Номер 955, страница 211 - гдз по алгебре 8 класс учебник Макарычев, Миндюк

Авторы: Макарычев Ю. Н., Миндюк Н. Г., Нешков К. И., Суворова С. Б.
Тип: Учебник
Издательство: Просвещение
Год издания: 2019 - 2022
Цвет обложки: белый, голубой, фиолетовый
ISBN: 978-5-09-087569-1
Допущено Министерством просвещения Российской Федерации
Популярные ГДЗ в 8 классе
К параграфу 11. Дополнительные упражнения к главе IV. Глава 4. Неравенства - номер 955, страница 211.
№955 (с. 211)
Условие. №955 (с. 211)
скриншот условия

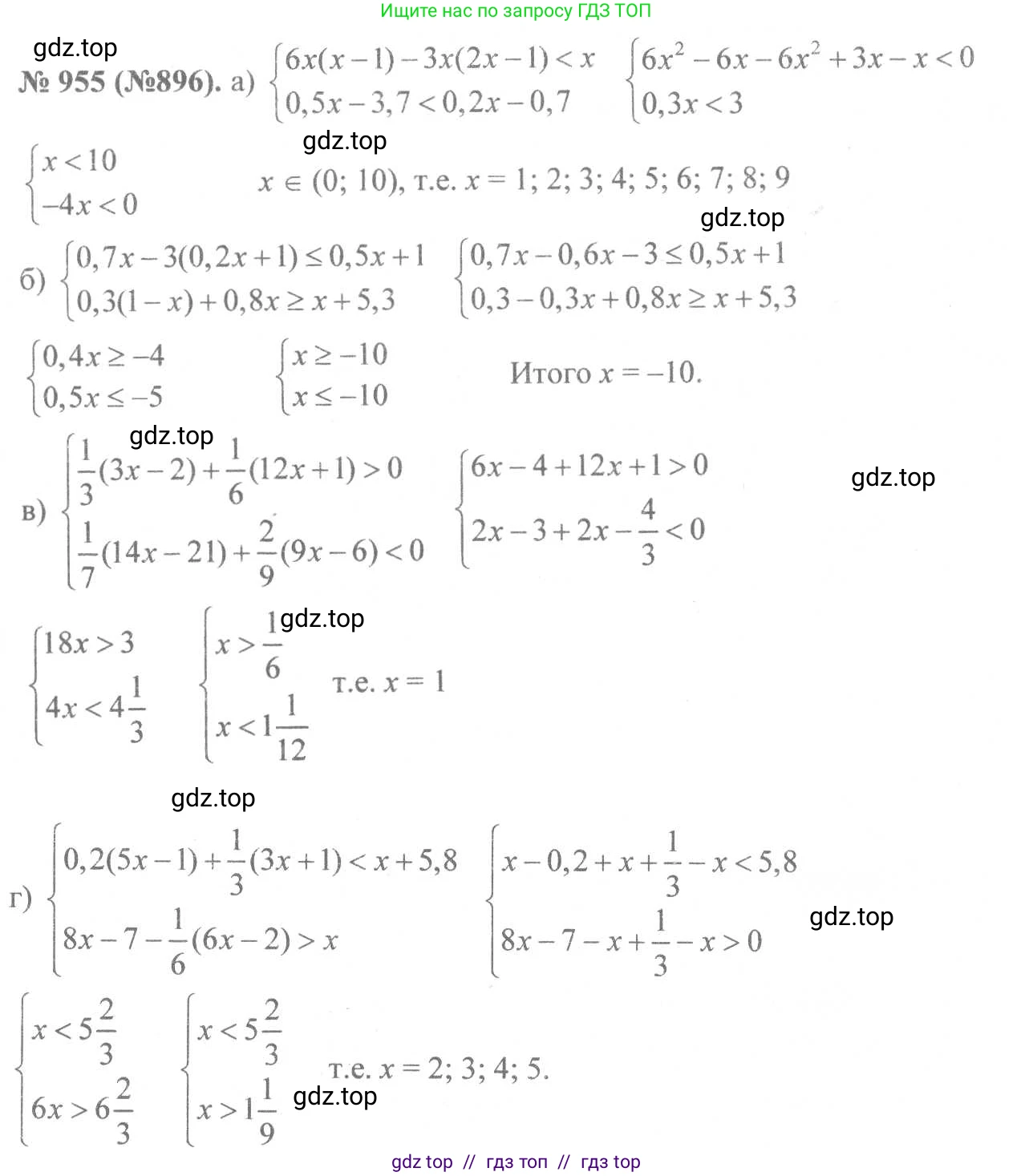
955. Найдите целые решения системы неравенств:
а) $\begin{cases}6x(x - 1) - 3x(2x - 1) < x, \\0,5x - 3,7 < 0,2x - 0,7;\end{cases}$
б) $\begin{cases}0,7x - 3(0,2x + 1) \le 0,5x + 1, \\0,3(1 - x) + 0,8x \ge x + 5,3;\end{cases}$
В) $\begin{cases}\frac{1}{3}(3x - 2) + \frac{1}{6}(12x + 1) > 0, \\\frac{1}{7}(14x - 21) + \frac{2}{9}(9x - 6) < 0;\end{cases}$
Г) $\begin{cases}0,2(5x - 1) + \frac{1}{3}(3x + 1) < x + 5,8, \\8x - 7 - \frac{1}{6}(6x - 2) > x.\end{cases}$
Решение 1. №955 (с. 211)




Решение 2. №955 (с. 211)

Решение 3. №955 (с. 211)

Решение 4. №955 (с. 211)

Решение 6. №955 (с. 211)


Решение 8. №955 (с. 211)
а) Решим систему неравенств:
$ \begin{cases} 6x(x - 1) - 3x(2x - 1) < x, \\ 0,5x - 3,7 < 0,2x - 0,7; \end{cases} $
1. Решим первое неравенство:
$6x^2 - 6x - (6x^2 - 3x) < x$
$6x^2 - 6x - 6x^2 + 3x < x$
$-3x < x$
$-3x - x < 0$
$-4x < 0$
Разделим обе части на -4 и сменим знак неравенства:
$x > 0$
2. Решим второе неравенство:
$0,5x - 3,7 < 0,2x - 0,7$
$0,5x - 0,2x < 3,7 - 0,7$
$0,3x < 3$
Разделим обе части на 0,3:
$x < 10$
3. Найдем пересечение решений: $x > 0$ и $x < 10$.
Решением системы является интервал $x \in (0; 10)$.
Целые числа, входящие в этот интервал: 1, 2, 3, 4, 5, 6, 7, 8, 9.
Ответ: 1, 2, 3, 4, 5, 6, 7, 8, 9.
б) Решим систему неравенств:
$ \begin{cases} 0,7x - 3(0,2x + 1) \le 0,5x + 1, \\ 0,3(1 - x) + 0,8x \ge x + 5,3; \end{cases} $
1. Решим первое неравенство:
$0,7x - 0,6x - 3 \le 0,5x + 1$
$0,1x - 3 \le 0,5x + 1$
$0,1x - 0,5x \le 1 + 3$
$-0,4x \le 4$
Разделим обе части на -0,4 и сменим знак неравенства:
$x \ge -10$
2. Решим второе неравенство:
$0,3 - 0,3x + 0,8x \ge x + 5,3$
$0,3 + 0,5x \ge x + 5,3$
$0,5x - x \ge 5,3 - 0,3$
$-0,5x \ge 5$
Разделим обе части на -0,5 и сменим знак неравенства:
$x \le -10$
3. Найдем пересечение решений: $x \ge -10$ и $x \le -10$.
Единственное число, удовлетворяющее обоим условиям, это $x = -10$.
Это целое число.
Ответ: -10.
в) Решим систему неравенств:
$ \begin{cases} \frac{1}{3}(3x - 2) + \frac{1}{6}(12x + 1) > 0, \\ \frac{1}{7}(14x - 21) + \frac{2}{9}(9x - 6) < 0; \end{cases} $
1. Решим первое неравенство. Умножим обе части на 6, чтобы избавиться от дробей:
$2(3x - 2) + (12x + 1) > 0$
$6x - 4 + 12x + 1 > 0$
$18x - 3 > 0$
$18x > 3$
$x > \frac{3}{18}$
$x > \frac{1}{6}$
2. Решим второе неравенство. Раскроем скобки:
$(\frac{14}{7}x - \frac{21}{7}) + (\frac{18}{9}x - \frac{12}{9}) < 0$
$2x - 3 + 2x - \frac{4}{3} < 0$
$4x - 3 - \frac{4}{3} < 0$
$4x - \frac{9}{3} - \frac{4}{3} < 0$
$4x - \frac{13}{3} < 0$
$4x < \frac{13}{3}$
$x < \frac{13}{12}$
3. Найдем пересечение решений: $\frac{1}{6} < x < \frac{13}{12}$.
Так как $\frac{1}{6} \approx 0,167$ и $\frac{13}{12} = 1\frac{1}{12} \approx 1,083$, то искомый интервал $( \frac{1}{6}; \frac{13}{12} )$.
Единственное целое число в этом интервале — это 1.
Ответ: 1.
г) Решим систему неравенств:
$ \begin{cases} 0,2(5x - 1) + \frac{1}{3}(3x + 1) < x + 5,8, \\ 8x - 7 - \frac{1}{6}(6x - 2) > x. \end{cases} $
1. Решим первое неравенство:
$x - 0,2 + x + \frac{1}{3} < x + 5,8$
$2x - 0,2 + \frac{1}{3} < x + 5,8$
$2x - x < 5,8 + 0,2 - \frac{1}{3}$
$x < 6 - \frac{1}{3}$
$x < \frac{18}{3} - \frac{1}{3}$
$x < \frac{17}{3}$
2. Решим второе неравенство:
$8x - 7 - (\frac{6}{6}x - \frac{2}{6}) > x$
$8x - 7 - (x - \frac{1}{3}) > x$
$8x - 7 - x + \frac{1}{3} > x$
$7x - 7 + \frac{1}{3} > x$
$7x - x > 7 - \frac{1}{3}$
$6x > \frac{21}{3} - \frac{1}{3}$
$6x > \frac{20}{3}$
$x > \frac{20}{3 \cdot 6}$
$x > \frac{20}{18}$
$x > \frac{10}{9}$
3. Найдем пересечение решений: $\frac{10}{9} < x < \frac{17}{3}$.
Так как $\frac{10}{9} = 1\frac{1}{9} \approx 1,11$ и $\frac{17}{3} = 5\frac{2}{3} \approx 5,67$, то искомый интервал $( 1\frac{1}{9}; 5\frac{2}{3} )$.
Целые числа, входящие в этот интервал: 2, 3, 4, 5.
Ответ: 2, 3, 4, 5.
Другие задания:
Помогло решение? Оставьте отзыв в комментариях ниже.
Мы подготовили для вас ответ c подробным объяснением домашего задания по алгебре за 8 класс, для упражнения номер 955 расположенного на странице 211 к учебнику 2019 - 2022 года издания для учащихся школ и гимназий.
Теперь на нашем сайте ГДЗ.ТОП вы всегда легко и бесплатно найдёте условие с правильным ответом на вопрос «Как решить ДЗ» и «Как сделать» задание по алгебре к упражнению №955 (с. 211), авторов: Макарычев (Юрий Николаевич), Миндюк (Нора Григорьевна), Нешков (Константин Иванович), Суворова (Светлана Борисовна), ФГОС (старый) учебного пособия издательства Просвещение.