Номер 215, страница 54 - гдз по алгебре 8 класс учебник Макарычев, Миндюк

Авторы: Макарычев Ю. Н., Миндюк Н. Г., Нешков К. И., Суворова С. Б.
Тип: Учебник
Издательство: Просвещение
Год издания: 2019 - 2022
Цвет обложки: белый, голубой, фиолетовый
ISBN: 978-5-09-087569-1
Допущено Министерством просвещения Российской Федерации
Популярные ГДЗ в 8 классе
К параграфу 1. Дополнительные упражнения к главе 1. Глава 1. Рациональные дроби - номер 215, страница 54.
№215 (с. 54)
Условие. №215 (с. 54)
скриншот условия

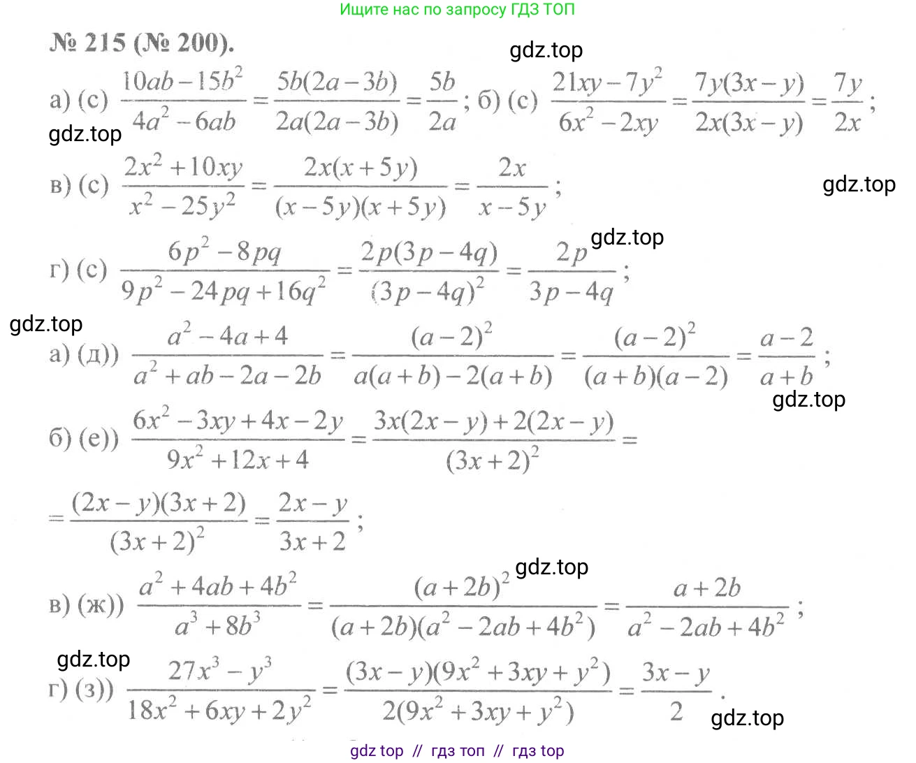
215. Сократите дробь:
а) $ \frac{a^2 - 4a + 4}{a^2 + ab - 2a - 2b}; $
Б) $ \frac{6x^2 - 3xy + 4x - 2y}{9x^2 + 12x + 4}. $
В) $ \frac{a^2 + 4ab + 4b^2}{a^3 + 8b^3}; $
Г) $ \frac{27x^3 - y^3}{18x^2 + 6xy + 2y^2}. $
Решение 1. №215 (с. 54)




Решение 2. №215 (с. 54)

Решение 3. №215 (с. 54)

Решение 4. №215 (с. 54)

Решение 6. №215 (с. 54)

Решение 8. №215 (с. 54)
а) Для сокращения дроби $\frac{a^2 - 4a + 4}{a^2 + ab - 2a - 2b}$ необходимо разложить на множители числитель и знаменатель.
Числитель представляет собой формулу квадрата разности: $a^2 - 4a + 4 = a^2 - 2 \cdot a \cdot 2 + 2^2 = (a-2)^2$.
Знаменатель разложим на множители методом группировки: $a^2 + ab - 2a - 2b = (a^2 + ab) - (2a + 2b) = a(a+b) - 2(a+b) = (a-2)(a+b)$.
Получаем дробь: $\frac{(a-2)^2}{(a-2)(a+b)}$.
Сокращаем общий множитель $(a-2)$, при условии, что $a \neq 2$.
$\frac{a-2}{a+b}$.
Ответ: $\frac{a-2}{a+b}$
б) Для сокращения дроби $\frac{6x^2 - 3xy + 4x - 2y}{9x^2 + 12x + 4}$ разложим на множители числитель и знаменатель.
Числитель разложим на множители методом группировки: $6x^2 - 3xy + 4x - 2y = (6x^2 - 3xy) + (4x - 2y) = 3x(2x-y) + 2(2x-y) = (3x+2)(2x-y)$.
Знаменатель представляет собой формулу квадрата суммы: $9x^2 + 12x + 4 = (3x)^2 + 2 \cdot 3x \cdot 2 + 2^2 = (3x+2)^2$.
Получаем дробь: $\frac{(3x+2)(2x-y)}{(3x+2)^2}$.
Сокращаем общий множитель $(3x+2)$, при условии, что $x \neq -\frac{2}{3}$.
$\frac{2x-y}{3x+2}$.
Ответ: $\frac{2x-y}{3x+2}$
в) Для сокращения дроби $\frac{a^2 + 4ab + 4b^2}{a^3 + 8b^3}$ разложим на множители числитель и знаменатель.
Числитель является квадратом суммы: $a^2 + 4ab + 4b^2 = a^2 + 2 \cdot a \cdot (2b) + (2b)^2 = (a+2b)^2$.
Знаменатель является суммой кубов: $a^3 + 8b^3 = a^3 + (2b)^3 = (a+2b)(a^2 - a(2b) + (2b)^2) = (a+2b)(a^2 - 2ab + 4b^2)$.
Получаем дробь: $\frac{(a+2b)^2}{(a+2b)(a^2 - 2ab + 4b^2)}$.
Сокращаем общий множитель $(a+2b)$, при условии, что $a \neq -2b$.
$\frac{a+2b}{a^2 - 2ab + 4b^2}$.
Ответ: $\frac{a+2b}{a^2 - 2ab + 4b^2}$
г) Для сокращения дроби $\frac{27x^3 - y^3}{18x^2 + 6xy + 2y^2}$ разложим на множители числитель и знаменатель.
Числитель является разностью кубов: $27x^3 - y^3 = (3x)^3 - y^3 = (3x-y)((3x)^2 + 3x \cdot y + y^2) = (3x-y)(9x^2+3xy+y^2)$.
В знаменателе вынесем общий множитель 2 за скобки: $18x^2 + 6xy + 2y^2 = 2(9x^2+3xy+y^2)$.
Получаем дробь: $\frac{(3x-y)(9x^2+3xy+y^2)}{2(9x^2+3xy+y^2)}$.
Сокращаем общий множитель $(9x^2+3xy+y^2)$, который не равен нулю при любых $x$ и $y$, не равных нулю одновременно.
$\frac{3x-y}{2}$.
Ответ: $\frac{3x-y}{2}$
Другие задания:
Помогло решение? Оставьте отзыв в комментариях ниже.
Мы подготовили для вас ответ c подробным объяснением домашего задания по алгебре за 8 класс, для упражнения номер 215 расположенного на странице 54 к учебнику 2019 - 2022 года издания для учащихся школ и гимназий.
Теперь на нашем сайте ГДЗ.ТОП вы всегда легко и бесплатно найдёте условие с правильным ответом на вопрос «Как решить ДЗ» и «Как сделать» задание по алгебре к упражнению №215 (с. 54), авторов: Макарычев (Юрий Николаевич), Миндюк (Нора Григорьевна), Нешков (Константин Иванович), Суворова (Светлана Борисовна), ФГОС (старый) учебного пособия издательства Просвещение.