Номер 2.43, страница 24, часть 2 - гдз по алгебре 8 класс учебник Мордкович, Александрова

Авторы: Мордкович А. Г., Александрова Л. А., Мишустина Т. Н., Тульчинская Е. Е., Семенов П. В.
Тип: Учебник
Издательство: Мнемозина
Год издания: 2019 - 2025
Часть: 2
Цвет обложки:
Допущено Министерством просвещения Российской Федерации
Популярные ГДЗ в 8 классе
Параграф 2. Основное свойство алгебраической дроби. Глава 1. Алгебраические дроби. Часть 2 - номер 2.43, страница 24.
№2.43 (с. 24)
Условие. №2.43 (с. 24)
скриншот условия

2.43 а) $ \frac{4ab}{a^2 - b^2} $, $ \frac{a^2 - ab + b^2}{a^2 - ab} $ и $ \frac{a^2 + ab + b^2}{ab + b^2} $;
б) $ \frac{c - d}{25c^2 - d^2} $, $ \frac{d + 5c}{2cd - 10c^2} $ и $ \frac{5c - d}{15cd + 3d^2} $;
в) $ \frac{6x}{x^2 - 9} $, $ \frac{x^2 - 3x + 9}{12 - 4x} $ и $ \frac{x^2 + 3x + 9}{3x + x^2} $;
г) $ \frac{p + q}{q^2 - 16p^2} $, $ \frac{q + 4p}{4p^2 - pq} $ и $ \frac{q - 4p}{2q^2 + 8pq} $.
Решение 1. №2.43 (с. 24)




Решение 2. №2.43 (с. 24)

Решение 4. №2.43 (с. 24)


Решение 6. №2.43 (с. 24)
а) Приведем дроби $ \frac{4ab}{a^2 - b^2} $, $ \frac{a^2 - ab + b^2}{a^2 - ab} $ и $ \frac{a^2 + ab + b^2}{ab + b^2} $ к общему знаменателю.
Сначала разложим на множители знаменатели каждой дроби, используя формулу разности квадратов $ x^2-y^2=(x-y)(x+y) $ и вынесение общего множителя за скобки:
$ a^2 - b^2 = (a - b)(a + b) $
$ a^2 - ab = a(a - b) $
$ ab + b^2 = b(a + b) $
Наименьший общий знаменатель (НОЗ) — это произведение всех уникальных множителей в наивысшей встречающейся степени. В данном случае НОЗ равен $ a \cdot b \cdot (a - b) \cdot (a + b) = ab(a^2 - b^2) $.
Теперь найдем дополнительные множители для каждой дроби, разделив НОЗ на знаменатель дроби, и умножим на них числитель и знаменатель:
1. Для дроби $ \frac{4ab}{(a - b)(a + b)} $ дополнительный множитель: $ \frac{ab(a - b)(a + b)}{(a - b)(a + b)} = ab $.
$ \frac{4ab \cdot ab}{ab(a - b)(a + b)} = \frac{4a^2b^2}{ab(a^2 - b^2)} $.
2. Для дроби $ \frac{a^2 - ab + b^2}{a(a - b)} $ дополнительный множитель: $ \frac{ab(a - b)(a + b)}{a(a - b)} = b(a + b) $.
$ \frac{(a^2 - ab + b^2) \cdot b(a + b)}{ab(a - b)(a + b)} = \frac{b(a^3 + b^3)}{ab(a^2 - b^2)} $, используя формулу суммы кубов $ a^3+b^3=(a+b)(a^2-ab+b^2) $.
3. Для дроби $ \frac{a^2 + ab + b^2}{b(a + b)} $ дополнительный множитель: $ \frac{ab(a - b)(a + b)}{b(a + b)} = a(a - b) $.
$ \frac{(a^2 + ab + b^2) \cdot a(a - b)}{ab(a - b)(a + b)} = \frac{a(a^3 - b^3)}{ab(a^2 - b^2)} $, используя формулу разности кубов $ a^3-b^3=(a-b)(a^2+ab+b^2) $.
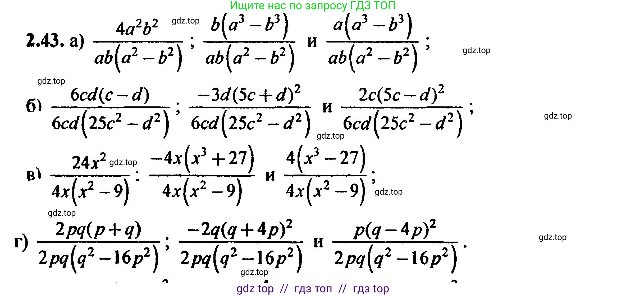
Ответ: $ \frac{4a^2b^2}{ab(a^2 - b^2)} $, $ \frac{b(a^3 + b^3)}{ab(a^2 - b^2)} $, $ \frac{a(a^3 - b^3)}{ab(a^2 - b^2)} $.
б) Приведем дроби $ \frac{c - d}{25c^2 - d^2} $, $ \frac{d + 5c}{2cd - 10c^2} $ и $ \frac{5c - d}{15cd + 3d^2} $ к общему знаменателю.
Разложим знаменатели на множители:
$ 25c^2 - d^2 = (5c - d)(5c + d) $
$ 2cd - 10c^2 = 2c(d - 5c) = -2c(5c - d) $
$ 15cd + 3d^2 = 3d(5c + d) $
Наименьший общий знаменатель: НОЗ$(1, -2, 3) \cdot c \cdot d \cdot (5c - d) \cdot (5c + d) = 6cd(5c - d)(5c + d) = 6cd(25c^2 - d^2) $.
Приведем дроби к НОЗ:
1. Для $ \frac{c - d}{(5c - d)(5c + d)} $ дополнительный множитель $ 6cd $.
$ \frac{(c - d) \cdot 6cd}{6cd(25c^2 - d^2)} = \frac{6c^2d - 6cd^2}{6cd(25c^2 - d^2)} $.
2. Для $ \frac{d + 5c}{-2c(5c - d)} $ дополнительный множитель $ -3d(5c + d) $.
$ \frac{(d + 5c) \cdot (-3d(5c + d))}{6cd(25c^2 - d^2)} = \frac{-3d(5c + d)^2}{6cd(25c^2 - d^2)} $.
3. Для $ \frac{5c - d}{3d(5c + d)} $ дополнительный множитель $ 2c(5c - d) $.
$ \frac{(5c - d) \cdot 2c(5c - d)}{6cd(25c^2 - d^2)} = \frac{2c(5c - d)^2}{6cd(25c^2 - d^2)} $.
Ответ: $ \frac{6c^2d - 6cd^2}{6cd(25c^2 - d^2)} $, $ \frac{-3d(5c + d)^2}{6cd(25c^2 - d^2)} $, $ \frac{2c(5c - d)^2}{6cd(25c^2 - d^2)} $.
в) Приведем дроби $ \frac{6x}{x^2 - 9} $, $ \frac{x^2 - 3x + 9}{12 - 4x} $ и $ \frac{x^2 + 3x + 9}{3x + x^2} $ к общему знаменателю.
Разложим знаменатели на множители:
$ x^2 - 9 = (x - 3)(x + 3) $
$ 12 - 4x = 4(3 - x) = -4(x - 3) $
$ 3x + x^2 = x(3 + x) = x(x + 3) $
Наименьший общий знаменатель: $ 4x(x - 3)(x + 3) = 4x(x^2 - 9) $.
Приведем дроби к НОЗ:
1. Для $ \frac{6x}{(x - 3)(x + 3)} $ дополнительный множитель $ 4x $.
$ \frac{6x \cdot 4x}{4x(x^2 - 9)} = \frac{24x^2}{4x(x^2 - 9)} $.
2. Для $ \frac{x^2 - 3x + 9}{-4(x - 3)} $ дополнительный множитель $ -x(x + 3) $.
$ \frac{(x^2 - 3x + 9) \cdot (-x(x + 3))}{4x(x^2 - 9)} = \frac{-x(x+3)(x^2-3x+9)}{4x(x^2-9)} = \frac{-x(x^3 + 27)}{4x(x^2 - 9)} $.
3. Для $ \frac{x^2 + 3x + 9}{x(x + 3)} $ дополнительный множитель $ 4(x - 3) $.
$ \frac{(x^2 + 3x + 9) \cdot 4(x - 3)}{4x(x^2 - 9)} = \frac{4(x-3)(x^2+3x+9)}{4x(x^2 - 9)} = \frac{4(x^3 - 27)}{4x(x^2 - 9)} $.
Ответ: $ \frac{24x^2}{4x(x^2 - 9)} $, $ \frac{-x(x^3 + 27)}{4x(x^2 - 9)} $, $ \frac{4(x^3 - 27)}{4x(x^2 - 9)} $.
г) Приведем дроби $ \frac{p + q}{q^2 - 16p^2} $, $ \frac{q + 4p}{4p^2 - pq} $ и $ \frac{q - 4p}{2q^2 + 8pq} $ к общему знаменателю.
Разложим знаменатели на множители:
$ q^2 - 16p^2 = (q - 4p)(q + 4p) $
$ 4p^2 - pq = p(4p - q) = -p(q - 4p) $
$ 2q^2 + 8pq = 2q(q + 4p) $
Наименьший общий знаменатель: $ 2pq(q - 4p)(q + 4p) = 2pq(q^2 - 16p^2) $.
Приведем дроби к НОЗ:
1. Для $ \frac{p + q}{(q - 4p)(q + 4p)} $ дополнительный множитель $ 2pq $.
$ \frac{(p + q) \cdot 2pq}{2pq(q^2 - 16p^2)} = \frac{2p^2q + 2pq^2}{2pq(q^2 - 16p^2)} $.
2. Для $ \frac{q + 4p}{-p(q - 4p)} $ дополнительный множитель $ -2q(q + 4p) $.
$ \frac{(q + 4p) \cdot (-2q(q + 4p))}{2pq(q^2 - 16p^2)} = \frac{-2q(q + 4p)^2}{2pq(q^2 - 16p^2)} $.
3. Для $ \frac{q - 4p}{2q(q + 4p)} $ дополнительный множитель $ p(q - 4p) $.
$ \frac{(q - 4p) \cdot p(q - 4p)}{2pq(q^2 - 16p^2)} = \frac{p(q - 4p)^2}{2pq(q^2 - 16p^2)} $.
Ответ: $ \frac{2p^2q + 2pq^2}{2pq(q^2 - 16p^2)} $, $ \frac{-2q(q + 4p)^2}{2pq(q^2 - 16p^2)} $, $ \frac{p(q - 4p)^2}{2pq(q^2 - 16p^2)} $.
Другие задания:
Помогло решение? Оставьте отзыв в комментариях ниже.
Присоединяйтесь к Телеграм-группе @top_gdz
ПрисоединитьсяМы подготовили для вас ответ c подробным объяснением домашего задания по алгебре за 8 класс, для упражнения номер 2.43 расположенного на странице 24 для 2-й части к учебнику 2019 года издания для учащихся школ и гимназий.
Теперь на нашем сайте ГДЗ.ТОП вы всегда легко и бесплатно найдёте условие с правильным ответом на вопрос «Как решить ДЗ» и «Как сделать» задание по алгебре к упражнению №2.43 (с. 24), авторов: Мордкович (Александр Григорьевич), Александрова (Лилия Александровна), Мишустина (Татьяна Николаевна), Тульчинская (Елена Ефимовна), Семенов (Павел Владимирович), 2-й части учебного пособия издательства Мнемозина.