Номер 4.30, страница 33, часть 2 - гдз по алгебре 8 класс учебник Мордкович, Александрова

Алгебра, 8 класс Учебник, авторы: Мордкович Александр Григорьевич, Александрова Лилия Александровна, Мишустина Татьяна Николаевна, Тульчинская Елена Ефимовна, Семенов Павел Владимирович, издательство Мнемозина, Москва, 2019, часть 2

Авторы: Мордкович А. Г., Александрова Л. А., Мишустина Т. Н., Тульчинская Е. Е., Семенов П. В.

Тип: Учебник

Издательство: Мнемозина

Год издания: 2019 - 2025

Часть: 2

Допущено Министерством просвещения Российской Федерации

Популярные ГДЗ в 8 классе

Часть 2. Глава 1. Алгебраические дроби. Параграф 4. Сложение и вычитание алгебраических дробей с разными знаменателями - номер 4.30, страница 33.

№4.30 (с. 33)
Условие. №4.30 (с. 33)
скриншот условия
Алгебра, 8 класс Учебник, авторы: Мордкович Александр Григорьевич, Александрова Лилия Александровна, Мишустина Татьяна Николаевна, Тульчинская Елена Ефимовна, Семенов Павел Владимирович, издательство Мнемозина, Москва, 2019, Часть 2, страница 33, номер 4.30, Условие

4.30 a) $\frac{c-d}{2d(c+d)} + \frac{c+d}{2d(c-d)};$

б) $\frac{x+4y}{5y(x+y)} - \frac{x-y}{5y(x-4y)};$

в) $\frac{x+y}{4x(x-y)} - \frac{x-y}{4x(x+y)};$

г) $\frac{d-c}{3c(2c+d)} + \frac{2c-d}{3c(c+d)}.$

Решение 1. №4.30 (с. 33)
Алгебра, 8 класс Учебник, авторы: Мордкович Александр Григорьевич, Александрова Лилия Александровна, Мишустина Татьяна Николаевна, Тульчинская Елена Ефимовна, Семенов Павел Владимирович, издательство Мнемозина, Москва, 2019, Часть 2, страница 33, номер 4.30, Решение 1
Алгебра, 8 класс Учебник, авторы: Мордкович Александр Григорьевич, Александрова Лилия Александровна, Мишустина Татьяна Николаевна, Тульчинская Елена Ефимовна, Семенов Павел Владимирович, издательство Мнемозина, Москва, 2019, Часть 2, страница 33, номер 4.30, Решение 1 (продолжение 2)
Алгебра, 8 класс Учебник, авторы: Мордкович Александр Григорьевич, Александрова Лилия Александровна, Мишустина Татьяна Николаевна, Тульчинская Елена Ефимовна, Семенов Павел Владимирович, издательство Мнемозина, Москва, 2019, Часть 2, страница 33, номер 4.30, Решение 1 (продолжение 3)
Алгебра, 8 класс Учебник, авторы: Мордкович Александр Григорьевич, Александрова Лилия Александровна, Мишустина Татьяна Николаевна, Тульчинская Елена Ефимовна, Семенов Павел Владимирович, издательство Мнемозина, Москва, 2019, Часть 2, страница 33, номер 4.30, Решение 1 (продолжение 4)
Решение 2. №4.30 (с. 33)
Алгебра, 8 класс Учебник, авторы: Мордкович Александр Григорьевич, Александрова Лилия Александровна, Мишустина Татьяна Николаевна, Тульчинская Елена Ефимовна, Семенов Павел Владимирович, издательство Мнемозина, Москва, 2019, Часть 2, страница 33, номер 4.30, Решение 2
Решение 4. №4.30 (с. 33)
Алгебра, 8 класс Учебник, авторы: Мордкович Александр Григорьевич, Александрова Лилия Александровна, Мишустина Татьяна Николаевна, Тульчинская Елена Ефимовна, Семенов Павел Владимирович, издательство Мнемозина, Москва, 2019, Часть 2, страница 33, номер 4.30, Решение 4
Решение 6. №4.30 (с. 33)

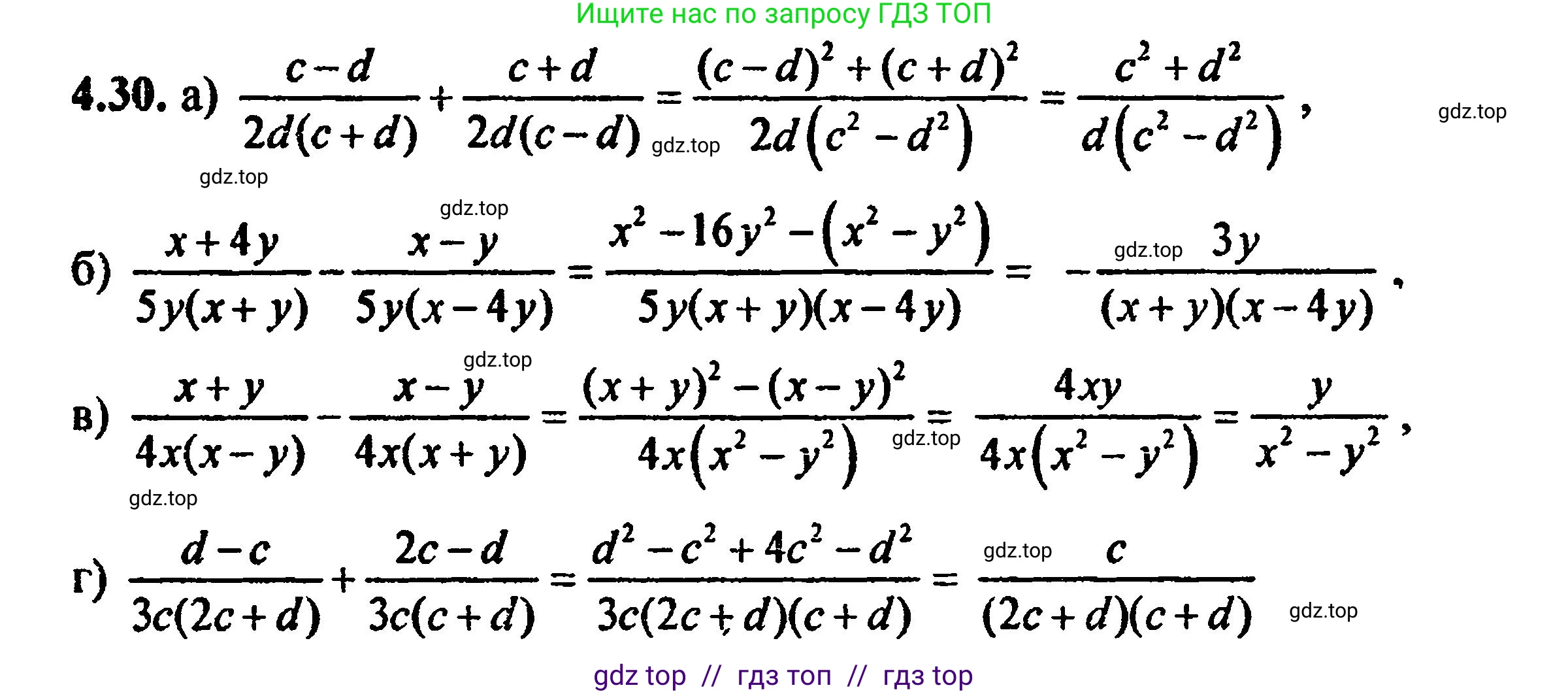
а) Чтобы сложить дроби $ \frac{c-d}{2d(c+d)} + \frac{c+d}{2d(c-d)} $, необходимо привести их к общему знаменателю.
Знаменатели дробей: $ 2d(c+d) $ и $ 2d(c-d) $. Наименьший общий знаменатель (НОЗ) равен произведению всех уникальных множителей: $ 2d(c+d)(c-d) $. Используя формулу разности квадратов, его можно записать как $ 2d(c^2 - d^2) $.
Дополнительный множитель для первой дроби: $ (c-d) $.
Дополнительный множитель для второй дроби: $ (c+d) $.
Приводим дроби к общему знаменателю и складываем их:
$ \frac{(c-d)(c-d)}{2d(c+d)(c-d)} + \frac{(c+d)(c+d)}{2d(c-d)(c+d)} = \frac{(c-d)^2 + (c+d)^2}{2d(c^2 - d^2)} $
Теперь упростим числитель. Раскроем скобки, используя формулы сокращенного умножения:
$ (c-d)^2 = c^2 - 2cd + d^2 $
$ (c+d)^2 = c^2 + 2cd + d^2 $
Сложим полученные выражения:
$ (c^2 - 2cd + d^2) + (c^2 + 2cd + d^2) = 2c^2 + 2d^2 = 2(c^2 + d^2) $
Подставим результат в нашу дробь:
$ \frac{2(c^2 + d^2)}{2d(c^2 - d^2)} $
Сократим общий множитель 2 в числителе и знаменателе:
$ \frac{c^2 + d^2}{d(c^2 - d^2)} $
Ответ: $ \frac{c^2 + d^2}{d(c^2 - d^2)} $

б) Рассмотрим выражение $ \frac{x+4y}{5y(x+y)} - \frac{x-y}{5y(x-4y)} $.
Знаменатели дробей: $ 5y(x+y) $ и $ 5y(x-4y) $. Наименьший общий знаменатель: $ 5y(x+y)(x-4y) $.
Дополнительный множитель для первой дроби: $ (x-4y) $.
Дополнительный множитель для второй дроби: $ (x+y) $.
Приводим дроби к общему знаменателю и выполняем вычитание:
$ \frac{(x+4y)(x-4y)}{5y(x+y)(x-4y)} - \frac{(x-y)(x+y)}{5y(x-4y)(x+y)} = \frac{(x+4y)(x-4y) - (x-y)(x+y)}{5y(x+y)(x-4y)} $
Упростим числитель, используя формулу разности квадратов $ (a-b)(a+b) = a^2 - b^2 $:
$ (x+4y)(x-4y) = x^2 - (4y)^2 = x^2 - 16y^2 $
$ (x-y)(x+y) = x^2 - y^2 $
Вычтем второе из первого в числителе:
$ (x^2 - 16y^2) - (x^2 - y^2) = x^2 - 16y^2 - x^2 + y^2 = -15y^2 $
Подставим результат в дробь:
$ \frac{-15y^2}{5y(x+y)(x-4y)} $
Сократим дробь на общий множитель $ 5y $:
$ \frac{-3y \cdot 5y}{5y(x+y)(x-4y)} = \frac{-3y}{(x+y)(x-4y)} $
Ответ: $ -\frac{3y}{(x+y)(x-4y)} $

в) Выполним вычитание дробей $ \frac{x+y}{4x(x-y)} - \frac{x-y}{4x(x+y)} $.
Наименьший общий знаменатель: $ 4x(x-y)(x+y) = 4x(x^2 - y^2) $.
Дополнительный множитель для первой дроби: $ (x+y) $.
Дополнительный множитель для второй дроби: $ (x-y) $.
Приводим к общему знаменателю:
$ \frac{(x+y)(x+y)}{4x(x-y)(x+y)} - \frac{(x-y)(x-y)}{4x(x+y)(x-y)} = \frac{(x+y)^2 - (x-y)^2}{4x(x^2 - y^2)} $
Упростим числитель. Можно применить формулу разности квадратов $ a^2-b^2 = (a-b)(a+b) $, где $ a = x+y $ и $ b = x-y $:
$ (x+y)^2 - (x-y)^2 = ((x+y) - (x-y))((x+y) + (x-y)) = (x+y-x+y)(x+y+x-y) = (2y)(2x) = 4xy $
Подставим упрощенный числитель в дробь:
$ \frac{4xy}{4x(x^2-y^2)} $
Сократим дробь на $ 4x $:
$ \frac{y}{x^2-y^2} $
Ответ: $ \frac{y}{x^2 - y^2} $

г) Рассмотрим сумму дробей $ \frac{d-c}{3c(2c+d)} + \frac{2c-d}{3c(c+d)} $.
Наименьший общий знаменатель: $ 3c(2c+d)(c+d) $.
Дополнительный множитель для первой дроби: $ (c+d) $.
Дополнительный множитель для второй дроби: $ (2c+d) $.
Приводим к общему знаменателю и складываем:
$ \frac{(d-c)(c+d)}{3c(2c+d)(c+d)} + \frac{(2c-d)(2c+d)}{3c(c+d)(2c+d)} = \frac{(d-c)(c+d) + (2c-d)(2c+d)}{3c(2c+d)(c+d)} $
Упростим числитель, используя формулу разности квадратов:
$ (d-c)(c+d) = (d-c)(d+c) = d^2 - c^2 $
$ (2c-d)(2c+d) = (2c)^2 - d^2 = 4c^2 - d^2 $
Сложим выражения в числителе:
$ (d^2 - c^2) + (4c^2 - d^2) = d^2 - c^2 + 4c^2 - d^2 = 3c^2 $
Подставим результат в дробь:
$ \frac{3c^2}{3c(2c+d)(c+d)} $
Сократим дробь на общий множитель $ 3c $:
$ \frac{c}{(2c+d)(c+d)} $
Ответ: $ \frac{c}{(2c+d)(c+d)} $

Помогло решение? Оставьте отзыв в комментариях ниже.

Присоединяйтесь к Телеграм-группе @top_gdz

Присоединиться

Мы подготовили для вас ответ c подробным объяснением домашего задания по алгебре за 8 класс, для упражнения номер 4.30 расположенного на странице 33 для 2-й части к учебнику 2019 года издания для учащихся школ и гимназий.

Теперь на нашем сайте ГДЗ.ТОП вы всегда легко и бесплатно найдёте условие с правильным ответом на вопрос «Как решить ДЗ» и «Как сделать» задание по алгебре к упражнению №4.30 (с. 33), авторов: Мордкович (Александр Григорьевич), Александрова (Лилия Александровна), Мишустина (Татьяна Николаевна), Тульчинская (Елена Ефимовна), Семенов (Павел Владимирович), 2-й части учебного пособия издательства Мнемозина.