Номер 517, страница 120 - гдз по алгебре 8 класс учебник Макарычев, Миндюк

Авторы: Макарычев Ю. Н., Миндюк Н. Г., Нешков К. И., Суворова С. Б.
Тип: Учебник
Издательство: Просвещение
Год издания: 2019 - 2022
Цвет обложки: белый, голубой, фиолетовый
ISBN: 978-5-09-087569-1
Допущено Министерством просвещения Российской Федерации
Популярные ГДЗ в 8 классе
21. Неполные квадратные уравнения. § 8. Квадратное уравнение и его корни. Глава 3. Квадратные уравнения - номер 517, страница 120.
№517 (с. 120)
Условие. №517 (с. 120)
скриншот условия

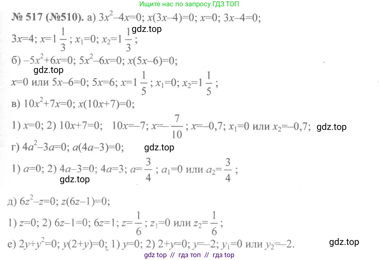
517. Решите уравнение:
а) $3x^2 - 4x = 0;$
б) $-5x^2 + 6x = 0;$
в) $10x^2 + 7x = 0;$
г) $4a^2 - 3a = 0;$
д) $6z^2 - z = 0;$
е) $2y + y^2 = 0.$
Решение 1. №517 (с. 120)






Решение 2. №517 (с. 120)

Решение 3. №517 (с. 120)

Решение 4. №517 (с. 120)

Решение 5. №517 (с. 120)


Решение 6. №517 (с. 120)

Решение 8. №517 (с. 120)
а) $3x^2 - 4x = 0$
Это неполное квадратное уравнение. Для его решения вынесем общий множитель $x$ за скобки:
$x(3x - 4) = 0$
Произведение равно нулю тогда и только тогда, когда хотя бы один из множителей равен нулю. Отсюда получаем два уравнения:
$x_1 = 0$
или
$3x - 4 = 0$
Решая второе уравнение, получаем:
$3x = 4$
$x_2 = \frac{4}{3}$
Ответ: $0; \frac{4}{3}$.
б) $-5x^2 + 6x = 0$
Вынесем общий множитель $x$ за скобки:
$x(-5x + 6) = 0$
Произведение равно нулю, когда один из множителей равен нулю:
$x_1 = 0$
или
$-5x + 6 = 0$
$-5x = -6$
$5x = 6$
$x_2 = \frac{6}{5} = 1.2$
Ответ: $0; 1.2$.
в) $10x^2 + 7x = 0$
Вынесем общий множитель $x$ за скобки:
$x(10x + 7) = 0$
Приравниваем каждый множитель к нулю:
$x_1 = 0$
или
$10x + 7 = 0$
$10x = -7$
$x_2 = -\frac{7}{10} = -0.7$
Ответ: $0; -0.7$.
г) $4a^2 - 3a = 0$
Вынесем общий множитель $a$ за скобки:
$a(4a - 3) = 0$
Произведение равно нулю, если один из множителей равен нулю:
$a_1 = 0$
или
$4a - 3 = 0$
$4a = 3$
$a_2 = \frac{3}{4} = 0.75$
Ответ: $0; 0.75$.
д) $6z^2 - z = 0$
Вынесем общий множитель $z$ за скобки:
$z(6z - 1) = 0$
Приравниваем каждый множитель к нулю:
$z_1 = 0$
или
$6z - 1 = 0$
$6z = 1$
$z_2 = \frac{1}{6}$
Ответ: $0; \frac{1}{6}$.
е) $2y + y^2 = 0$
Перепишем уравнение в стандартном виде $y^2 + 2y = 0$ и вынесем общий множитель $y$ за скобки:
$y(y + 2) = 0$
Произведение равно нулю, когда один из множителей равен нулю:
$y_1 = 0$
или
$y + 2 = 0$
$y_2 = -2$
Ответ: $-2; 0$.
Другие задания:
Помогло решение? Оставьте отзыв в комментариях ниже.
Мы подготовили для вас ответ c подробным объяснением домашего задания по алгебре за 8 класс, для упражнения номер 517 расположенного на странице 120 к учебнику 2019 - 2022 года издания для учащихся школ и гимназий.
Теперь на нашем сайте ГДЗ.ТОП вы всегда легко и бесплатно найдёте условие с правильным ответом на вопрос «Как решить ДЗ» и «Как сделать» задание по алгебре к упражнению №517 (с. 120), авторов: Макарычев (Юрий Николаевич), Миндюк (Нора Григорьевна), Нешков (Константин Иванович), Суворова (Светлана Борисовна), ФГОС (старый) учебного пособия издательства Просвещение.