Номер 236, страница 56 - гдз по алгебре 8 класс учебник Макарычев, Миндюк

Авторы: Макарычев Ю. Н., Миндюк Н. Г., Нешков К. И., Суворова С. Б.
Тип: Учебник
Издательство: Просвещение
Год издания: 2019 - 2022
Цвет обложки: белый, голубой, фиолетовый
ISBN: 978-5-09-087569-1
Допущено Министерством просвещения Российской Федерации
Популярные ГДЗ в 8 классе
К параграфу 2. Дополнительные упражнения к главе 1. Глава 1. Рациональные дроби - номер 236, страница 56.
№236 (с. 56)
Условие. №236 (с. 56)
скриншот условия

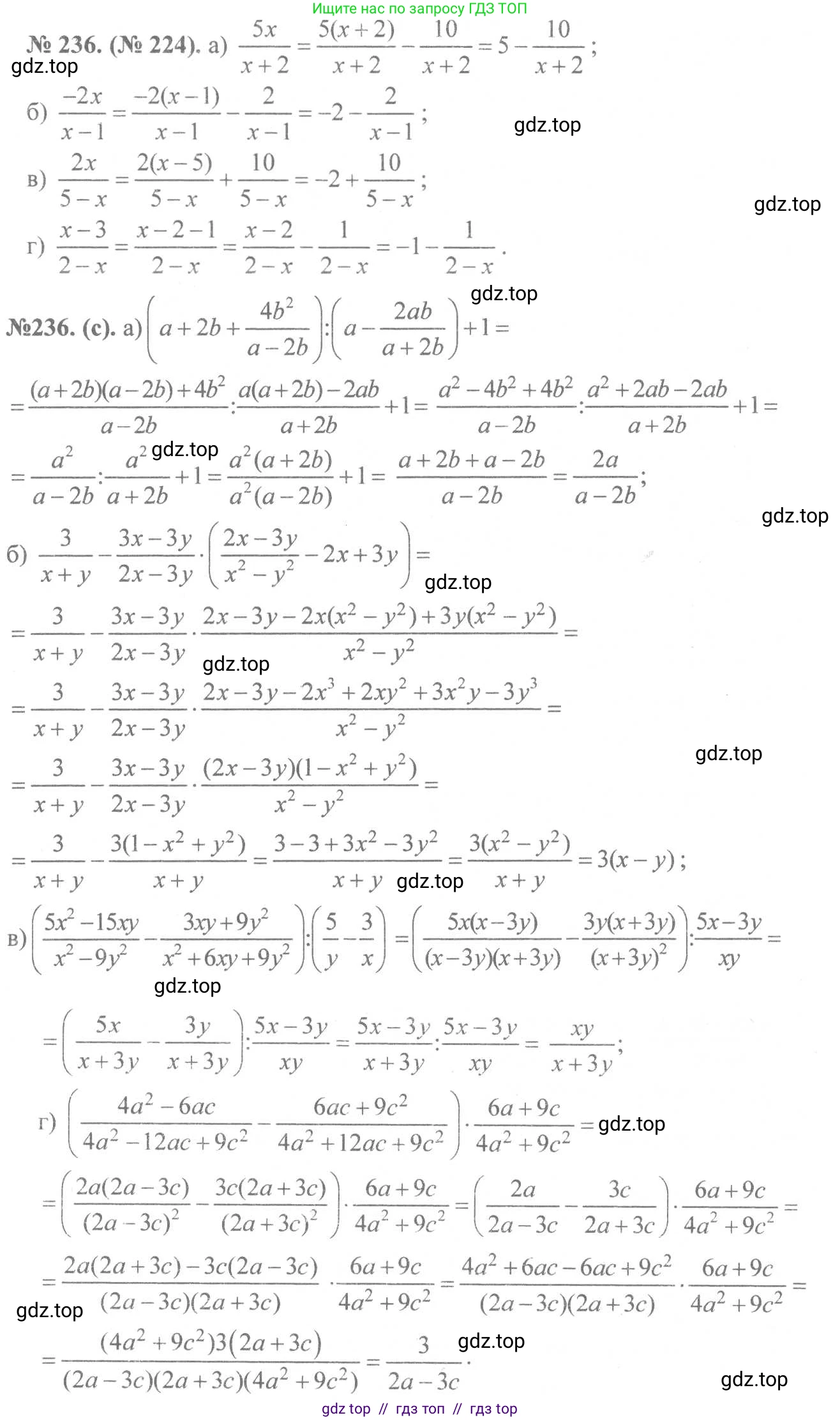
236. Представьте дробь в виде суммы или разности целого выражения и дроби:
а) $\frac{5x}{x+2}$;
б) $\frac{-2x}{x-1}$;
в) $\frac{2x}{5-x}$;
г) $\frac{x-3}{2-x}$.
Решение 1. №236 (с. 56)




Решение 2. №236 (с. 56)

Решение 3. №236 (с. 56)

Решение 6. №236 (с. 56)

Решение 8. №236 (с. 56)
а) Чтобы представить дробь в виде суммы или разности целого выражения и дроби, нужно выделить целую часть. Для этого преобразуем числитель так, чтобы в нем содержалось выражение, кратное знаменателю.
Знаменатель дроби $\frac{5x}{x+2}$ равен $x+2$. Представим числитель $5x$ следующим образом: добавим и вычтем такое число, чтобы можно было вынести за скобку множитель 5 и получить в скобках выражение $x+2$.
$5x = 5x + 10 - 10 = 5(x+2) - 10$
Теперь подставим это выражение обратно в дробь и разделим ее на две части:
$\frac{5x}{x+2} = \frac{5(x+2) - 10}{x+2} = \frac{5(x+2)}{x+2} - \frac{10}{x+2}$
После сокращения первой дроби получаем:
$5 - \frac{10}{x+2}$
Таким образом, мы представили исходную дробь в виде разности целого выражения 5 и дроби $\frac{10}{x+2}$.
Ответ: $5 - \frac{10}{x+2}$
б) Рассмотрим дробь $\frac{-2x}{x-1}$. Знаменатель равен $x-1$.
Преобразуем числитель $-2x$, чтобы выделить в нем выражение, кратное знаменателю. Для этого добавим и вычтем 2:
$-2x = -2x + 2 - 2 = -2(x-1) - 2$
Подставим полученное выражение в числитель дроби и разделим ее:
$\frac{-2x}{x-1} = \frac{-2(x-1) - 2}{x-1} = \frac{-2(x-1)}{x-1} - \frac{2}{x-1}$
Сократив первую дробь, получим:
$-2 - \frac{2}{x-1}$
Мы получили разность целого выражения $-2$ и дроби $\frac{2}{x-1}$.
Ответ: $-2 - \frac{2}{x-1}$
в) Рассмотрим дробь $\frac{2x}{5-x}$. Знаменатель равен $5-x$.
Выделим в числителе $2x$ выражение, кратное знаменателю. Заметим, что $-2(5-x) = -10 + 2x$. Отсюда можно выразить $2x$:
$2x = -2(5-x) + 10$
Подставим это выражение в числитель и разделим дробь:
$\frac{2x}{5-x} = \frac{-2(5-x) + 10}{5-x} = \frac{-2(5-x)}{5-x} + \frac{10}{5-x}$
После сокращения получаем:
$-2 + \frac{10}{5-x}$
В результате мы представили дробь в виде суммы целого выражения $-2$ и дроби $\frac{10}{5-x}$.
Ответ: $-2 + \frac{10}{5-x}$
г) Рассмотрим дробь $\frac{x-3}{2-x}$. Знаменатель равен $2-x$.
Преобразуем числитель $x-3$ так, чтобы выделить в нем знаменатель $2-x$. Для этого представим числитель в следующем виде:
$x - 3 = x - 2 - 1 = -(2-x) - 1$
Подставим это выражение в дробь:
$\frac{x-3}{2-x} = \frac{-(2-x) - 1}{2-x}$
Разделим почленно числитель на знаменатель:
$\frac{-(2-x)}{2-x} - \frac{1}{2-x} = -1 - \frac{1}{2-x}$
Таким образом, мы представили дробь в виде разности целого выражения $-1$ и дроби $\frac{1}{2-x}$.
Ответ: $-1 - \frac{1}{2-x}$
Другие задания:
Помогло решение? Оставьте отзыв в комментариях ниже.
Мы подготовили для вас ответ c подробным объяснением домашего задания по алгебре за 8 класс, для упражнения номер 236 расположенного на странице 56 к учебнику 2019 - 2022 года издания для учащихся школ и гимназий.
Теперь на нашем сайте ГДЗ.ТОП вы всегда легко и бесплатно найдёте условие с правильным ответом на вопрос «Как решить ДЗ» и «Как сделать» задание по алгебре к упражнению №236 (с. 56), авторов: Макарычев (Юрий Николаевич), Миндюк (Нора Григорьевна), Нешков (Константин Иванович), Суворова (Светлана Борисовна), ФГОС (старый) учебного пособия издательства Просвещение.