Номер 738, страница 164 - гдз по алгебре 8 класс учебник Макарычев, Миндюк

Авторы: Макарычев Ю. Н., Миндюк Н. Г., Нешков К. И., Суворова С. Б.
Тип: Учебник
Издательство: Просвещение
Год издания: 2019 - 2022
Цвет обложки: белый, голубой, фиолетовый
ISBN: 978-5-09-087569-1
Допущено Министерством просвещения Российской Федерации
Популярные ГДЗ в 8 классе
28. Числовые неравенства. § 10. Числовые неравенства и их свойства. Глава 4. Неравенства - номер 738, страница 164.
№738 (с. 164)
Условие. №738 (с. 164)
скриншот условия

738. (Для работы в парах.) Докажите, что если $a$ и $b$ — положительные числа и $a^2 > b^2$, то $a > b$. Пользуясь этим свойством, сравните числа:
а) $\sqrt{6} + \sqrt{3}$ и $\sqrt{7} + \sqrt{2}$;
б) $\sqrt{3} + 2$ и $\sqrt{6} + 1$;
в) $\sqrt{5} - 2$ и $\sqrt{6} - \sqrt{3}$;
г) $\sqrt{10} - \sqrt{7}$ и $\sqrt{11} - \sqrt{6}$.
1) Проведите доказательство приведённого утверждения.
2) Распределите, кто выполняет задания а) и в), а кто — задания б) и г), и выполните их.
3) Проверьте друг у друга, правильно ли выполнено сравнение выражений. Исправьте ошибки, если они допущены.
Решение 1. №738 (с. 164)




Решение 2. №738 (с. 164)

Решение 3. №738 (с. 164)

Решение 4. №738 (с. 164)

Решение 6. №738 (с. 164)

Решение 8. №738 (с. 164)
1) Проведите доказательство приведённого утверждения.
Требуется доказать, что если $a$ и $b$ — положительные числа и $a^2 > b^2$, то $a > b$.
Доказательство:
Начнем с данного нам неравенства $a^2 > b^2$.
Перенесем $b^2$ в левую часть неравенства, чтобы сравнить разность с нулем:
$a^2 - b^2 > 0$
Применим формулу разности квадратов $x^2 - y^2 = (x - y)(x + y)$ к левой части:
$(a - b)(a + b) > 0$
Рассмотрим множители. По условию, $a$ и $b$ — положительные числа, то есть $a > 0$ и $b > 0$. Следовательно, их сумма $a + b$ также является положительным числом: $a + b > 0$.
У нас есть произведение двух множителей $(a - b)$ и $(a + b)$, которое больше нуля. Поскольку мы установили, что множитель $(a + b)$ положителен, для того чтобы произведение было положительным, второй множитель $(a - b)$ также должен быть положителен.
Таким образом, мы получаем неравенство:
$a - b > 0$
Перенеся $b$ в правую часть, получаем итоговый результат:
$a > b$
Что и требовалось доказать.
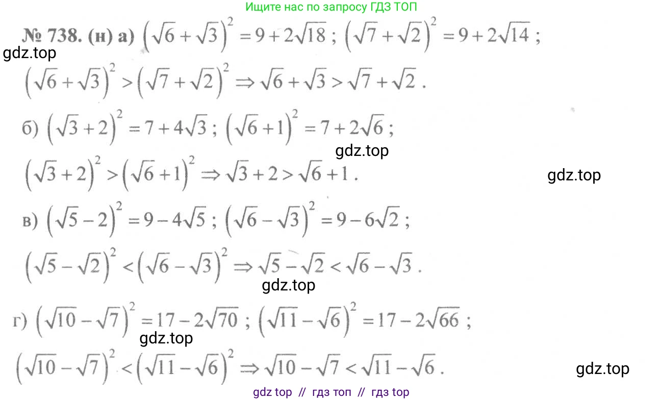
а) $\sqrt{6}+\sqrt{3}$ и $\sqrt{7}+\sqrt{2}$
Обозначим сравниваемые числа как $x = \sqrt{6}+\sqrt{3}$ и $y = \sqrt{7}+\sqrt{2}$. Оба числа являются суммами положительных корней, а значит, они положительны. Воспользуемся доказанным свойством и сравним их квадраты.
$x^2 = (\sqrt{6}+\sqrt{3})^2 = (\sqrt{6})^2 + 2 \cdot \sqrt{6} \cdot \sqrt{3} + (\sqrt{3})^2 = 6 + 2\sqrt{18} + 3 = 9 + 2\sqrt{9 \cdot 2} = 9 + 6\sqrt{2}$.
$y^2 = (\sqrt{7}+\sqrt{2})^2 = (\sqrt{7})^2 + 2 \cdot \sqrt{7} \cdot \sqrt{2} + (\sqrt{2})^2 = 7 + 2\sqrt{14} + 2 = 9 + 2\sqrt{14}$.
Теперь сравним полученные выражения для $x^2$ и $y^2$: $9 + 6\sqrt{2}$ и $9 + 2\sqrt{14}$.
Отбросив одинаковое слагаемое $9$, сравнение сводится к сравнению $6\sqrt{2}$ и $2\sqrt{14}$. Разделим оба выражения на $2$: $3\sqrt{2}$ и $\sqrt{14}$.
Чтобы сравнить эти два положительных числа, возведем их в квадрат:
$(3\sqrt{2})^2 = 9 \cdot 2 = 18$.
$(\sqrt{14})^2 = 14$.
Так как $18 > 14$, то $(3\sqrt{2})^2 > (\sqrt{14})^2$, и следовательно, $3\sqrt{2} > \sqrt{14}$.
Это означает, что $6\sqrt{2} > 2\sqrt{14}$, и, соответственно, $9 + 6\sqrt{2} > 9 + 2\sqrt{14}$.
Таким образом, $x^2 > y^2$. Поскольку $x$ и $y$ положительны, из этого следует, что $x > y$.
Ответ: $\sqrt{6}+\sqrt{3} > \sqrt{7}+\sqrt{2}$.
б) $\sqrt{3}+2$ и $\sqrt{6}+1$
Обозначим $x = \sqrt{3}+2$ и $y = \sqrt{6}+1$. Оба числа положительны. Сравним их квадраты.
$x^2 = (\sqrt{3}+2)^2 = (\sqrt{3})^2 + 2 \cdot \sqrt{3} \cdot 2 + 2^2 = 3 + 4\sqrt{3} + 4 = 7 + 4\sqrt{3}$.
$y^2 = (\sqrt{6}+1)^2 = (\sqrt{6})^2 + 2 \cdot \sqrt{6} \cdot 1 + 1^2 = 6 + 2\sqrt{6} + 1 = 7 + 2\sqrt{6}$.
Сравним $x^2$ и $y^2$: $7 + 4\sqrt{3}$ и $7 + 2\sqrt{6}$.
Сравнение сводится к сравнению $4\sqrt{3}$ и $2\sqrt{6}$. Разделим на $2$: $2\sqrt{3}$ и $\sqrt{6}$.
Возведем эти положительные числа в квадрат:
$(2\sqrt{3})^2 = 4 \cdot 3 = 12$.
$(\sqrt{6})^2 = 6$.
Так как $12 > 6$, то $2\sqrt{3} > \sqrt{6}$, а значит $4\sqrt{3} > 2\sqrt{6}$.
Следовательно, $7 + 4\sqrt{3} > 7 + 2\sqrt{6}$, то есть $x^2 > y^2$.
Так как $x, y > 0$, то $x > y$.
Ответ: $\sqrt{3}+2 > \sqrt{6}+1$.
в) $\sqrt{5}-2$ и $\sqrt{6}-\sqrt{3}$
Обозначим $x = \sqrt{5}-2$ и $y = \sqrt{6}-\sqrt{3}$.
Сначала проверим, являются ли эти числа положительными. $2 = \sqrt{4}$, поэтому $x = \sqrt{5}-\sqrt{4}$. Так как $5 > 4$, то $\sqrt{5} > \sqrt{4}$, следовательно $x > 0$.
Так как $6 > 3$, то $\sqrt{6} > \sqrt{3}$, следовательно $y > 0$.
Оба числа положительные, поэтому можно сравнить их квадраты.
$x^2 = (\sqrt{5}-2)^2 = (\sqrt{5})^2 - 2 \cdot \sqrt{5} \cdot 2 + 2^2 = 5 - 4\sqrt{5} + 4 = 9 - 4\sqrt{5}$.
$y^2 = (\sqrt{6}-\sqrt{3})^2 = (\sqrt{6})^2 - 2 \cdot \sqrt{6} \cdot \sqrt{3} + (\sqrt{3})^2 = 6 - 2\sqrt{18} + 3 = 9 - 6\sqrt{2}$.
Сравним $x^2$ и $y^2$: $9 - 4\sqrt{5}$ и $9 - 6\sqrt{2}$.
Сравнение сводится к сравнению $-4\sqrt{5}$ и $-6\sqrt{2}$. Это эквивалентно сравнению положительных чисел $4\sqrt{5}$ и $6\sqrt{2}$ с последующим обращением знака неравенства.
Возведем $4\sqrt{5}$ и $6\sqrt{2}$ в квадрат:
$(4\sqrt{5})^2 = 16 \cdot 5 = 80$.
$(6\sqrt{2})^2 = 36 \cdot 2 = 72$.
Так как $80 > 72$, то $4\sqrt{5} > 6\sqrt{2}$.
При умножении на $-1$ знак неравенства меняется на противоположный: $-4\sqrt{5} < -6\sqrt{2}$.
Прибавив $9$ к обеим частям, получаем $9 - 4\sqrt{5} < 9 - 6\sqrt{2}$, то есть $x^2 < y^2$.
Поскольку $x$ и $y$ положительны, из $x^2 < y^2$ следует, что $x < y$.
Ответ: $\sqrt{5}-2 < \sqrt{6}-\sqrt{3}$.
г) $\sqrt{10}-\sqrt{7}$ и $\sqrt{11}-\sqrt{6}$
Обозначим $x = \sqrt{10}-\sqrt{7}$ и $y = \sqrt{11}-\sqrt{6}$.
Проверим, являются ли числа положительными. Так как $10 > 7$, то $\sqrt{10} > \sqrt{7}$, следовательно $x > 0$. Так как $11 > 6$, то $\sqrt{11} > \sqrt{6}$, следовательно $y > 0$.
Оба числа положительные, сравним их квадраты.
$x^2 = (\sqrt{10}-\sqrt{7})^2 = 10 - 2\sqrt{70} + 7 = 17 - 2\sqrt{70}$.
$y^2 = (\sqrt{11}-\sqrt{6})^2 = 11 - 2\sqrt{66} + 6 = 17 - 2\sqrt{66}$.
Сравним $x^2$ и $y^2$: $17 - 2\sqrt{70}$ и $17 - 2\sqrt{66}$.
Сравнение сводится к сравнению $-2\sqrt{70}$ и $-2\sqrt{66}$. Это эквивалентно сравнению $2\sqrt{70}$ и $2\sqrt{66}$ с обращением знака неравенства.
Сравним $\sqrt{70}$ и $\sqrt{66}$. Так как $70 > 66$, то $\sqrt{70} > \sqrt{66}$, и $2\sqrt{70} > 2\sqrt{66}$.
Умножая на $-1$, меняем знак неравенства: $-2\sqrt{70} < -2\sqrt{66}$.
Прибавив $17$ к обеим частям, получаем $17 - 2\sqrt{70} < 17 - 2\sqrt{66}$, то есть $x^2 < y^2$.
Поскольку $x$ и $y$ положительны, из $x^2 < y^2$ следует, что $x < y$.
Ответ: $\sqrt{10}-\sqrt{7} < \sqrt{11}-\sqrt{6}$.
Другие задания:
Помогло решение? Оставьте отзыв в комментариях ниже.
Мы подготовили для вас ответ c подробным объяснением домашего задания по алгебре за 8 класс, для упражнения номер 738 расположенного на странице 164 к учебнику 2019 - 2022 года издания для учащихся школ и гимназий.
Теперь на нашем сайте ГДЗ.ТОП вы всегда легко и бесплатно найдёте условие с правильным ответом на вопрос «Как решить ДЗ» и «Как сделать» задание по алгебре к упражнению №738 (с. 164), авторов: Макарычев (Юрий Николаевич), Миндюк (Нора Григорьевна), Нешков (Константин Иванович), Суворова (Светлана Борисовна), ФГОС (старый) учебного пособия издательства Просвещение.