Номер 231, страница 56 - гдз по алгебре 8 класс учебник Макарычев, Миндюк

Авторы: Макарычев Ю. Н., Миндюк Н. Г., Нешков К. И., Суворова С. Б.
Тип: Учебник
Издательство: Просвещение
Год издания: 2019 - 2022
Цвет обложки: белый, голубой, фиолетовый
ISBN: 978-5-09-087569-1
Допущено Министерством просвещения Российской Федерации
Популярные ГДЗ в 8 классе
К параграфу 2. Дополнительные упражнения к главе 1. Глава 1. Рациональные дроби - номер 231, страница 56.
№231 (с. 56)
Условие. №231 (с. 56)
скриншот условия

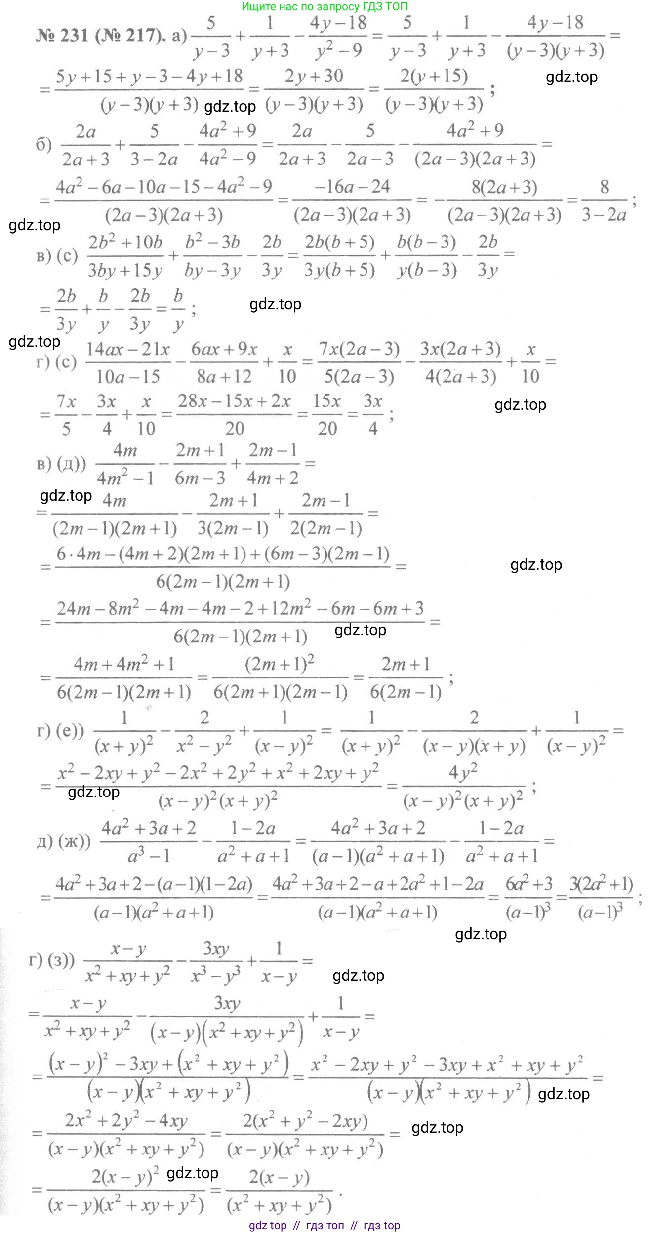
231. Упростите выражение:
а) $\frac{5}{y-3} + \frac{1}{y+3} - \frac{4y-18}{y^2-9};$
б) $\frac{2a}{2a+3} + \frac{5}{3-2a} - \frac{4a^2+9}{4a^2-9};$
в) $\frac{4m}{4m^2-1} - \frac{2m+1}{6m-3} + \frac{2m-1}{4m+2};$
г) $\frac{1}{(x+y)^2} - \frac{2}{x^2-y^2} + \frac{1}{(x-y)^2};$
д) $\frac{4a^2+3a+2}{a^3-1} - \frac{1-2a}{a^2+a+1};$
е) $\frac{x-y}{x^2+xy+y^2} - \frac{3xy}{x^3-y^3} + \frac{1}{x-y}.$
Решение 1. №231 (с. 56)






Решение 2. №231 (с. 56)

Решение 3. №231 (с. 56)

Решение 4. №231 (с. 56)

Решение 6. №231 (с. 56)



Решение 8. №231 (с. 56)
а) $\frac{5}{y-3} + \frac{1}{y+3} - \frac{4y-18}{y^2-9}$
Чтобы упростить выражение, приведем дроби к общему знаменателю. Сначала разложим знаменатели на множители. Знаменатель третьей дроби $y^2-9$ является разностью квадратов: $y^2-9 = (y-3)(y+3)$.
Общий знаменатель для всех дробей — это $(y-3)(y+3)$.
Приведем каждую дробь к общему знаменателю:
$\frac{5}{y-3} = \frac{5(y+3)}{(y-3)(y+3)}$
$\frac{1}{y+3} = \frac{1(y-3)}{(y-3)(y+3)}$
Теперь выполним сложение и вычитание дробей:
$\frac{5(y+3)}{(y-3)(y+3)} + \frac{y-3}{(y-3)(y+3)} - \frac{4y-18}{(y-3)(y+3)} = \frac{5(y+3) + (y-3) - (4y-18)}{(y-3)(y+3)}$
Раскроем скобки в числителе и приведем подобные слагаемые:
$\frac{5y + 15 + y - 3 - 4y + 18}{(y-3)(y+3)} = \frac{(5y+y-4y) + (15-3+18)}{(y-3)(y+3)} = \frac{2y+30}{y^2-9}$
Числитель можно разложить на множители: $2y+30 = 2(y+15)$.
$\frac{2(y+15)}{y^2-9}$. Сократить дробь нельзя.
Ответ: $\frac{2y+30}{y^2-9}$.
б) $\frac{2a}{2a+3} + \frac{5}{3-2a} - \frac{4a^2+9}{4a^2-9}$
Разложим знаменатели на множители. Заметим, что $3-2a = -(2a-3)$ и $4a^2-9 = (2a-3)(2a+3)$.
Преобразуем выражение, изменив знак у второй дроби:
$\frac{2a}{2a+3} - \frac{5}{2a-3} - \frac{4a^2+9}{(2a-3)(2a+3)}$
Общий знаменатель: $(2a-3)(2a+3)$. Приведем дроби к общему знаменателю:
$\frac{2a(2a-3)}{(2a+3)(2a-3)} - \frac{5(2a+3)}{(2a-3)(2a+3)} - \frac{4a^2+9}{(2a-3)(2a+3)}$
Объединим дроби:
$\frac{2a(2a-3) - 5(2a+3) - (4a^2+9)}{(2a-3)(2a+3)}$
Раскроем скобки в числителе:
$\frac{4a^2 - 6a - 10a - 15 - 4a^2 - 9}{(2a-3)(2a+3)} = \frac{(4a^2-4a^2) + (-6a-10a) + (-15-9)}{4a^2-9} = \frac{-16a-24}{4a^2-9}$
Вынесем общий множитель в числителе:
$\frac{-8(2a+3)}{(2a-3)(2a+3)}$
Сократим дробь на $(2a+3)$:
$\frac{-8}{2a-3} = \frac{8}{-(2a-3)} = \frac{8}{3-2a}$
Ответ: $\frac{8}{3-2a}$.
в) $\frac{4m}{4m^2-1} - \frac{2m+1}{6m-3} + \frac{2m-1}{4m+2}$
Разложим знаменатели на множители:
$4m^2-1 = (2m-1)(2m+1)$
$6m-3 = 3(2m-1)$
$4m+2 = 2(2m+1)$
Общий знаменатель: $3 \cdot 2 \cdot (2m-1)(2m+1) = 6(2m-1)(2m+1)$.
Приведем дроби к общему знаменателю:
$\frac{4m \cdot 6}{6(2m-1)(2m+1)} - \frac{(2m+1) \cdot 2(2m+1)}{6(2m-1)(2m+1)} + \frac{(2m-1) \cdot 3(2m-1)}{6(2m-1)(2m+1)}$
Объединим дроби:
$\frac{24m - 2(2m+1)^2 + 3(2m-1)^2}{6(4m^2-1)}$
Раскроем скобки в числителе, используя формулы квадрата суммы и квадрата разности:
$\frac{24m - 2(4m^2+4m+1) + 3(4m^2-4m+1)}{6(4m^2-1)} = \frac{24m - 8m^2 - 8m - 2 + 12m^2 - 12m + 3}{6(4m^2-1)}$
Приведем подобные слагаемые в числителе:
$\frac{(-8m^2+12m^2) + (24m-8m-12m) + (-2+3)}{6(4m^2-1)} = \frac{4m^2+4m+1}{6(4m^2-1)}$
Числитель является полным квадратом: $4m^2+4m+1 = (2m+1)^2$.
$\frac{(2m+1)^2}{6(2m-1)(2m+1)}$
Сократим дробь на $(2m+1)$:
$\frac{2m+1}{6(2m-1)}$
Ответ: $\frac{2m+1}{6(2m-1)}$.
г) $\frac{1}{(x+y)^2} - \frac{2}{x^2-y^2} + \frac{1}{(x-y)^2}$
Разложим средний знаменатель на множители: $x^2-y^2=(x-y)(x+y)$.
Общий знаменатель: $(x-y)^2(x+y)^2$.
Приведем дроби к общему знаменателю:
$\frac{1 \cdot (x-y)^2}{(x+y)^2(x-y)^2} - \frac{2 \cdot (x-y)(x+y)}{(x-y)(x+y)(x-y)(x+y)} + \frac{1 \cdot (x+y)^2}{(x-y)^2(x+y)^2}$
$\frac{(x-y)^2 - 2(x-y)(x+y) + (x+y)^2}{(x-y)^2(x+y)^2}$
Числитель представляет собой формулу квадрата разности $(a-b)^2 = a^2-2ab+b^2$, где $a=(x-y)$ и $b=(x+y)$.
Свернем числитель по этой формуле:
$\frac{((x-y)-(x+y))^2}{((x-y)(x+y))^2} = \frac{(x-y-x-y)^2}{(x^2-y^2)^2} = \frac{(-2y)^2}{(x^2-y^2)^2} = \frac{4y^2}{(x^2-y^2)^2}$
Ответ: $\frac{4y^2}{(x^2-y^2)^2}$.
д) $\frac{4a^2+3a+2}{a^3-1} - \frac{1-2a}{a^2+a+1}$
Разложим знаменатель первой дроби по формуле разности кубов: $a^3-1 = (a-1)(a^2+a+1)$.
Общий знаменатель: $(a-1)(a^2+a+1) = a^3-1$.
Приведем вторую дробь к общему знаменателю:
$\frac{4a^2+3a+2}{a^3-1} - \frac{(1-2a)(a-1)}{(a-1)(a^2+a+1)}$
Объединим дроби:
$\frac{(4a^2+3a+2) - (1-2a)(a-1)}{a^3-1}$
Раскроем скобки в числителе:
$(1-2a)(a-1) = a - 1 - 2a^2 + 2a = -2a^2+3a-1$.
$\frac{4a^2+3a+2 - (-2a^2+3a-1)}{a^3-1} = \frac{4a^2+3a+2+2a^2-3a+1}{a^3-1}$
Приведем подобные слагаемые в числителе:
$\frac{(4a^2+2a^2) + (3a-3a) + (2+1)}{a^3-1} = \frac{6a^2+3}{a^3-1}$
Ответ: $\frac{6a^2+3}{a^3-1}$.
е) $\frac{x-y}{x^2+xy+y^2} - \frac{3xy}{x^3-y^3} + \frac{1}{x-y}$
Разложим знаменатель второй дроби по формуле разности кубов: $x^3-y^3 = (x-y)(x^2+xy+y^2)$.
Общий знаменатель: $(x-y)(x^2+xy+y^2) = x^3-y^3$.
Приведем дроби к общему знаменателю:
$\frac{(x-y)(x-y)}{(x-y)(x^2+xy+y^2)} - \frac{3xy}{x^3-y^3} + \frac{1(x^2+xy+y^2)}{(x-y)(x^2+xy+y^2)}$
$\frac{(x-y)^2 - 3xy + (x^2+xy+y^2)}{x^3-y^3}$
Раскроем скобки в числителе:
$\frac{x^2-2xy+y^2 - 3xy + x^2+xy+y^2}{x^3-y^3}$
Приведем подобные слагаемые в числителе:
$\frac{(x^2+x^2) + (-2xy-3xy+xy) + (y^2+y^2)}{x^3-y^3} = \frac{2x^2-4xy+2y^2}{x^3-y^3}$
Вынесем общий множитель в числителе и свернем его по формуле квадрата разности:
$\frac{2(x^2-2xy+y^2)}{x^3-y^3} = \frac{2(x-y)^2}{(x-y)(x^2+xy+y^2)}$
Сократим дробь на $(x-y)$:
$\frac{2(x-y)}{x^2+xy+y^2}$
Ответ: $\frac{2(x-y)}{x^2+xy+y^2}$.
Другие задания:
Помогло решение? Оставьте отзыв в комментариях ниже.
Мы подготовили для вас ответ c подробным объяснением домашего задания по алгебре за 8 класс, для упражнения номер 231 расположенного на странице 56 к учебнику 2019 - 2022 года издания для учащихся школ и гимназий.
Теперь на нашем сайте ГДЗ.ТОП вы всегда легко и бесплатно найдёте условие с правильным ответом на вопрос «Как решить ДЗ» и «Как сделать» задание по алгебре к упражнению №231 (с. 56), авторов: Макарычев (Юрий Николаевич), Миндюк (Нора Григорьевна), Нешков (Константин Иванович), Суворова (Светлана Борисовна), ФГОС (старый) учебного пособия издательства Просвещение.