2 - (5b)^2 = y^2 - 25b^2$.
Ответ: $y^2 - 25b^2$.
Сначала поменяем слагаемые в первой скобке, чтобы выражение соответствовало формуле разности квадратов: $(0,8x + y)(y - 0,8x) = (y + 0,8x)(y - 0,8x)$.
Теперь применим формулу $(x+y)(x-y)=x^2-y^2$, где $x=y$ и $y=0,8x$.
$(y + 0,8x)(y - 0,8x) = y^2 - (0,8x)^2 = y^2 - 0,64x^2$.
Ответ: $y^2 - 0,64x^2$.
Для этого выражения используем формулу квадрата суммы: $(x+y)^2=x^2+2xy+y^2$. В данном случае $x=b$ и $y=0,5$.
$(b + 0,5)^2 = b^2 + 2 \cdot b \cdot 0,5 + (0,5)^2 = b^2 + b + 0,25$.
Ответ: $b^2 + b + 0,25$.
Здесь применим формулу квадрата разности: $(x-y)^2=x^2-2xy+y^2$. В нашем случае $x=a$ и $y=2x$.
$(a - 2x)^2 = a^2 - 2 \cdot a \cdot 2x + (2x)^2 = a^2 - 4ax + 4x^2$.
Ответ: $a^2 - 4ax + 4x^2$.
Используем формулу квадрата разности $(x-y)^2=x^2-2xy+y^2$, где $x=ab$ и $y=1$.
$(ab - 1)^2 = (ab)^2 - 2 \cdot ab \cdot 1 + 1^2 = a^2b^2 - 2ab + 1$.
Ответ: $a^2b^2 - 2ab + 1$.
Другие задания:
Помогло решение? Оставьте отзыв в комментариях ниже.
Мы подготовили для вас ответ c подробным объяснением домашего задания по алгебре за 8 класс, для упражнения номер 21 расположенного на странице 9 к учебнику 2019 - 2022 года издания для учащихся школ и гимназий.
Теперь на нашем сайте ГДЗ.ТОП вы всегда легко и бесплатно найдёте условие с правильным ответом на вопрос «Как решить ДЗ» и «Как сделать» задание по алгебре к упражнению №21 (с. 9), авторов: Макарычев (Юрий Николаевич), Миндюк (Нора Григорьевна), Нешков (Константин Иванович), Суворова (Светлана Борисовна), ФГОС (старый) учебного пособия издательства Просвещение.