Номер 581, страница 137 - гдз по алгебре 8 класс учебник Макарычев, Миндюк

Авторы: Макарычев Ю. Н., Миндюк Н. Г., Нешков К. И., Суворова С. Б.
Тип: Учебник
Издательство: Просвещение
Год издания: 2019 - 2022
Цвет обложки: белый, голубой, фиолетовый
ISBN: 978-5-09-087569-1
Допущено Министерством просвещения Российской Федерации
Популярные ГДЗ в 8 классе
24. Теорема Виета. § 8. Квадратное уравнение и его корни. Глава 3. Квадратные уравнения - номер 581, страница 137.
№581 (с. 137)
Условие. №581 (с. 137)
скриншот условия

581. Решите уравнение и выполните проверку по теореме, обратной теореме Виета:
а) $x^2 - 2x - 9 = 0;$
б) $3x^2 - 4x - 4 = 0;$
в) $2x^2 + 7x - 6 = 0;$
г) $2x^2 + 9x + 8 = 0.$
Решение 1. №581 (с. 137)




Решение 2. №581 (с. 137)


Решение 3. №581 (с. 137)

Решение 4. №581 (с. 137)

Решение 5. №581 (с. 137)

Решение 6. №581 (с. 137)


Решение 8. №581 (с. 137)
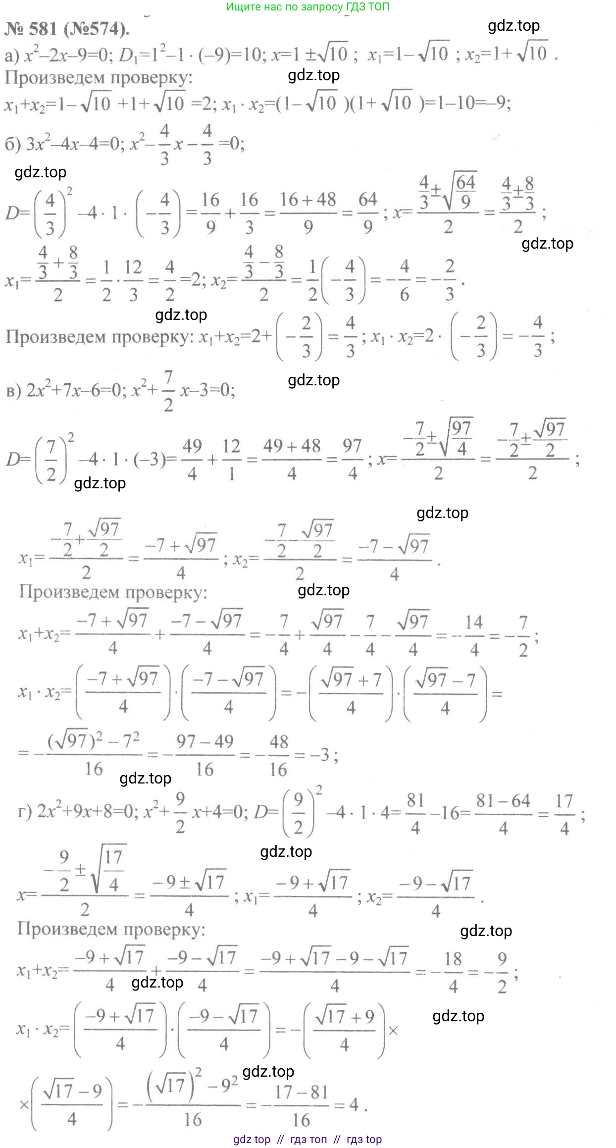
а) $x^2 - 2x - 9 = 0$
Это приведенное квадратное уравнение вида $x^2 + px + q = 0$, где $p = -2$, $q = -9$.
Решим его с помощью формулы корней квадратного уравнения $x_{1,2} = \frac{-b \pm \sqrt{b^2 - 4ac}}{2a}$, где $a = 1, b = -2, c = -9$.
Найдем дискриминант: $D = b^2 - 4ac = (-2)^2 - 4 \cdot 1 \cdot (-9) = 4 + 36 = 40$.
Так как $D > 0$, уравнение имеет два действительных корня. $\sqrt{D} = \sqrt{40} = 2\sqrt{10}$.
Найдем корни уравнения:
$x_1 = \frac{-(-2) + 2\sqrt{10}}{2 \cdot 1} = \frac{2 + 2\sqrt{10}}{2} = 1 + \sqrt{10}$.
$x_2 = \frac{-(-2) - 2\sqrt{10}}{2 \cdot 1} = \frac{2 - 2\sqrt{10}}{2} = 1 - \sqrt{10}$.
Проверка по теореме, обратной теореме Виета:
Для приведенного квадратного уравнения $x^2 + px + q = 0$ сумма корней должна быть равна $-p$, а их произведение должно быть равно $q$.
В нашем случае $p = -2$ и $q = -9$.
1. Проверим сумму корней: $x_1 + x_2 = (1 + \sqrt{10}) + (1 - \sqrt{10}) = 2$.
Сравним с $-p$: $-p = -(-2) = 2$. Равенство $x_1 + x_2 = -p$ выполняется.
2. Проверим произведение корней: $x_1 \cdot x_2 = (1 + \sqrt{10})(1 - \sqrt{10}) = 1^2 - (\sqrt{10})^2 = 1 - 10 = -9$.
Сравним с $q$: $q = -9$. Равенство $x_1 \cdot x_2 = q$ выполняется.
Оба условия выполнены, следовательно, корни найдены верно.
Ответ: $1 + \sqrt{10}$; $1 - \sqrt{10}$.
б) $3x^2 - 4x - 4 = 0$
Это полное квадратное уравнение вида $ax^2 + bx + c = 0$.
Коэффициенты: $a = 3, b = -4, c = -4$.
Найдем дискриминант: $D = b^2 - 4ac = (-4)^2 - 4 \cdot 3 \cdot (-4) = 16 + 48 = 64$.
$\sqrt{D} = \sqrt{64} = 8$.
Найдем корни уравнения:
$x_1 = \frac{-(-4) + 8}{2 \cdot 3} = \frac{4 + 8}{6} = \frac{12}{6} = 2$.
$x_2 = \frac{-(-4) - 8}{2 \cdot 3} = \frac{4 - 8}{6} = \frac{-4}{6} = -\frac{2}{3}$.
Проверка по теореме, обратной теореме Виета:
Для уравнения $ax^2 + bx + c = 0$ сумма корней $x_1 + x_2 = -\frac{b}{a}$, а произведение $x_1 \cdot x_2 = \frac{c}{a}$.
1. Проверим сумму корней: $x_1 + x_2 = 2 + (-\frac{2}{3}) = \frac{6}{3} - \frac{2}{3} = \frac{4}{3}$.
Сравним с $-\frac{b}{a}$: $-\frac{-4}{3} = \frac{4}{3}$. Равенство выполняется.
2. Проверим произведение корней: $x_1 \cdot x_2 = 2 \cdot (-\frac{2}{3}) = -\frac{4}{3}$.
Сравним с $\frac{c}{a}$: $\frac{-4}{3} = -\frac{4}{3}$. Равенство выполняется.
Оба условия выполнены, следовательно, корни найдены верно.
Ответ: $2$; $-\frac{2}{3}$.
в) $2x^2 + 7x - 6 = 0$
Это полное квадратное уравнение вида $ax^2 + bx + c = 0$.
Коэффициенты: $a = 2, b = 7, c = -6$.
Найдем дискриминант: $D = b^2 - 4ac = 7^2 - 4 \cdot 2 \cdot (-6) = 49 + 48 = 97$.
$\sqrt{D} = \sqrt{97}$.
Найдем корни уравнения:
$x_1 = \frac{-7 + \sqrt{97}}{2 \cdot 2} = \frac{-7 + \sqrt{97}}{4}$.
$x_2 = \frac{-7 - \sqrt{97}}{2 \cdot 2} = \frac{-7 - \sqrt{97}}{4}$.
Проверка по теореме, обратной теореме Виета:
Сумма корней $x_1 + x_2 = -\frac{b}{a}$, а произведение $x_1 \cdot x_2 = \frac{c}{a}$.
1. Проверим сумму корней: $x_1 + x_2 = \frac{-7 + \sqrt{97}}{4} + \frac{-7 - \sqrt{97}}{4} = \frac{-7 + \sqrt{97} - 7 - \sqrt{97}}{4} = \frac{-14}{4} = -\frac{7}{2}$.
Сравним с $-\frac{b}{a}$: $-\frac{7}{2}$. Равенство выполняется.
2. Проверим произведение корней: $x_1 \cdot x_2 = \left(\frac{-7 + \sqrt{97}}{4}\right) \cdot \left(\frac{-7 - \sqrt{97}}{4}\right) = \frac{(-7)^2 - (\sqrt{97})^2}{16} = \frac{49 - 97}{16} = \frac{-48}{16} = -3$.
Сравним с $\frac{c}{a}$: $\frac{-6}{2} = -3$. Равенство выполняется.
Оба условия выполнены, следовательно, корни найдены верно.
Ответ: $\frac{-7 + \sqrt{97}}{4}$; $\frac{-7 - \sqrt{97}}{4}$.
г) $2x^2 + 9x + 8 = 0$
Это полное квадратное уравнение вида $ax^2 + bx + c = 0$.
Коэффициенты: $a = 2, b = 9, c = 8$.
Найдем дискриминант: $D = b^2 - 4ac = 9^2 - 4 \cdot 2 \cdot 8 = 81 - 64 = 17$.
$\sqrt{D} = \sqrt{17}$.
Найдем корни уравнения:
$x_1 = \frac{-9 + \sqrt{17}}{2 \cdot 2} = \frac{-9 + \sqrt{17}}{4}$.
$x_2 = \frac{-9 - \sqrt{17}}{2 \cdot 2} = \frac{-9 - \sqrt{17}}{4}$.
Проверка по теореме, обратной теореме Виета:
Сумма корней $x_1 + x_2 = -\frac{b}{a}$, а произведение $x_1 \cdot x_2 = \frac{c}{a}$.
1. Проверим сумму корней: $x_1 + x_2 = \frac{-9 + \sqrt{17}}{4} + \frac{-9 - \sqrt{17}}{4} = \frac{-9 + \sqrt{17} - 9 - \sqrt{17}}{4} = \frac{-18}{4} = -\frac{9}{2}$.
Сравним с $-\frac{b}{a}$: $-\frac{9}{2}$. Равенство выполняется.
2. Проверим произведение корней: $x_1 \cdot x_2 = \left(\frac{-9 + \sqrt{17}}{4}\right) \cdot \left(\frac{-9 - \sqrt{17}}{4}\right) = \frac{(-9)^2 - (\sqrt{17})^2}{16} = \frac{81 - 17}{16} = \frac{64}{16} = 4$.
Сравним с $\frac{c}{a}$: $\frac{8}{2} = 4$. Равенство выполняется.
Оба условия выполнены, следовательно, корни найдены верно.
Ответ: $\frac{-9 + \sqrt{17}}{4}$; $\frac{-9 - \sqrt{17}}{4}$.
Другие задания:
Помогло решение? Оставьте отзыв в комментариях ниже.
Мы подготовили для вас ответ c подробным объяснением домашего задания по алгебре за 8 класс, для упражнения номер 581 расположенного на странице 137 к учебнику 2019 - 2022 года издания для учащихся школ и гимназий.
Теперь на нашем сайте ГДЗ.ТОП вы всегда легко и бесплатно найдёте условие с правильным ответом на вопрос «Как решить ДЗ» и «Как сделать» задание по алгебре к упражнению №581 (с. 137), авторов: Макарычев (Юрий Николаевич), Миндюк (Нора Григорьевна), Нешков (Константин Иванович), Суворова (Светлана Борисовна), ФГОС (старый) учебного пособия издательства Просвещение.