Номер 2.39, страница 23, часть 2 - гдз по алгебре 8 класс учебник Мордкович, Александрова

Алгебра, 8 класс Учебник, авторы: Мордкович Александр Григорьевич, Александрова Лилия Александровна, Мишустина Татьяна Николаевна, Тульчинская Елена Ефимовна, Семенов Павел Владимирович, издательство Мнемозина, Москва, 2019, часть 2

Авторы: Мордкович А. Г., Александрова Л. А., Мишустина Т. Н., Тульчинская Е. Е., Семенов П. В.

Тип: Учебник

Издательство: Мнемозина

Год издания: 2019 - 2025

Часть: 2

Допущено Министерством просвещения Российской Федерации

Популярные ГДЗ в 8 классе

Часть 2. Глава 1. Алгебраические дроби. Параграф 2. Основное свойство алгебраической дроби - номер 2.39, страница 23.

№2.39 (с. 23)
Условие. №2.39 (с. 23)
скриншот условия
Алгебра, 8 класс Учебник, авторы: Мордкович Александр Григорьевич, Александрова Лилия Александровна, Мишустина Татьяна Николаевна, Тульчинская Елена Ефимовна, Семенов Павел Владимирович, издательство Мнемозина, Москва, 2019, Часть 2, страница 23, номер 2.39, Условие

2.39 a) $ \frac{x}{x+y} $, $ \frac{y}{x-y} $ и $ \frac{5}{xy} $;

б) $ \frac{1+x+x^2}{x-2} $, $ \frac{x+2}{x-1} $ и $ 2x $;

в) $ \frac{p}{p-q} $, $ \frac{q}{p+q} $ и $ \frac{3}{pq} $;

г) $ \frac{y-5}{y+1} $, $ 5y $ и $ \frac{y^2-y+1}{y+5} $.

Решение 1. №2.39 (с. 23)
Алгебра, 8 класс Учебник, авторы: Мордкович Александр Григорьевич, Александрова Лилия Александровна, Мишустина Татьяна Николаевна, Тульчинская Елена Ефимовна, Семенов Павел Владимирович, издательство Мнемозина, Москва, 2019, Часть 2, страница 23, номер 2.39, Решение 1
Алгебра, 8 класс Учебник, авторы: Мордкович Александр Григорьевич, Александрова Лилия Александровна, Мишустина Татьяна Николаевна, Тульчинская Елена Ефимовна, Семенов Павел Владимирович, издательство Мнемозина, Москва, 2019, Часть 2, страница 23, номер 2.39, Решение 1 (продолжение 2)
Алгебра, 8 класс Учебник, авторы: Мордкович Александр Григорьевич, Александрова Лилия Александровна, Мишустина Татьяна Николаевна, Тульчинская Елена Ефимовна, Семенов Павел Владимирович, издательство Мнемозина, Москва, 2019, Часть 2, страница 23, номер 2.39, Решение 1 (продолжение 3)
Алгебра, 8 класс Учебник, авторы: Мордкович Александр Григорьевич, Александрова Лилия Александровна, Мишустина Татьяна Николаевна, Тульчинская Елена Ефимовна, Семенов Павел Владимирович, издательство Мнемозина, Москва, 2019, Часть 2, страница 23, номер 2.39, Решение 1 (продолжение 4)
Решение 2. №2.39 (с. 23)
Алгебра, 8 класс Учебник, авторы: Мордкович Александр Григорьевич, Александрова Лилия Александровна, Мишустина Татьяна Николаевна, Тульчинская Елена Ефимовна, Семенов Павел Владимирович, издательство Мнемозина, Москва, 2019, Часть 2, страница 23, номер 2.39, Решение 2
Решение 4. №2.39 (с. 23)
Алгебра, 8 класс Учебник, авторы: Мордкович Александр Григорьевич, Александрова Лилия Александровна, Мишустина Татьяна Николаевна, Тульчинская Елена Ефимовна, Семенов Павел Владимирович, издательство Мнемозина, Москва, 2019, Часть 2, страница 23, номер 2.39, Решение 4
Решение 6. №2.39 (с. 23)

а) Чтобы привести дроби $ \frac{x}{x+y} $, $ \frac{y}{x-y} $ и $ \frac{5}{xy} $ к общему знаменателю, сначала найдем их наименьший общий знаменатель (НОЗ).
Знаменатели дробей: $ (x+y) $, $ (x-y) $ и $ xy $. Эти множители не имеют общих делителей, кроме 1.
Следовательно, НОЗ равен их произведению: $ НОЗ = xy(x+y)(x-y) = xy(x^2 - y^2) $.
Теперь приведем каждую дробь к этому знаменателю, домножив ее числитель и знаменатель на соответствующий дополнительный множитель.
Для дроби $ \frac{x}{x+y} $ дополнительный множитель равен $ \frac{xy(x+y)(x-y)}{x+y} = xy(x-y) $.
$ \frac{x}{x+y} = \frac{x \cdot xy(x-y)}{(x+y) \cdot xy(x-y)} = \frac{x^2y(x-y)}{xy(x^2-y^2)} = \frac{x^3y - x^2y^2}{xy(x^2-y^2)} $.
Для дроби $ \frac{y}{x-y} $ дополнительный множитель равен $ \frac{xy(x+y)(x-y)}{x-y} = xy(x+y) $.
$ \frac{y}{x-y} = \frac{y \cdot xy(x+y)}{(x-y) \cdot xy(x+y)} = \frac{xy^2(x+y)}{xy(x^2-y^2)} = \frac{x^2y^2 + xy^3}{xy(x^2-y^2)} $.
Для дроби $ \frac{5}{xy} $ дополнительный множитель равен $ \frac{xy(x+y)(x-y)}{xy} = (x+y)(x-y) = x^2-y^2 $.
$ \frac{5}{xy} = \frac{5 \cdot (x^2-y^2)}{xy \cdot (x^2-y^2)} = \frac{5x^2 - 5y^2}{xy(x^2-y^2)} $.
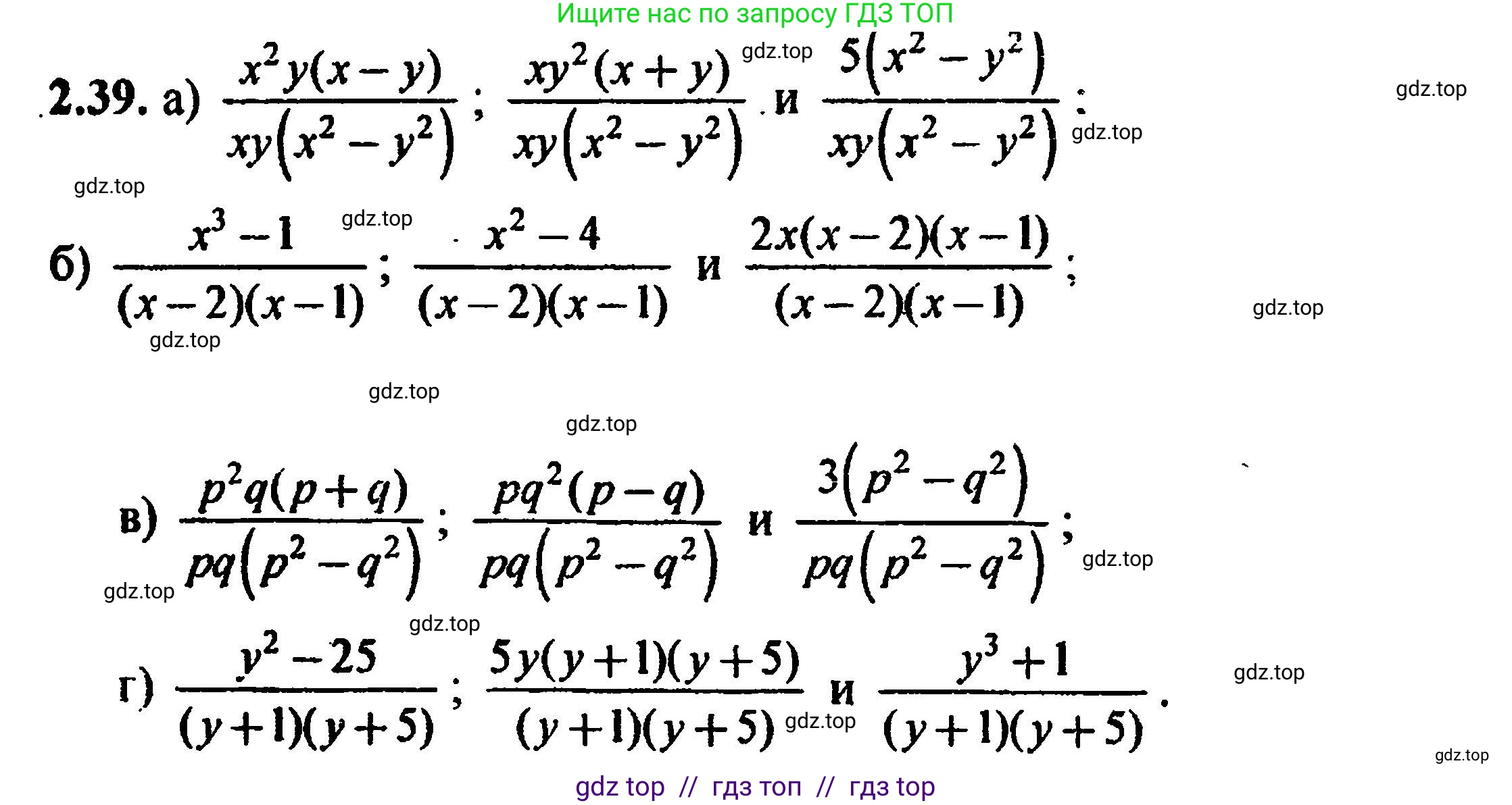
Ответ: $ \frac{x^3y - x^2y^2}{xy(x^2-y^2)} $, $ \frac{x^2y^2 + xy^3}{xy(x^2-y^2)} $, $ \frac{5x^2 - 5y^2}{xy(x^2-y^2)} $.

б) Даны выражения $ \frac{1+x+x^2}{x-2} $, $ \frac{x+2}{x-1} $ и $ 2x $. Представим $ 2x $ в виде дроби со знаменателем 1: $ \frac{2x}{1} $.
Знаменатели дробей: $ (x-2) $, $ (x-1) $ и $ 1 $.
Наименьший общий знаменатель равен произведению этих знаменателей: $ НОЗ = (x-2)(x-1) $.
Приведем каждое выражение к общему знаменателю.
Для дроби $ \frac{1+x+x^2}{x-2} $ дополнительный множитель: $ x-1 $.
$ \frac{1+x+x^2}{x-2} = \frac{(x^2+x+1)(x-1)}{(x-2)(x-1)} = \frac{x^3-1}{(x-2)(x-1)} $.
Для дроби $ \frac{x+2}{x-1} $ дополнительный множитель: $ x-2 $.
$ \frac{x+2}{x-1} = \frac{(x+2)(x-2)}{(x-1)(x-2)} = \frac{x^2-4}{(x-2)(x-1)} $.
Для выражения $ \frac{2x}{1} $ дополнительный множитель: $ (x-2)(x-1) = x^2-3x+2 $.
$ \frac{2x}{1} = \frac{2x(x-2)(x-1)}{(x-2)(x-1)} = \frac{2x(x^2-3x+2)}{(x-2)(x-1)} = \frac{2x^3 - 6x^2 + 4x}{(x-2)(x-1)} $.
Ответ: $ \frac{x^3-1}{(x-2)(x-1)} $, $ \frac{x^2-4}{(x-2)(x-1)} $, $ \frac{2x^3 - 6x^2 + 4x}{(x-2)(x-1)} $.

в) Даны дроби $ \frac{p}{p-q} $, $ \frac{q}{p+q} $ и $ \frac{3}{pq} $.
Знаменатели дробей: $ (p-q) $, $ (p+q) $ и $ pq $. Они являются взаимно простыми.
Наименьший общий знаменатель равен их произведению: $ НОЗ = pq(p-q)(p+q) = pq(p^2 - q^2) $.
Приведем каждую дробь к этому знаменателю.
Для дроби $ \frac{p}{p-q} $ дополнительный множитель: $ pq(p+q) $.
$ \frac{p}{p-q} = \frac{p \cdot pq(p+q)}{(p-q) \cdot pq(p+q)} = \frac{p^2q(p+q)}{pq(p^2-q^2)} = \frac{p^3q + p^2q^2}{pq(p^2-q^2)} $.
Для дроби $ \frac{q}{p+q} $ дополнительный множитель: $ pq(p-q) $.
$ \frac{q}{p+q} = \frac{q \cdot pq(p-q)}{(p+q) \cdot pq(p-q)} = \frac{pq^2(p-q)}{pq(p^2-q^2)} = \frac{p^2q^2 - pq^3}{pq(p^2-q^2)} $.
Для дроби $ \frac{3}{pq} $ дополнительный множитель: $ (p-q)(p+q) = p^2-q^2 $.
$ \frac{3}{pq} = \frac{3(p^2-q^2)}{pq(p^2-q^2)} = \frac{3p^2 - 3q^2}{pq(p^2-q^2)} $.
Ответ: $ \frac{p^3q + p^2q^2}{pq(p^2-q^2)} $, $ \frac{p^2q^2 - pq^3}{pq(p^2-q^2)} $, $ \frac{3p^2 - 3q^2}{pq(p^2-q^2)} $.

г) Даны выражения $ \frac{y-5}{y+1} $, $ 5y $ и $ \frac{y^2-y+1}{y+5} $. Представим $ 5y $ как дробь $ \frac{5y}{1} $.
Знаменатели: $ (y+1) $, $ 1 $ и $ (y+5) $.
Наименьший общий знаменатель: $ НОЗ = (y+1)(y+5) $.
Приведем каждое выражение к общему знаменателю.
Для дроби $ \frac{y-5}{y+1} $ дополнительный множитель: $ y+5 $.
$ \frac{y-5}{y+1} = \frac{(y-5)(y+5)}{(y+1)(y+5)} = \frac{y^2-25}{(y+1)(y+5)} $.
Для выражения $ \frac{5y}{1} $ дополнительный множитель: $ (y+1)(y+5) = y^2+6y+5 $.
$ \frac{5y}{1} = \frac{5y(y+1)(y+5)}{(y+1)(y+5)} = \frac{5y(y^2+6y+5)}{(y+1)(y+5)} = \frac{5y^3 + 30y^2 + 25y}{(y+1)(y+5)} $.
Для дроби $ \frac{y^2-y+1}{y+5} $ дополнительный множитель: $ y+1 $.
$ \frac{y^2-y+1}{y+5} = \frac{(y^2-y+1)(y+1)}{(y+5)(y+1)} = \frac{y^3+1}{(y+1)(y+5)} $.
Ответ: $ \frac{y^2-25}{(y+1)(y+5)} $, $ \frac{5y^3 + 30y^2 + 25y}{(y+1)(y+5)} $, $ \frac{y^3+1}{(y+1)(y+5)} $.

Помогло решение? Оставьте отзыв в комментариях ниже.

Присоединяйтесь к Телеграм-группе @top_gdz

Присоединиться

Мы подготовили для вас ответ c подробным объяснением домашего задания по алгебре за 8 класс, для упражнения номер 2.39 расположенного на странице 23 для 2-й части к учебнику 2019 года издания для учащихся школ и гимназий.

Теперь на нашем сайте ГДЗ.ТОП вы всегда легко и бесплатно найдёте условие с правильным ответом на вопрос «Как решить ДЗ» и «Как сделать» задание по алгебре к упражнению №2.39 (с. 23), авторов: Мордкович (Александр Григорьевич), Александрова (Лилия Александровна), Мишустина (Татьяна Николаевна), Тульчинская (Елена Ефимовна), Семенов (Павел Владимирович), 2-й части учебного пособия издательства Мнемозина.