Номер 242, страница 57 - гдз по алгебре 8 класс учебник Макарычев, Миндюк

Авторы: Макарычев Ю. Н., Миндюк Н. Г., Нешков К. И., Суворова С. Б.
Тип: Учебник
Издательство: Просвещение
Год издания: 2019 - 2022
Цвет обложки: белый, голубой, фиолетовый
ISBN: 978-5-09-087569-1
Допущено Министерством просвещения Российской Федерации
Популярные ГДЗ в 8 классе
К параграфу 3. Дополнительные упражнения к главе 1. Глава 1. Рациональные дроби - номер 242, страница 57.
№242 (с. 57)
Условие. №242 (с. 57)
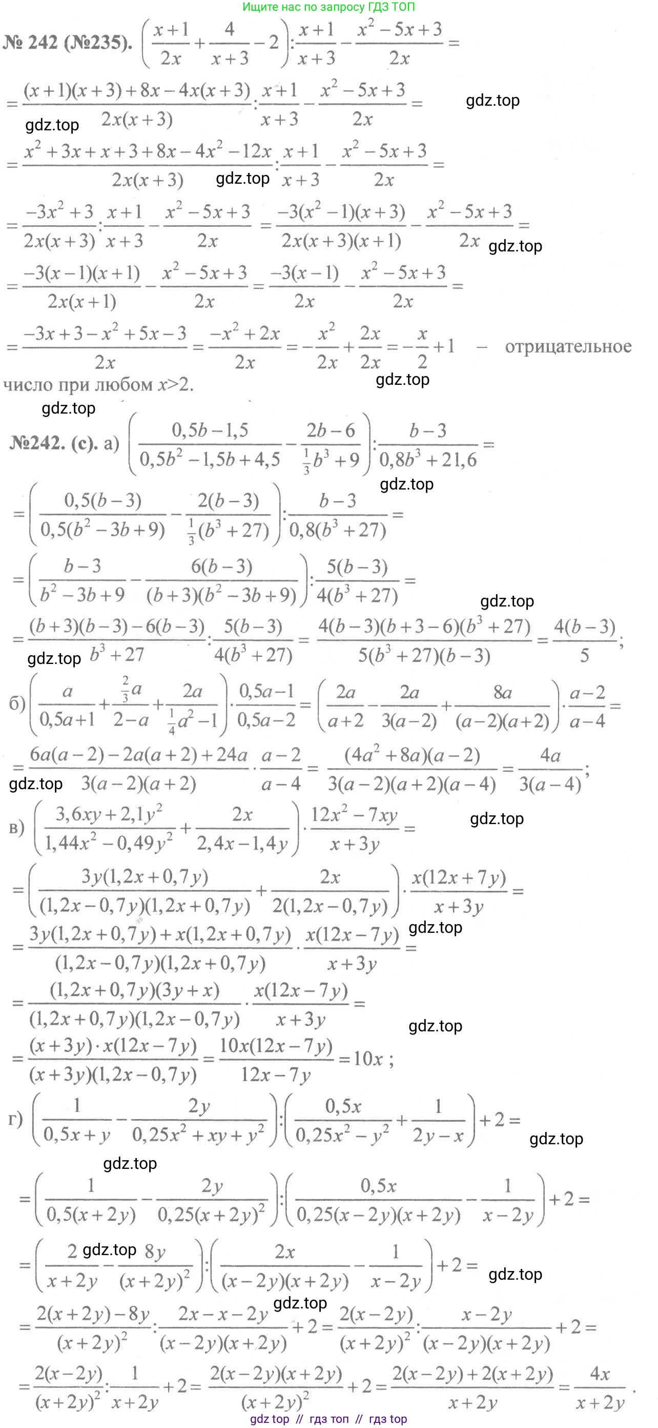
скриншот условия

242. Докажите, что при любом значении x, большем 2, значение выражения
$(\frac{x+1}{2x} + \frac{4}{x+3} - 2) : \frac{x+1}{x+3} - \frac{x^2 - 5x + 3}{2x}$
является отрицательным числом.
Решение 1. №242 (с. 57)

Решение 2. №242 (с. 57)

Решение 3. №242 (с. 57)

Решение 4. №242 (с. 57)

Решение 6. №242 (с. 57)

Решение 8. №242 (с. 57)
Для того чтобы доказать, что значение данного выражения является отрицательным при $x > 2$, мы упростим это выражение, выполняя действия по порядку.
1. Первым шагом упростим выражение в скобках: $\frac{x+1}{2x} + \frac{4}{x+3} - 2$.
Для этого приведем все члены к общему знаменателю $2x(x+3)$:
$\frac{(x+1)(x+3)}{2x(x+3)} + \frac{4 \cdot 2x}{2x(x+3)} - \frac{2 \cdot 2x(x+3)}{2x(x+3)} = \frac{(x^2+3x+x+3) + 8x - (4x^2+12x)}{2x(x+3)}$
Раскроем скобки в числителе и приведем подобные слагаемые:
$\frac{x^2+4x+3+8x-4x^2-12x}{2x(x+3)} = \frac{-3x^2+3}{2x(x+3)} = \frac{-3(x^2-1)}{2x(x+3)}$
2. Далее выполним деление полученного выражения на дробь $\frac{x+1}{x+3}$:
$\frac{-3(x^2-1)}{2x(x+3)} : \frac{x+1}{x+3} = \frac{-3(x^2-1)}{2x(x+3)} \cdot \frac{x+3}{x+1}$
Разложим $x^2-1$ на множители как разность квадратов и сократим дробь. Учитывая, что по условию $x > 2$, знаменатели $x+3$ и $x+1$ не равны нулю.
$\frac{-3(x-1)(x+1)}{2x(x+3)} \cdot \frac{x+3}{x+1} = \frac{-3(x-1)}{2x}$
3. Теперь выполним последнее действие — вычитание:
$\frac{-3(x-1)}{2x} - \frac{x^2 - 5x + 3}{2x}$
Поскольку знаменатели дробей одинаковы, выполним вычитание числителей:
$\frac{-3(x-1) - (x^2 - 5x + 3)}{2x} = \frac{-3x+3 - x^2 + 5x - 3}{2x}$
Снова приведем подобные слагаемые в числителе:
$\frac{-x^2+2x}{2x}$
4. Упростим итоговое выражение. Вынесем в числителе за скобки $-x$:
$\frac{-x(x-2)}{2x}$
Сократим дробь на $x$ (это возможно, так как $x > 2$ и, следовательно, $x \neq 0$):
$\frac{-(x-2)}{2} = \frac{2-x}{2}$
5. Проанализируем полученный результат. Нам нужно доказать, что выражение $\frac{2-x}{2}$ отрицательно при $x > 2$.
Если $x > 2$, то разность $2-x$ будет отрицательным числом (из меньшего числа вычитается большее). Знаменатель дроби равен 2, что является положительным числом. При делении отрицательного числа на положительное результат всегда будет отрицательным.
Таким образом, мы доказали, что при любом значении $x$, большем 2, значение исходного выражения является отрицательным числом.
Ответ: Утверждение доказано.
Другие задания:
Помогло решение? Оставьте отзыв в комментариях ниже.
Мы подготовили для вас ответ c подробным объяснением домашего задания по алгебре за 8 класс, для упражнения номер 242 расположенного на странице 57 к учебнику 2019 - 2022 года издания для учащихся школ и гимназий.
Теперь на нашем сайте ГДЗ.ТОП вы всегда легко и бесплатно найдёте условие с правильным ответом на вопрос «Как решить ДЗ» и «Как сделать» задание по алгебре к упражнению №242 (с. 57), авторов: Макарычев (Юрий Николаевич), Миндюк (Нора Григорьевна), Нешков (Константин Иванович), Суворова (Светлана Борисовна), ФГОС (старый) учебного пособия издательства Просвещение.