Номер 57, страница 20 - гдз по алгебре 8 класс учебник Макарычев, Миндюк

Авторы: Макарычев Ю. Н., Миндюк Н. Г., Нешков К. И., Суворова С. Б.
Тип: Учебник
Издательство: Просвещение
Год издания: 2019 - 2022
Цвет обложки: белый, голубой, фиолетовый
ISBN: 978-5-09-087569-1
Допущено Министерством просвещения Российской Федерации
Популярные ГДЗ в 8 классе
3. Сложение и вычитание дробей с одинаковыми знаменателями. § 2. Сумма и разность дробей. Глава 1. Рациональные дроби - номер 57, страница 20.
№57 (с. 20)
Условие. №57 (с. 20)
скриншот условия

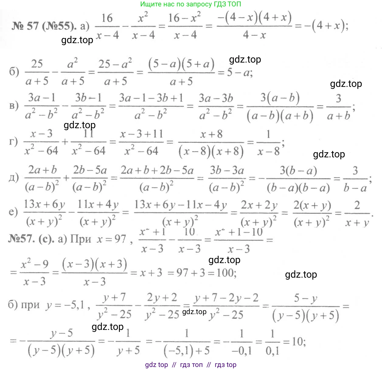
57. Упростите выражение:
a) $\frac{16}{x-4} - \frac{x^2}{x-4};$
Б) $\frac{25}{a+5} - \frac{a^2}{a+5};$
В) $\frac{3a-1}{a^2-b^2} - \frac{3b-1}{a^2-b^2};$
Г) $\frac{x-3}{x^2-64} + \frac{11}{x^2-64};$
Д) $\frac{2a+b}{(a-b)^2} - \frac{2b-5a}{(a-b)^2};$
Е) $\frac{13x+6y}{(x+y)^2} - \frac{11x+4y}{(x+y)^2}.$
Решение 1. №57 (с. 20)






Решение 2. №57 (с. 20)

Решение 3. №57 (с. 20)

Решение 4. №57 (с. 20)

Решение 5. №57 (с. 20)

Решение 6. №57 (с. 20)


Решение 8. №57 (с. 20)
а) Дано выражение $\frac{16}{x-4} - \frac{x^2}{x-4}$.
Так как знаменатели дробей одинаковы, выполним вычитание числителей, записав результат над общим знаменателем:
$\frac{16-x^2}{x-4}$
Числитель $16-x^2$ является разностью квадратов, которую можно разложить на множители по формуле $a^2-b^2=(a-b)(a+b)$:
$16-x^2 = 4^2 - x^2 = (4-x)(4+x)$
Подставим разложенный числитель обратно в дробь:
$\frac{(4-x)(4+x)}{x-4}$
Заметим, что $(4-x) = -(x-4)$. Вынесем знак минус за скобки в числителе:
$\frac{-(x-4)(x+4)}{x-4}$
Теперь можно сократить дробь на общий множитель $(x-4)$ (при условии $x \ne 4$):
$-(x+4) = -x-4$
Ответ: $-x-4$.
б) Дано выражение $\frac{25}{a+5} - \frac{a^2}{a+5}$.
Знаменатели дробей одинаковы, поэтому вычитаем числители:
$\frac{25-a^2}{a+5}$
Применим формулу разности квадратов к числителю $25-a^2 = 5^2-a^2 = (5-a)(5+a)$:
$\frac{(5-a)(5+a)}{a+5}$
Так как $5+a = a+5$, сокращаем дробь на общий множитель $(a+5)$ (при условии $a \ne -5$):
$5-a$
Ответ: $5-a$.
в) Дано выражение $\frac{3a-1}{a^2-b^2} - \frac{3b-1}{a^2-b^2}$.
Дроби имеют общий знаменатель, поэтому вычитаем их числители:
$\frac{(3a-1) - (3b-1)}{a^2-b^2}$
Раскроем скобки в числителе, обращая внимание на знак минус перед второй скобкой:
$\frac{3a-1-3b+1}{a^2-b^2}$
Приведем подобные слагаемые в числителе: $-1$ и $+1$ взаимно уничтожаются.
$\frac{3a-3b}{a^2-b^2}$
Вынесем общий множитель 3 в числителе: $\frac{3(a-b)}{a^2-b^2}$.
Знаменатель $a^2-b^2$ разложим на множители как разность квадратов: $(a-b)(a+b)$.
$\frac{3(a-b)}{(a-b)(a+b)}$
Сокращаем дробь на $(a-b)$ (при условии $a \ne b$):
$\frac{3}{a+b}$
Ответ: $\frac{3}{a+b}$.
г) Дано выражение $\frac{x-3}{x^2-64} + \frac{11}{x^2-64}$.
Так как знаменатели дробей одинаковы, сложим их числители:
$\frac{(x-3)+11}{x^2-64} = \frac{x+8}{x^2-64}$
Знаменатель $x^2-64$ является разностью квадратов: $x^2-8^2=(x-8)(x+8)$.
Подставим разложение в дробь:
$\frac{x+8}{(x-8)(x+8)}$
Сократим дробь на общий множитель $(x+8)$ (при условии $x \ne -8$):
$\frac{1}{x-8}$
Ответ: $\frac{1}{x-8}$.
д) Дано выражение $\frac{2a+b}{(a-b)^2} - \frac{2b-5a}{(a-b)^2}$.
Знаменатели дробей одинаковы, выполним вычитание числителей:
$\frac{(2a+b) - (2b-5a)}{(a-b)^2}$
Раскроем скобки в числителе. Знак минус перед дробью меняет знаки в вычитаемом числителе:
$\frac{2a+b-2b+5a}{(a-b)^2}$
Приведем подобные слагаемые в числителе:
$\frac{(2a+5a) + (b-2b)}{(a-b)^2} = \frac{7a-b}{(a-b)^2}$
В данном выражении числитель и знаменатель не имеют общих множителей, поэтому дальнейшее упрощение невозможно.
Ответ: $\frac{7a-b}{(a-b)^2}$.
е) Дано выражение $\frac{13x+6y}{(x+y)^2} - \frac{11x+4y}{(x+y)^2}$.
Так как знаменатели дробей равны, вычитаем числители:
$\frac{(13x+6y) - (11x+4y)}{(x+y)^2}$
Раскрываем скобки в числителе:
$\frac{13x+6y-11x-4y}{(x+y)^2}$
Приводим подобные слагаемые:
$\frac{(13x-11x) + (6y-4y)}{(x+y)^2} = \frac{2x+2y}{(x+y)^2}$
Вынесем общий множитель 2 в числителе:
$\frac{2(x+y)}{(x+y)^2}$
Сокращаем дробь на $(x+y)$ (при условии $x+y \ne 0$):
$\frac{2}{x+y}$
Ответ: $\frac{2}{x+y}$.
Другие задания:
Помогло решение? Оставьте отзыв в комментариях ниже.
Мы подготовили для вас ответ c подробным объяснением домашего задания по алгебре за 8 класс, для упражнения номер 57 расположенного на странице 20 к учебнику 2019 - 2022 года издания для учащихся школ и гимназий.
Теперь на нашем сайте ГДЗ.ТОП вы всегда легко и бесплатно найдёте условие с правильным ответом на вопрос «Как решить ДЗ» и «Как сделать» задание по алгебре к упражнению №57 (с. 20), авторов: Макарычев (Юрий Николаевич), Миндюк (Нора Григорьевна), Нешков (Константин Иванович), Суворова (Светлана Борисовна), ФГОС (старый) учебного пособия издательства Просвещение.