Номер 35, страница 14 - гдз по алгебре 8 класс учебник Макарычев, Миндюк

Авторы: Макарычев Ю. Н., Миндюк Н. Г., Нешков К. И., Суворова С. Б.
Тип: Учебник
Издательство: Просвещение
Год издания: 2019 - 2022
Цвет обложки: белый, голубой, фиолетовый
ISBN: 978-5-09-087569-1
Допущено Министерством просвещения Российской Федерации
Популярные ГДЗ в 8 классе
2. Основное свойство дроби. Сокращение дробей. § 1. Рациональные дроби и их свойства. Глава 1. Рациональные дроби - номер 35, страница 14.
№35 (с. 14)
Условие. №35 (с. 14)
скриншот условия

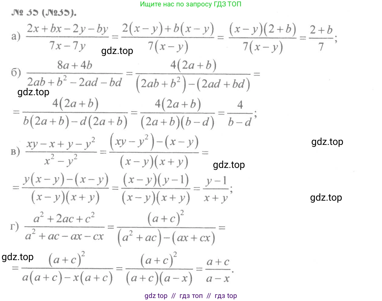
35. Сократите дробь:
а) $\frac{2x + bx - 2y - by}{7x - 7y}$;
б) $\frac{8a + 4b}{2ab + b^2 - 2ad - bd}$;
В) $\frac{xy - x + y - y^2}{x^2 - y^2}$;
Г) $\frac{a^2 + 2ac + c^2}{a^2 + ac - ax - cx}$.
Решение 1. №35 (с. 14)




Решение 2. №35 (с. 14)

Решение 3. №35 (с. 14)

Решение 4. №35 (с. 14)

Решение 5. №35 (с. 14)


Решение 6. №35 (с. 14)


Решение 8. №35 (с. 14)
а) Чтобы сократить дробь $ \frac{2x+bx-2y-by}{7x-7y} $, разложим на множители числитель и знаменатель.
В числителе сгруппируем слагаемые и вынесем общие множители: $ (2x+bx) - (2y+by) = x(2+b) - y(2+b) = (x-y)(2+b) $.
В знаменателе вынесем общий множитель 7 за скобки: $ 7x-7y = 7(x-y) $.
Подставим разложенные выражения обратно в дробь: $ \frac{(x-y)(2+b)}{7(x-y)} $.
Сократим общий множитель $ (x-y) $ (при условии, что $ x \neq y $).
Ответ: $ \frac{2+b}{7} $
б) Чтобы сократить дробь $ \frac{8a+4b}{2ab+b^2-2ad-bd} $, разложим на множители числитель и знаменатель.
В числителе вынесем общий множитель 4 за скобки: $ 8a+4b = 4(2a+b) $.
В знаменателе сгруппируем слагаемые и вынесем общие множители: $ (2ab+b^2) - (2ad+bd) = b(2a+b) - d(2a+b) = (b-d)(2a+b) $.
Подставим разложенные выражения обратно в дробь: $ \frac{4(2a+b)}{(b-d)(2a+b)} $.
Сократим общий множитель $ (2a+b) $ (при условии, что $ 2a+b \neq 0 $).
Ответ: $ \frac{4}{b-d} $
в) Чтобы сократить дробь $ \frac{xy-x+y-y^2}{x^2-y^2} $, разложим на множители числитель и знаменатель.
В числителе сгруппируем слагаемые и вынесем общие множители: $ (xy-x) + (y-y^2) = x(y-1) + y(1-y) = x(y-1) - y(y-1) = (x-y)(y-1) $.
Знаменатель разложим по формуле разности квадратов: $ x^2-y^2 = (x-y)(x+y) $.
Подставим разложенные выражения обратно в дробь: $ \frac{(x-y)(y-1)}{(x-y)(x+y)} $.
Сократим общий множитель $ (x-y) $ (при условии, что $ x \neq y $).
Ответ: $ \frac{y-1}{x+y} $
г) Чтобы сократить дробь $ \frac{a^2+2ac+c^2}{a^2+ac-ax-cx} $, разложим на множители числитель и знаменатель.
Числитель разложим по формуле квадрата суммы: $ a^2+2ac+c^2 = (a+c)^2 $.
В знаменателе сгруппируем слагаемые и вынесем общие множители: $ (a^2+ac) - (ax+cx) = a(a+c) - x(a+c) = (a-x)(a+c) $.
Подставим разложенные выражения обратно в дробь: $ \frac{(a+c)^2}{(a-x)(a+c)} $.
Сократим общий множитель $ (a+c) $ (при условии, что $ a+c \neq 0 $).
Ответ: $ \frac{a+c}{a-x} $
Другие задания:
Помогло решение? Оставьте отзыв в комментариях ниже.
Мы подготовили для вас ответ c подробным объяснением домашего задания по алгебре за 8 класс, для упражнения номер 35 расположенного на странице 14 к учебнику 2019 - 2022 года издания для учащихся школ и гимназий.
Теперь на нашем сайте ГДЗ.ТОП вы всегда легко и бесплатно найдёте условие с правильным ответом на вопрос «Как решить ДЗ» и «Как сделать» задание по алгебре к упражнению №35 (с. 14), авторов: Макарычев (Юрий Николаевич), Миндюк (Нора Григорьевна), Нешков (Константин Иванович), Суворова (Светлана Борисовна), ФГОС (старый) учебного пособия издательства Просвещение.