Номер 33, страница 14 - гдз по алгебре 8 класс учебник Макарычев, Миндюк

Авторы: Макарычев Ю. Н., Миндюк Н. Г., Нешков К. И., Суворова С. Б.
Тип: Учебник
Издательство: Просвещение
Год издания: 2019 - 2022
Цвет обложки: белый, голубой, фиолетовый
ISBN: 978-5-09-087569-1
Допущено Министерством просвещения Российской Федерации
Популярные ГДЗ в 8 классе
2. Основное свойство дроби. Сокращение дробей. § 1. Рациональные дроби и их свойства. Глава 1. Рациональные дроби - номер 33, страница 14.
№33 (с. 14)
Условие. №33 (с. 14)
скриншот условия

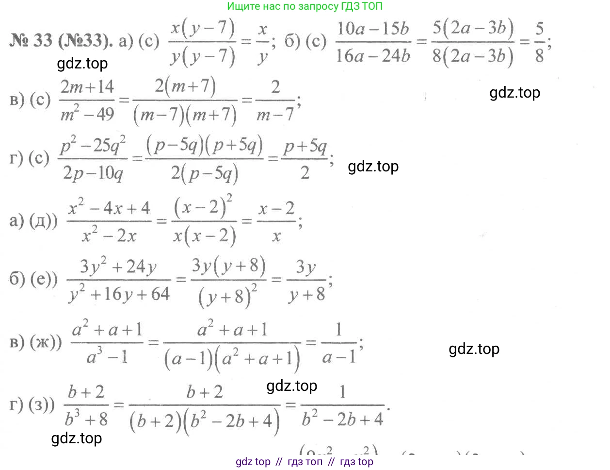
33. Сократите дробь:
а) $\frac{x^2 - 4x + 4}{x^2 - 2x}$;
б) $\frac{3y^2 + 24y}{y^2 + 16y + 64}$;
В) $\frac{a^2 + a + 1}{a^3 - 1}$;
Г) $\frac{b + 2}{b^3 + 8}$.
Решение 1. №33 (с. 14)




Решение 2. №33 (с. 14)

Решение 3. №33 (с. 14)

Решение 4. №33 (с. 14)

Решение 5. №33 (с. 14)

Решение 6. №33 (с. 14)


Решение 8. №33 (с. 14)
а) Чтобы сократить дробь $\frac{x^2 - 4x + 4}{x^2 - 2x}$, необходимо разложить числитель и знаменатель на множители.
Числитель $x^2 - 4x + 4$ является полным квадратом разности, который можно свернуть по формуле $a^2 - 2ab + b^2 = (a-b)^2$.
$x^2 - 2 \cdot x \cdot 2 + 2^2 = (x-2)^2$.
В знаменателе $x^2 - 2x$ вынесем общий множитель $x$ за скобки:
$x(x-2)$.
Теперь дробь имеет вид:
$\frac{(x-2)^2}{x(x-2)}$.
Сократим общий множитель $(x-2)$:
$\frac{(x-2)(x-2)}{x(x-2)} = \frac{x-2}{x}$.
Ответ: $\frac{x-2}{x}$
б) Чтобы сократить дробь $\frac{3y^2 + 24y}{y^2 + 16y + 64}$, разложим числитель и знаменатель на множители.
В числителе $3y^2 + 24y$ вынесем общий множитель $3y$ за скобки:
$3y(y+8)$.
Знаменатель $y^2 + 16y + 64$ является полным квадратом суммы, который можно свернуть по формуле $a^2 + 2ab + b^2 = (a+b)^2$.
$y^2 + 2 \cdot y \cdot 8 + 8^2 = (y+8)^2$.
Теперь дробь имеет вид:
$\frac{3y(y+8)}{(y+8)^2}$.
Сократим общий множитель $(y+8)$:
$\frac{3y(y+8)}{(y+8)(y+8)} = \frac{3y}{y+8}$.
Ответ: $\frac{3y}{y+8}$
в) Чтобы сократить дробь $\frac{a^2 + a + 1}{a^3 - 1}$, разложим знаменатель на множители.
Знаменатель $a^3 - 1$ представляет собой разность кубов, которую можно разложить по формуле $x^3 - y^3 = (x-y)(x^2 + xy + y^2)$:
$a^3 - 1^3 = (a-1)(a^2 + a \cdot 1 + 1^2) = (a-1)(a^2 + a + 1)$.
Числитель $a^2 + a + 1$ является неполным квадратом суммы и не раскладывается на множители с действительными коэффициентами.
Теперь дробь имеет вид:
$\frac{a^2 + a + 1}{(a-1)(a^2 + a + 1)}$.
Сократим общий множитель $(a^2 + a + 1)$:
$\frac{1}{a-1}$.
Ответ: $\frac{1}{a-1}$
г) Чтобы сократить дробь $\frac{b+2}{b^3 + 8}$, разложим знаменатель на множители.
Знаменатель $b^3 + 8$ представляет собой сумму кубов, которую можно разложить по формуле $x^3 + y^3 = (x+y)(x^2 - xy + y^2)$:
$b^3 + 2^3 = (b+2)(b^2 - b \cdot 2 + 2^2) = (b+2)(b^2 - 2b + 4)$.
Теперь дробь имеет вид:
$\frac{b+2}{(b+2)(b^2 - 2b + 4)}$.
Сократим общий множитель $(b+2)$:
$\frac{1}{b^2 - 2b + 4}$.
Ответ: $\frac{1}{b^2 - 2b + 4}$
Другие задания:
Помогло решение? Оставьте отзыв в комментариях ниже.
Мы подготовили для вас ответ c подробным объяснением домашего задания по алгебре за 8 класс, для упражнения номер 33 расположенного на странице 14 к учебнику 2019 - 2022 года издания для учащихся школ и гимназий.
Теперь на нашем сайте ГДЗ.ТОП вы всегда легко и бесплатно найдёте условие с правильным ответом на вопрос «Как решить ДЗ» и «Как сделать» задание по алгебре к упражнению №33 (с. 14), авторов: Макарычев (Юрий Николаевич), Миндюк (Нора Григорьевна), Нешков (Константин Иванович), Суворова (Светлана Борисовна), ФГОС (старый) учебного пособия издательства Просвещение.