Номер 654, страница 152 - гдз по алгебре 8 класс учебник Макарычев, Миндюк

Авторы: Макарычев Ю. Н., Миндюк Н. Г., Нешков К. И., Суворова С. Б.
Тип: Учебник
Издательство: Просвещение
Год издания: 2019 - 2022
Цвет обложки: белый, голубой, фиолетовый
ISBN: 978-5-09-087569-1
Допущено Министерством просвещения Российской Федерации
Популярные ГДЗ в 8 классе
К параграфу 8. Дополнительные упражнения к главе III. Глава 3. Квадратные уравнения - номер 654, страница 152.
№654 (с. 152)
Условие. №654 (с. 152)
скриншот условия

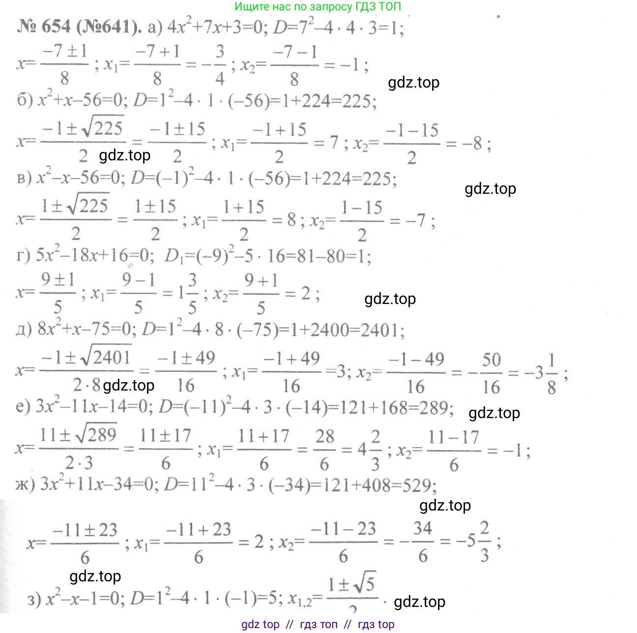
654. Решите уравнение:
а) $4x^2 + 7x + 3 = 0;$
б) $x^2 + x - 56 = 0;$
в) $x^2 - x - 56 = 0;$
г) $5x^2 - 18x + 16 = 0;$
д) $8x^2 + x - 75 = 0;$
е) $3x^2 - 11x - 14 = 0;$
ж) $3x^2 + 11x - 34 = 0;$
з) $x^2 - x - 1 = 0.$
Решение 1. №654 (с. 152)








Решение 2. №654 (с. 152)


Решение 3. №654 (с. 152)

Решение 4. №654 (с. 152)

Решение 6. №654 (с. 152)


Решение 8. №654 (с. 152)
а) $4x^2 + 7x + 3 = 0$
Это полное квадратное уравнение вида $ax^2 + bx + c = 0$.
Коэффициенты: $a=4$, $b=7$, $c=3$.
Найдем дискриминант по формуле $D = b^2 - 4ac$:
$D = 7^2 - 4 \cdot 4 \cdot 3 = 49 - 48 = 1$.
Так как $D > 0$, уравнение имеет два действительных корня.
Корни находятся по формуле $x_{1,2} = \frac{-b \pm \sqrt{D}}{2a}$:
$x_1 = \frac{-7 + \sqrt{1}}{2 \cdot 4} = \frac{-7 + 1}{8} = \frac{-6}{8} = -\frac{3}{4}$.
$x_2 = \frac{-7 - \sqrt{1}}{2 \cdot 4} = \frac{-7 - 1}{8} = \frac{-8}{8} = -1$.
Ответ: $-1; -\frac{3}{4}$.
б) $x^2 + x - 56 = 0$
Это приведенное квадратное уравнение ($a=1$). Его можно решить с помощью теоремы Виета.
Сумма корней $x_1 + x_2 = -1$.
Произведение корней $x_1 \cdot x_2 = -56$.
Подбором находим корни: $x_1 = 7$ и $x_2 = -8$.
Проверка: $7 + (-8) = -1$; $7 \cdot (-8) = -56$.
Также можно решить через дискриминант:
$D = 1^2 - 4 \cdot 1 \cdot (-56) = 1 + 224 = 225 = 15^2$.
$x_{1,2} = \frac{-1 \pm 15}{2}$.
$x_1 = \frac{-1 + 15}{2} = 7$.
$x_2 = \frac{-1 - 15}{2} = -8$.
Ответ: $-8; 7$.
в) $x^2 - x - 56 = 0$
Это приведенное квадратное уравнение ($a=1$). Решим по теореме Виета.
Сумма корней $x_1 + x_2 = 1$.
Произведение корней $x_1 \cdot x_2 = -56$.
Подбором находим корни: $x_1 = 8$ и $x_2 = -7$.
Проверка: $8 + (-7) = 1$; $8 \cdot (-7) = -56$.
Решение через дискриминант:
$D = (-1)^2 - 4 \cdot 1 \cdot (-56) = 1 + 224 = 225 = 15^2$.
$x_{1,2} = \frac{1 \pm 15}{2}$.
$x_1 = \frac{1 + 15}{2} = 8$.
$x_2 = \frac{1 - 15}{2} = -7$.
Ответ: $-7; 8$.
г) $5x^2 - 18x + 16 = 0$
Это полное квадратное уравнение. Коэффициенты: $a=5$, $b=-18$, $c=16$.
Найдем дискриминант: $D = (-18)^2 - 4 \cdot 5 \cdot 16 = 324 - 320 = 4$.
$x_{1,2} = \frac{-(-18) \pm \sqrt{4}}{2 \cdot 5} = \frac{18 \pm 2}{10}$.
$x_1 = \frac{18 + 2}{10} = \frac{20}{10} = 2$.
$x_2 = \frac{18 - 2}{10} = \frac{16}{10} = \frac{8}{5}$.
Ответ: $\frac{8}{5}; 2$.
д) $8x^2 + x - 75 = 0$
Это полное квадратное уравнение. Коэффициенты: $a=8$, $b=1$, $c=-75$.
Найдем дискриминант: $D = 1^2 - 4 \cdot 8 \cdot (-75) = 1 + 2400 = 2401 = 49^2$.
$x_{1,2} = \frac{-1 \pm \sqrt{2401}}{2 \cdot 8} = \frac{-1 \pm 49}{16}$.
$x_1 = \frac{-1 + 49}{16} = \frac{48}{16} = 3$.
$x_2 = \frac{-1 - 49}{16} = \frac{-50}{16} = -\frac{25}{8}$.
Ответ: $-\frac{25}{8}; 3$.
е) $3x^2 - 11x - 14 = 0$
Это полное квадратное уравнение. Коэффициенты: $a=3$, $b=-11$, $c=-14$.
Найдем дискриминант: $D = (-11)^2 - 4 \cdot 3 \cdot (-14) = 121 + 168 = 289 = 17^2$.
$x_{1,2} = \frac{-(-11) \pm \sqrt{289}}{2 \cdot 3} = \frac{11 \pm 17}{6}$.
$x_1 = \frac{11 + 17}{6} = \frac{28}{6} = \frac{14}{3}$.
$x_2 = \frac{11 - 17}{6} = \frac{-6}{6} = -1$.
Ответ: $-1; \frac{14}{3}$.
ж) $3x^2 + 11x - 34 = 0$
Это полное квадратное уравнение. Коэффициенты: $a=3$, $b=11$, $c=-34$.
Найдем дискриминант: $D = 11^2 - 4 \cdot 3 \cdot (-34) = 121 + 408 = 529 = 23^2$.
$x_{1,2} = \frac{-11 \pm \sqrt{529}}{2 \cdot 3} = \frac{-11 \pm 23}{6}$.
$x_1 = \frac{-11 + 23}{6} = \frac{12}{6} = 2$.
$x_2 = \frac{-11 - 23}{6} = \frac{-34}{6} = -\frac{17}{3}$.
Ответ: $-\frac{17}{3}; 2$.
з) $x^2 - x - 1 = 0$
Это приведенное квадратное уравнение. Коэффициенты: $a=1$, $b=-1$, $c=-1$.
Найдем дискриминант: $D = (-1)^2 - 4 \cdot 1 \cdot (-1) = 1 + 4 = 5$.
Дискриминант не является точным квадратом, поэтому корни будут иррациональными.
$x_{1,2} = \frac{-(-1) \pm \sqrt{5}}{2 \cdot 1} = \frac{1 \pm \sqrt{5}}{2}$.
$x_1 = \frac{1 + \sqrt{5}}{2}$.
$x_2 = \frac{1 - \sqrt{5}}{2}$.
Ответ: $\frac{1 \pm \sqrt{5}}{2}$.
Другие задания:
Помогло решение? Оставьте отзыв в комментариях ниже.
Мы подготовили для вас ответ c подробным объяснением домашего задания по алгебре за 8 класс, для упражнения номер 654 расположенного на странице 152 к учебнику 2019 - 2022 года издания для учащихся школ и гимназий.
Теперь на нашем сайте ГДЗ.ТОП вы всегда легко и бесплатно найдёте условие с правильным ответом на вопрос «Как решить ДЗ» и «Как сделать» задание по алгебре к упражнению №654 (с. 152), авторов: Макарычев (Юрий Николаевич), Миндюк (Нора Григорьевна), Нешков (Константин Иванович), Суворова (Светлана Борисовна), ФГОС (старый) учебного пособия издательства Просвещение.