Номер 228, страница 55 - гдз по алгебре 8 класс учебник Макарычев, Миндюк

Авторы: Макарычев Ю. Н., Миндюк Н. Г., Нешков К. И., Суворова С. Б.
Тип: Учебник
Издательство: Просвещение
Год издания: 2019 - 2022
Цвет обложки: белый, голубой, фиолетовый
ISBN: 978-5-09-087569-1
Допущено Министерством просвещения Российской Федерации
Популярные ГДЗ в 8 классе
К параграфу 2. Дополнительные упражнения к главе 1. Глава 1. Рациональные дроби - номер 228, страница 55.
№228 (с. 55)
Условие. №228 (с. 55)
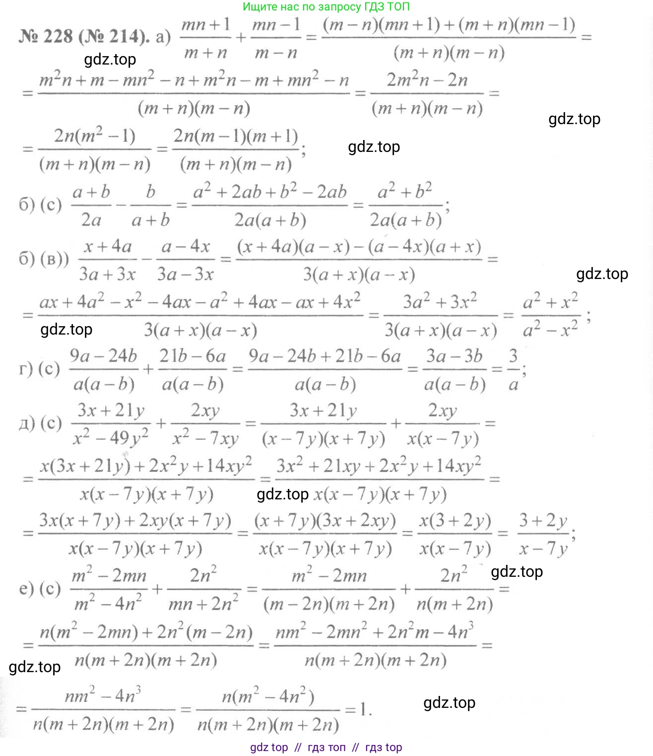
скриншот условия

228. Упростите выражение:
a) $ \frac{mn+1}{m+n} + \frac{mn-1}{m-n} $
б) $ \frac{x+4a}{3a+3x} - \frac{a-4x}{3a-3x} $
Решение 1. №228 (с. 55)


Решение 2. №228 (с. 55)

Решение 3. №228 (с. 55)

Решение 4. №228 (с. 55)

Решение 6. №228 (с. 55)


Решение 8. №228 (с. 55)
а) Чтобы сложить дроби, приведем их к общему знаменателю. Общий знаменатель для дробей $ \frac{mn+1}{m+n} $ и $ \frac{mn-1}{m-n} $ равен $ (m+n)(m-n) $, что по формуле разности квадратов равно $ m^2-n^2 $.
Домножим числитель и знаменатель первой дроби на $ (m-n) $, а второй дроби на $ (m+n) $:
$ \frac{mn+1}{m+n} + \frac{mn-1}{m-n} = \frac{(mn+1)(m-n)}{(m+n)(m-n)} + \frac{(mn-1)(m+n)}{(m-n)(m+n)} $
Теперь сложим числители, оставив общий знаменатель без изменений:
$ \frac{(mn+1)(m-n) + (mn-1)(m+n)}{m^2-n^2} $
Раскроем скобки в числителе:
$ (mn+1)(m-n) = mn \cdot m - mn \cdot n + 1 \cdot m - 1 \cdot n = m^2n - mn^2 + m - n $
$ (mn-1)(m+n) = mn \cdot m + mn \cdot n - 1 \cdot m - 1 \cdot n = m^2n + mn^2 - m - n $
Сложим полученные выражения в числителе:
$ (m^2n - mn^2 + m - n) + (m^2n + mn^2 - m - n) = m^2n - mn^2 + m - n + m^2n + mn^2 - m - n $
Приведем подобные слагаемые:
$ (m^2n+m^2n) + (-mn^2+mn^2) + (m-m) + (-n-n) = 2m^2n - 2n $
Подставим упрощенный числитель обратно в дробь:
$ \frac{2m^2n - 2n}{m^2-n^2} $
Можно вынести общий множитель $ 2n $ в числителе: $ \frac{2n(m^2-1)}{m^2-n^2} $. Дальнейшее сокращение невозможно.
Ответ: $ \frac{2m^2n - 2n}{m^2-n^2} $.
б) Сначала упростим знаменатели дробей, вынеся общий множитель за скобки:
$ \frac{x+4a}{3a+3x} - \frac{a-4x}{3a-3x} = \frac{x+4a}{3(a+x)} - \frac{a-4x}{3(a-x)} $
Общий знаменатель для этих дробей равен $ 3(a+x)(a-x) $, что по формуле разности квадратов равно $ 3(a^2-x^2) $.
Приведем дроби к общему знаменателю. Домножим числитель и знаменатель первой дроби на $ (a-x) $, а второй дроби на $ (a+x) $:
$ \frac{(x+4a)(a-x)}{3(a+x)(a-x)} - \frac{(a-4x)(a+x)}{3(a-x)(a+x)} $
Выполним вычитание дробей с одинаковыми знаменателями:
$ \frac{(x+4a)(a-x) - (a-4x)(a+x)}{3(a^2-x^2)} $
Раскроем скобки в числителе:
$ (x+4a)(a-x) = xa - x^2 + 4a^2 - 4ax = 4a^2 - 3ax - x^2 $
$ (a-4x)(a+x) = a^2 + ax - 4ax - 4x^2 = a^2 - 3ax - 4x^2 $
Подставим раскрытые выражения в числитель и выполним вычитание (обращая внимание на знак "минус" перед второй скобкой):
$ (4a^2 - 3ax - x^2) - (a^2 - 3ax - 4x^2) = 4a^2 - 3ax - x^2 - a^2 + 3ax + 4x^2 $
Приведем подобные слагаемые:
$ (4a^2 - a^2) + (-3ax + 3ax) + (-x^2 + 4x^2) = 3a^2 + 3x^2 $
Подставим упрощенный числитель обратно в дробь:
$ \frac{3a^2 + 3x^2}{3(a^2-x^2)} $
Вынесем общий множитель 3 в числителе и сократим дробь:
$ \frac{3(a^2 + x^2)}{3(a^2 - x^2)} = \frac{a^2+x^2}{a^2-x^2} $
Ответ: $ \frac{a^2+x^2}{a^2-x^2} $.
Другие задания:
Помогло решение? Оставьте отзыв в комментариях ниже.
Мы подготовили для вас ответ c подробным объяснением домашего задания по алгебре за 8 класс, для упражнения номер 228 расположенного на странице 55 к учебнику 2019 - 2022 года издания для учащихся школ и гимназий.
Теперь на нашем сайте ГДЗ.ТОП вы всегда легко и бесплатно найдёте условие с правильным ответом на вопрос «Как решить ДЗ» и «Как сделать» задание по алгебре к упражнению №228 (с. 55), авторов: Макарычев (Юрий Николаевич), Миндюк (Нора Григорьевна), Нешков (Константин Иванович), Суворова (Светлана Борисовна), ФГОС (старый) учебного пособия издательства Просвещение.