Номер 886, страница 199 - гдз по алгебре 8 класс учебник Макарычев, Миндюк

Авторы: Макарычев Ю. Н., Миндюк Н. Г., Нешков К. И., Суворова С. Б.
Тип: Учебник
Издательство: Просвещение
Год издания: 2019 - 2022
Цвет обложки: белый, голубой, фиолетовый
ISBN: 978-5-09-087569-1
Допущено Министерством просвещения Российской Федерации
Популярные ГДЗ в 8 классе
35. Решение систем неравенств с одной переменной. § 11. Неравенства с одной переменной и их системы. Глава 4. Неравенства - номер 886, страница 199.
№886 (с. 199)
Условие. №886 (с. 199)
скриншот условия

886. Решите систему неравенств:
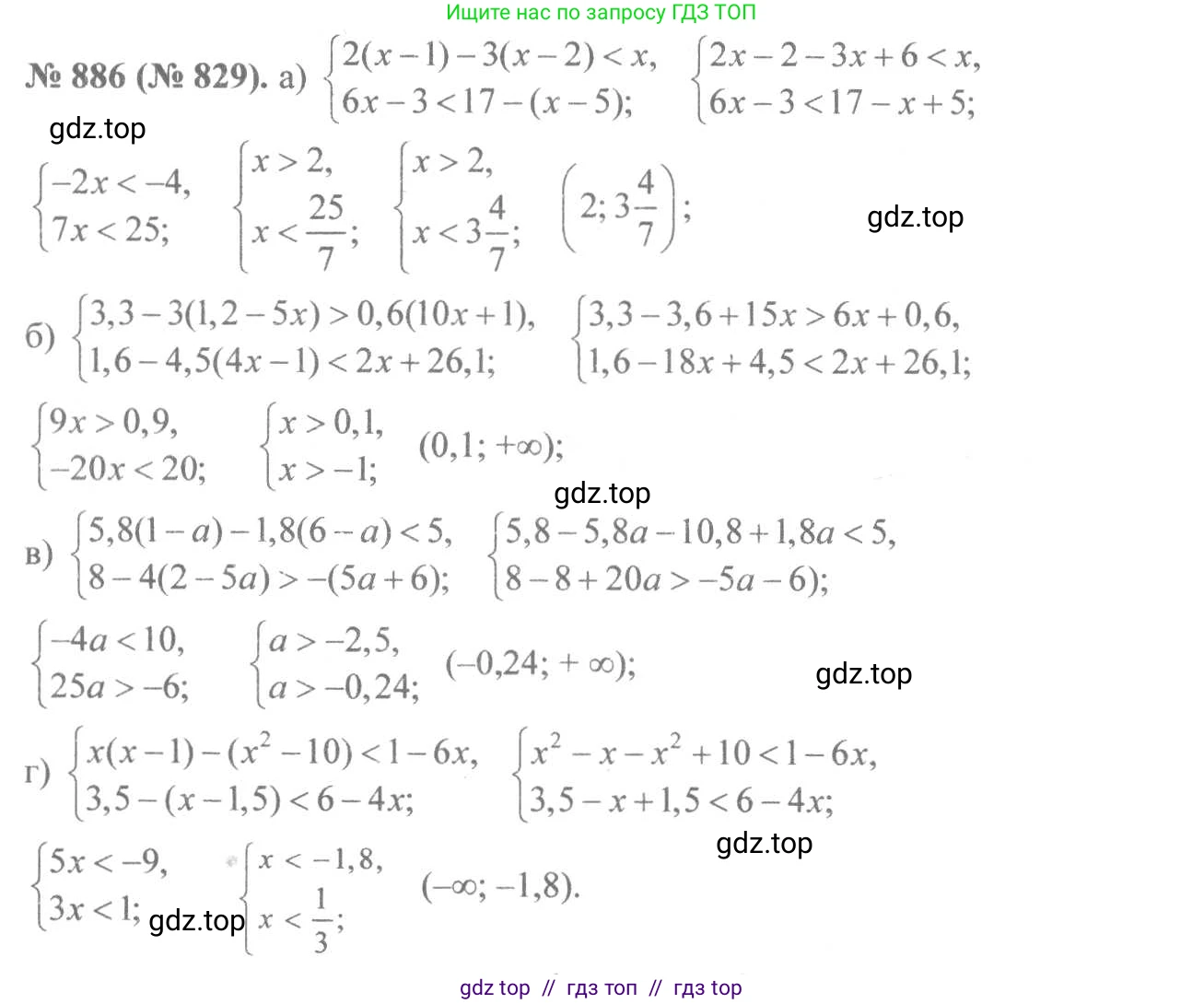
а) $\begin{cases}2(x - 1) - 3(x - 2) < x, \\6x - 3 < 17 - (x - 5);\end{cases}$
б) $\begin{cases}3.3 - 3(1.2 - 5x) > 0.6(10x + 1), \\1.6 - 4.5(4x - 1) < 2x + 26.1;\end{cases}$
в) $\begin{cases}5.8(1 - a) - 1.8(6 - a) < 5, \\8 - 4(2 - 5a) > -(5a + 6);\end{cases}$
г) $\begin{cases}x(x - 1) - (x^2 - 10) < 1 - 6x, \\3.5 - (x - 1.5) < 6 - 4x.\end{cases}$
Решение 1. №886 (с. 199)




Решение 2. №886 (с. 199)

Решение 3. №886 (с. 199)

Решение 4. №886 (с. 199)

Решение 6. №886 (с. 199)


Решение 8. №886 (с. 199)
а) Решим систему неравенств:
$ \begin{cases} 2(x - 1) - 3(x - 2) < x \\ 6x - 3 < 17 - (x - 5) \end{cases} $
Решим первое неравенство:
$2(x - 1) - 3(x - 2) < x$
$2x - 2 - 3x + 6 < x$
$-x + 4 < x$
$4 < x + x$
$4 < 2x$
$2 < x$
Решим второе неравенство:
$6x - 3 < 17 - (x - 5)$
$6x - 3 < 17 - x + 5$
$6x - 3 < 22 - x$
$6x + x < 22 + 3$
$7x < 25$
$x < \frac{25}{7}$
Решением системы является пересечение промежутков $x > 2$ и $x < \frac{25}{7}$.
Таким образом, $2 < x < \frac{25}{7}$.
Ответ: $(2; \frac{25}{7})$
б) Решим систему неравенств:
$ \begin{cases} 3,3 - 3(1,2 - 5x) > 0,6(10x + 1) \\ 1,6 - 4,5(4x - 1) < 2x + 26,1 \end{cases} $
Решим первое неравенство:
$3,3 - 3(1,2 - 5x) > 0,6(10x + 1)$
$3,3 - 3,6 + 15x > 6x + 0,6$
$-0,3 + 15x > 6x + 0,6$
$15x - 6x > 0,6 + 0,3$
$9x > 0,9$
$x > 0,1$
Решим второе неравенство:
$1,6 - 4,5(4x - 1) < 2x + 26,1$
$1,6 - 18x + 4,5 < 2x + 26,1$
$6,1 - 18x < 2x + 26,1$
$6,1 - 26,1 < 2x + 18x$
$-20 < 20x$
$-1 < x$
Решением системы является пересечение промежутков $x > 0,1$ и $x > -1$.
Таким образом, $x > 0,1$.
Ответ: $(0,1; +\infty)$
в) Решим систему неравенств:
$ \begin{cases} 5,8(1 - a) - 1,8(6 - a) < 5 \\ 8 - 4(2 - 5a) > -(5a + 6) \end{cases} $
Решим первое неравенство:
$5,8(1 - a) - 1,8(6 - a) < 5$
$5,8 - 5,8a - 10,8 + 1,8a < 5$
$-5 - 4a < 5$
$-4a < 5 + 5$
$-4a < 10$
$a > \frac{10}{-4}$
$a > -2,5$
Решим второе неравенство:
$8 - 4(2 - 5a) > -(5a + 6)$
$8 - 8 + 20a > -5a - 6$
$20a > -5a - 6$
$20a + 5a > -6$
$25a > -6$
$a > -\frac{6}{25}$
$a > -0,24$
Решением системы является пересечение промежутков $a > -2,5$ и $a > -0,24$.
Таким образом, $a > -0,24$.
Ответ: $(-0,24; +\infty)$
г) Решим систему неравенств:
$ \begin{cases} x(x - 1) - (x^2 - 10) < 1 - 6x \\ 3,5 - (x - 1,5) < 6 - 4x \end{cases} $
Решим первое неравенство:
$x(x - 1) - (x^2 - 10) < 1 - 6x$
$x^2 - x - x^2 + 10 < 1 - 6x$
$-x + 10 < 1 - 6x$
$-x + 6x < 1 - 10$
$5x < -9$
$x < -\frac{9}{5}$
$x < -1,8$
Решим второе неравенство:
$3,5 - (x - 1,5) < 6 - 4x$
$3,5 - x + 1,5 < 6 - 4x$
$5 - x < 6 - 4x$
$-x + 4x < 6 - 5$
$3x < 1$
$x < \frac{1}{3}$
Решением системы является пересечение промежутков $x < -1,8$ и $x < \frac{1}{3}$.
Так как $-1,8 < \frac{1}{3}$, то пересечением является $x < -1,8$.
Ответ: $(-\infty; -1,8)$
Другие задания:
Помогло решение? Оставьте отзыв в комментариях ниже.
Мы подготовили для вас ответ c подробным объяснением домашего задания по алгебре за 8 класс, для упражнения номер 886 расположенного на странице 199 к учебнику 2019 - 2022 года издания для учащихся школ и гимназий.
Теперь на нашем сайте ГДЗ.ТОП вы всегда легко и бесплатно найдёте условие с правильным ответом на вопрос «Как решить ДЗ» и «Как сделать» задание по алгебре к упражнению №886 (с. 199), авторов: Макарычев (Юрий Николаевич), Миндюк (Нора Григорьевна), Нешков (Константин Иванович), Суворова (Светлана Борисовна), ФГОС (старый) учебного пособия издательства Просвещение.