Номер 216, страница 54 - гдз по алгебре 8 класс учебник Макарычев, Миндюк

Авторы: Макарычев Ю. Н., Миндюк Н. Г., Нешков К. И., Суворова С. Б.
Тип: Учебник
Издательство: Просвещение
Год издания: 2019 - 2022
Цвет обложки: белый, голубой, фиолетовый
ISBN: 978-5-09-087569-1
Допущено Министерством просвещения Российской Федерации
Популярные ГДЗ в 8 классе
К параграфу 1. Дополнительные упражнения к главе 1. Глава 1. Рациональные дроби - номер 216, страница 54.
№216 (с. 54)
Условие. №216 (с. 54)
скриншот условия

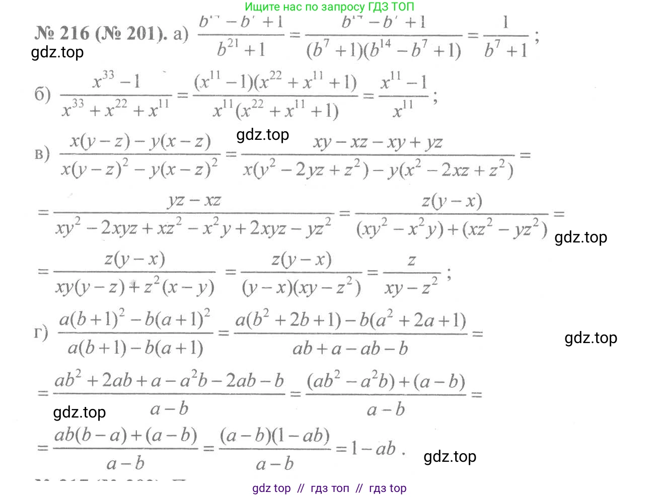
216. Выполните сокращение:
a) $\frac{b^{14} - b^7 + 1}{b^{21} + 1}$;
б) $\frac{x^{33} - 1}{x^{33} + x^{22} + x^{11}}`;$
B) $\frac{x(y - z) - y(x - z)}{x(y - z)^2 - y(x - z)^2}$;
Г) $\frac{a(b + 1)^2 - b(a + 1)^2}{a(b + 1) - b(a + 1)}$.
Решение 1. №216 (с. 54)




Решение 2. №216 (с. 54)

Решение 3. №216 (с. 54)

Решение 4. №216 (с. 54)

Решение 6. №216 (с. 54)


Решение 8. №216 (с. 54)
а) $ \frac{b^{14} - b^7 + 1}{b^{21} + 1} $
Знаменатель $b^{21} + 1$ можно представить как сумму кубов, используя замену $b^{21} = (b^7)^3$.
Применим формулу суммы кубов $a^3 + c^3 = (a+c)(a^2 - ac + c^2)$, где $a = b^7$ и $c = 1$:
$ b^{21} + 1 = (b^7)^3 + 1^3 = (b^7 + 1)((b^7)^2 - b^7 \cdot 1 + 1^2) = (b^7 + 1)(b^{14} - b^7 + 1) $.
Теперь подставим разложенный знаменатель обратно в дробь:
$ \frac{b^{14} - b^7 + 1}{(b^7 + 1)(b^{14} - b^7 + 1)} $.
Сократим общий множитель $(b^{14} - b^7 + 1)$ в числителе и знаменателе:
$ \frac{1}{b^7 + 1} $.
Ответ: $ \frac{1}{b^7 + 1} $.
б) $ \frac{x^{33} - 1}{x^{33} + x^{22} + x^{11}} $
В знаменателе вынесем общий множитель $x^{11}$ за скобки:
$ x^{33} + x^{22} + x^{11} = x^{11}(x^{22} + x^{11} + 1) $.
Числитель $x^{33} - 1$ можно представить как разность кубов, так как $x^{33} = (x^{11})^3$.
Применим формулу разности кубов $a^3 - c^3 = (a-c)(a^2 + ac + c^2)$, где $a = x^{11}$ и $c = 1$:
$ x^{33} - 1 = (x^{11})^3 - 1^3 = (x^{11} - 1)((x^{11})^2 + x^{11} \cdot 1 + 1^2) = (x^{11} - 1)(x^{22} + x^{11} + 1) $.
Подставим разложенные числитель и знаменатель в дробь:
$ \frac{(x^{11} - 1)(x^{22} + x^{11} + 1)}{x^{11}(x^{22} + x^{11} + 1)} $.
Сократим общий множитель $(x^{22} + x^{11} + 1)$:
$ \frac{x^{11} - 1}{x^{11}} $.
Ответ: $ \frac{x^{11} - 1}{x^{11}} $.
в) $ \frac{x(y - z) - y(x - z)}{x(y - z)^2 - y(x - z)^2} $
Раскроем скобки в числителе:
$ x(y - z) - y(x - z) = xy - xz - (yx - yz) = xy - xz - xy + yz = yz - xz $.
Вынесем общий множитель $z$ за скобки: $ z(y - x) $.
Теперь преобразуем знаменатель, раскрыв скобки:
$ x(y - z)^2 - y(x - z)^2 = x(y^2 - 2yz + z^2) - y(x^2 - 2xz + z^2) $
$ = xy^2 - 2xyz + xz^2 - yx^2 + 2xyz - yz^2 = xy^2 - yx^2 + xz^2 - yz^2 $.
Сгруппируем слагаемые и вынесем общие множители:
$ (xy^2 - yx^2) + (xz^2 - yz^2) = xy(y-x) + z^2(x-y) = xy(y-x) - z^2(y-x) = (y-x)(xy - z^2) $.
Подставим преобразованные числитель и знаменатель в дробь:
$ \frac{z(y - x)}{(y-x)(xy - z^2)} $.
Сократим общий множитель $(y - x)$:
$ \frac{z}{xy - z^2} $.
Ответ: $ \frac{z}{xy - z^2} $.
г) $ \frac{a(b+1)^2 - b(a+1)^2}{a(b+1) - b(a+1)} $
Сначала упростим знаменатель, раскрыв скобки:
$ a(b+1) - b(a+1) = ab + a - (ba + b) = ab + a - ab - b = a - b $.
Теперь преобразуем числитель. Раскроем скобки:
$ a(b+1)^2 - b(a+1)^2 = a(b^2 + 2b + 1) - b(a^2 + 2a + 1) $
$ = ab^2 + 2ab + a - ba^2 - 2ab - b = ab^2 + a - a^2b - b $.
Сгруппируем слагаемые и вынесем общие множители:
$ (ab^2 - a^2b) + (a - b) = ab(b - a) + (a - b) = -ab(a - b) + 1(a - b) = (a-b)(1 - ab) $.
Подставим преобразованные числитель и знаменатель в дробь:
$ \frac{(a-b)(1 - ab)}{a - b} $.
Сократим общий множитель $(a - b)$:
$ 1 - ab $.
Ответ: $ 1 - ab $.
Другие задания:
Помогло решение? Оставьте отзыв в комментариях ниже.
Мы подготовили для вас ответ c подробным объяснением домашего задания по алгебре за 8 класс, для упражнения номер 216 расположенного на странице 54 к учебнику 2019 - 2022 года издания для учащихся школ и гимназий.
Теперь на нашем сайте ГДЗ.ТОП вы всегда легко и бесплатно найдёте условие с правильным ответом на вопрос «Как решить ДЗ» и «Как сделать» задание по алгебре к упражнению №216 (с. 54), авторов: Макарычев (Юрий Николаевич), Миндюк (Нора Григорьевна), Нешков (Константин Иванович), Суворова (Светлана Борисовна), ФГОС (старый) учебного пособия издательства Просвещение.