Номер 4.27, страница 33, часть 2 - гдз по алгебре 8 класс учебник Мордкович, Александрова

Авторы: Мордкович А. Г., Александрова Л. А., Мишустина Т. Н., Тульчинская Е. Е., Семенов П. В.
Тип: Учебник
Издательство: Мнемозина
Год издания: 2019 - 2025
Часть: 2
Цвет обложки:
Допущено Министерством просвещения Российской Федерации
Популярные ГДЗ в 8 классе
Параграф 4. Сложение и вычитание алгебраических дробей с разными знаменателями. Глава 1. Алгебраические дроби. Часть 2 - номер 4.27, страница 33.
№4.27 (с. 33)
Условие. №4.27 (с. 33)
скриншот условия

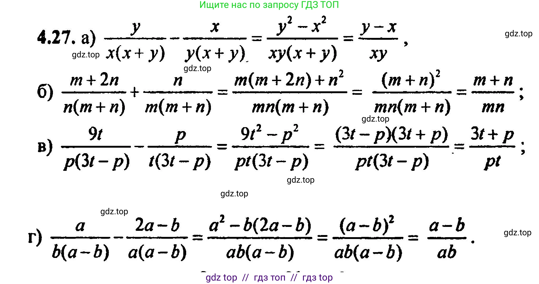
4.27 a) $\frac{y}{x(x + y)} - \frac{x}{y(x + y)};$
б) $\frac{m + 2n}{n(m + n)} + \frac{n}{m(m + n)};$
в) $\frac{9t}{p(3t - p)} - \frac{p}{t(3t - p)};$
г) $\frac{a}{b(a - b)} - \frac{2a - b}{a(a - b)}.$
Решение 1. №4.27 (с. 33)




Решение 2. №4.27 (с. 33)

Решение 4. №4.27 (с. 33)

Решение 6. №4.27 (с. 33)
а) $ \frac{y}{x(x+y)} - \frac{x}{y(x+y)} $
Чтобы вычесть дроби, приведем их к общему знаменателю. Общий знаменатель для дробей $ \frac{y}{x(x+y)} $ и $ \frac{x}{y(x+y)} $ равен $ xy(x+y) $.
Найдем дополнительные множители для каждой дроби. Для первой дроби дополнительный множитель равен $ y $, а для второй — $ x $.
Умножим числители на их дополнительные множители и выполним вычитание:
$ \frac{y \cdot y}{xy(x+y)} - \frac{x \cdot x}{xy(x+y)} = \frac{y^2 - x^2}{xy(x+y)} $
Числитель $ y^2 - x^2 $ является разностью квадратов, которую можно разложить на множители: $ y^2 - x^2 = (y-x)(y+x) $.
Подставим разложенный числитель в дробь:
$ \frac{(y-x)(y+x)}{xy(x+y)} $
Сократим общий множитель $ (x+y) $ в числителе и знаменателе:
$ \frac{y-x}{xy} $
Ответ: $ \frac{y-x}{xy} $
б) $ \frac{m+2n}{n(m+n)} + \frac{n}{m(m+n)} $
Для сложения дробей найдем общий знаменатель. Общий знаменатель для $ n(m+n) $ и $ m(m+n) $ равен $ mn(m+n) $.
Дополнительный множитель для первой дроби — $ m $, для второй — $ n $.
Приведем дроби к общему знаменателю и сложим их:
$ \frac{m(m+2n)}{mn(m+n)} + \frac{n \cdot n}{mn(m+n)} = \frac{m^2+2mn+n^2}{mn(m+n)} $
Числитель $ m^2+2mn+n^2 $ является полным квадратом суммы: $ (m+n)^2 $.
Заменим числитель на его свернутое выражение:
$ \frac{(m+n)^2}{mn(m+n)} $
Сократим дробь на общий множитель $ (m+n) $:
$ \frac{m+n}{mn} $
Ответ: $ \frac{m+n}{mn} $
в) $ \frac{9t}{p(3t-p)} - \frac{p}{t(3t-p)} $
Общим знаменателем для данных дробей является выражение $ pt(3t-p) $.
Дополнительный множитель для первой дроби — $ t $, для второй — $ p $.
Выполним вычитание, умножив числители на соответствующие множители:
$ \frac{9t \cdot t}{pt(3t-p)} - \frac{p \cdot p}{pt(3t-p)} = \frac{9t^2 - p^2}{pt(3t-p)} $
Числитель $ 9t^2 - p^2 $ представляет собой разность квадратов $ (3t)^2 - p^2 $, которую можно разложить на множители $ (3t-p)(3t+p) $.
Подставим разложение в дробь:
$ \frac{(3t-p)(3t+p)}{pt(3t-p)} $
Сократим общий множитель $ (3t-p) $:
$ \frac{3t+p}{pt} $
Ответ: $ \frac{3t+p}{pt} $
г) $ \frac{a}{b(a-b)} - \frac{2a-b}{a(a-b)} $
Общий знаменатель для данных дробей — $ ab(a-b) $.
Дополнительный множитель для первой дроби равен $ a $, для второй — $ b $.
Приведем дроби к общему знаменателю и выполним вычитание. Обратим внимание на знак "минус" перед второй дробью:
$ \frac{a \cdot a}{ab(a-b)} - \frac{b(2a-b)}{ab(a-b)} = \frac{a^2 - (2ab-b^2)}{ab(a-b)} $
Раскроем скобки в числителе:
$ \frac{a^2 - 2ab + b^2}{ab(a-b)} $
Числитель $ a^2 - 2ab + b^2 $ является полным квадратом разности: $ (a-b)^2 $.
Заменим числитель на свернутое выражение:
$ \frac{(a-b)^2}{ab(a-b)} $
Сократим дробь на общий множитель $ (a-b) $:
$ \frac{a-b}{ab} $
Ответ: $ \frac{a-b}{ab} $
Другие задания:
Помогло решение? Оставьте отзыв в комментариях ниже.
Присоединяйтесь к Телеграм-группе @top_gdz
ПрисоединитьсяМы подготовили для вас ответ c подробным объяснением домашего задания по алгебре за 8 класс, для упражнения номер 4.27 расположенного на странице 33 для 2-й части к учебнику 2019 года издания для учащихся школ и гимназий.
Теперь на нашем сайте ГДЗ.ТОП вы всегда легко и бесплатно найдёте условие с правильным ответом на вопрос «Как решить ДЗ» и «Как сделать» задание по алгебре к упражнению №4.27 (с. 33), авторов: Мордкович (Александр Григорьевич), Александрова (Лилия Александровна), Мишустина (Татьяна Николаевна), Тульчинская (Елена Ефимовна), Семенов (Павел Владимирович), 2-й части учебного пособия издательства Мнемозина.