Номер 4.24, страница 32, часть 2 - гдз по алгебре 8 класс учебник Мордкович, Александрова

Авторы: Мордкович А. Г., Александрова Л. А., Мишустина Т. Н., Тульчинская Е. Е., Семенов П. В.
Тип: Учебник
Издательство: Мнемозина
Год издания: 2019 - 2025
Часть: 2
Цвет обложки:
Допущено Министерством просвещения Российской Федерации
Популярные ГДЗ в 8 классе
Параграф 4. Сложение и вычитание алгебраических дробей с разными знаменателями. Глава 1. Алгебраические дроби. Часть 2 - номер 4.24, страница 32.
№4.24 (с. 32)
Условие. №4.24 (с. 32)
скриншот условия

Упростите выражение:
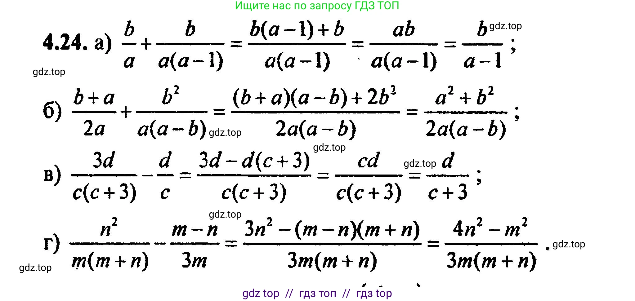
4.24 а) $\frac{b}{a} + \frac{b}{a(a-1)}$;
б) $\frac{b+a}{2a} + \frac{b^2}{a(a-b)}$;
в) $\frac{3d}{c(c+3)} - \frac{d}{c}$;
г) $\frac{n^2}{m(m+n)} - \frac{m-n}{3m}$.
Решение 1. №4.24 (с. 32)




Решение 2. №4.24 (с. 32)

Решение 4. №4.24 (с. 32)

Решение 6. №4.24 (с. 32)
а) Чтобы упростить выражение $\frac{b}{a} + \frac{b}{a(a-1)}$, приведем дроби к общему знаменателю. Общий знаменатель для дробей $\frac{b}{a}$ и $\frac{b}{a(a-1)}$ это $a(a-1)$.
Дополнительный множитель для первой дроби: $(a-1)$. Вторая дробь уже имеет общий знаменатель.
$\frac{b}{a} + \frac{b}{a(a-1)} = \frac{b(a-1)}{a(a-1)} + \frac{b}{a(a-1)} = \frac{b(a-1) + b}{a(a-1)}$
Раскроем скобки в числителе и упростим:
$\frac{ab - b + b}{a(a-1)} = \frac{ab}{a(a-1)}$
Сократим дробь на общий множитель $a$:
$\frac{\cancel{a}b}{\cancel{a}(a-1)} = \frac{b}{a-1}$
Ответ: $\frac{b}{a-1}$
б) Чтобы упростить выражение $\frac{b+a}{2a} + \frac{b^2}{a(a-b)}$, приведем дроби к общему знаменателю. Общий знаменатель для $2a$ и $a(a-b)$ это $2a(a-b)$.
Дополнительный множитель для первой дроби: $(a-b)$. Дополнительный множитель для второй дроби: $2$.
$\frac{(b+a)(a-b)}{2a(a-b)} + \frac{b^2 \cdot 2}{2a(a-b)} = \frac{(a+b)(a-b) + 2b^2}{2a(a-b)}$
В числителе используем формулу разности квадратов $(a+b)(a-b) = a^2 - b^2$:
$\frac{a^2 - b^2 + 2b^2}{2a(a-b)} = \frac{a^2 + b^2}{2a(a-b)}$
Дальнейшее упрощение невозможно.
Ответ: $\frac{a^2 + b^2}{2a(a-b)}$
в) Чтобы упростить выражение $\frac{3d}{c(c+3)} - \frac{d}{c}$, приведем дроби к общему знаменателю $c(c+3)$.
Дополнительный множитель для второй дроби: $(c+3)$.
$\frac{3d}{c(c+3)} - \frac{d(c+3)}{c(c+3)} = \frac{3d - d(c+3)}{c(c+3)}$
Раскроем скобки в числителе и упростим:
$\frac{3d - dc - 3d}{c(c+3)} = \frac{-dc}{c(c+3)}$
Сократим дробь на общий множитель $c$:
$\frac{-d\cancel{c}}{\cancel{c}(c+3)} = \frac{-d}{c+3}$
Ответ: $-\frac{d}{c+3}$
г) Чтобы упростить выражение $\frac{n^2}{m(m+n)} - \frac{m-n}{3m}$, приведем дроби к общему знаменателю. Общий знаменатель для $m(m+n)$ и $3m$ это $3m(m+n)$.
Дополнительный множитель для первой дроби: $3$. Дополнительный множитель для второй дроби: $(m+n)$.
$\frac{n^2 \cdot 3}{3m(m+n)} - \frac{(m-n)(m+n)}{3m(m+n)} = \frac{3n^2 - (m-n)(m+n)}{3m(m+n)}$
В числителе используем формулу разности квадратов $(m-n)(m+n) = m^2 - n^2$:
$\frac{3n^2 - (m^2 - n^2)}{3m(m+n)} = \frac{3n^2 - m^2 + n^2}{3m(m+n)} = \frac{4n^2 - m^2}{3m(m+n)}$
Числитель можно разложить как разность квадратов $(2n-m)(2n+m)$, но это не приведет к дальнейшему сокращению дроби.
Ответ: $\frac{4n^2 - m^2}{3m(m+n)}$
Другие задания:
Помогло решение? Оставьте отзыв в комментариях ниже.
Присоединяйтесь к Телеграм-группе @top_gdz
ПрисоединитьсяМы подготовили для вас ответ c подробным объяснением домашего задания по алгебре за 8 класс, для упражнения номер 4.24 расположенного на странице 32 для 2-й части к учебнику 2019 года издания для учащихся школ и гимназий.
Теперь на нашем сайте ГДЗ.ТОП вы всегда легко и бесплатно найдёте условие с правильным ответом на вопрос «Как решить ДЗ» и «Как сделать» задание по алгебре к упражнению №4.24 (с. 32), авторов: Мордкович (Александр Григорьевич), Александрова (Лилия Александровна), Мишустина (Татьяна Николаевна), Тульчинская (Елена Ефимовна), Семенов (Павел Владимирович), 2-й части учебного пособия издательства Мнемозина.