Номер 4.35, страница 34, часть 2 - гдз по алгебре 8 класс учебник Мордкович, Александрова

Авторы: Мордкович А. Г., Александрова Л. А., Мишустина Т. Н., Тульчинская Е. Е., Семенов П. В.
Тип: Учебник
Издательство: Мнемозина
Год издания: 2019 - 2025
Часть: 2
Цвет обложки:
Допущено Министерством просвещения Российской Федерации
Популярные ГДЗ в 8 классе
Параграф 4. Сложение и вычитание алгебраических дробей с разными знаменателями. Глава 1. Алгебраические дроби. Часть 2 - номер 4.35, страница 34.
№4.35 (с. 34)
Условие. №4.35 (с. 34)
скриншот условия

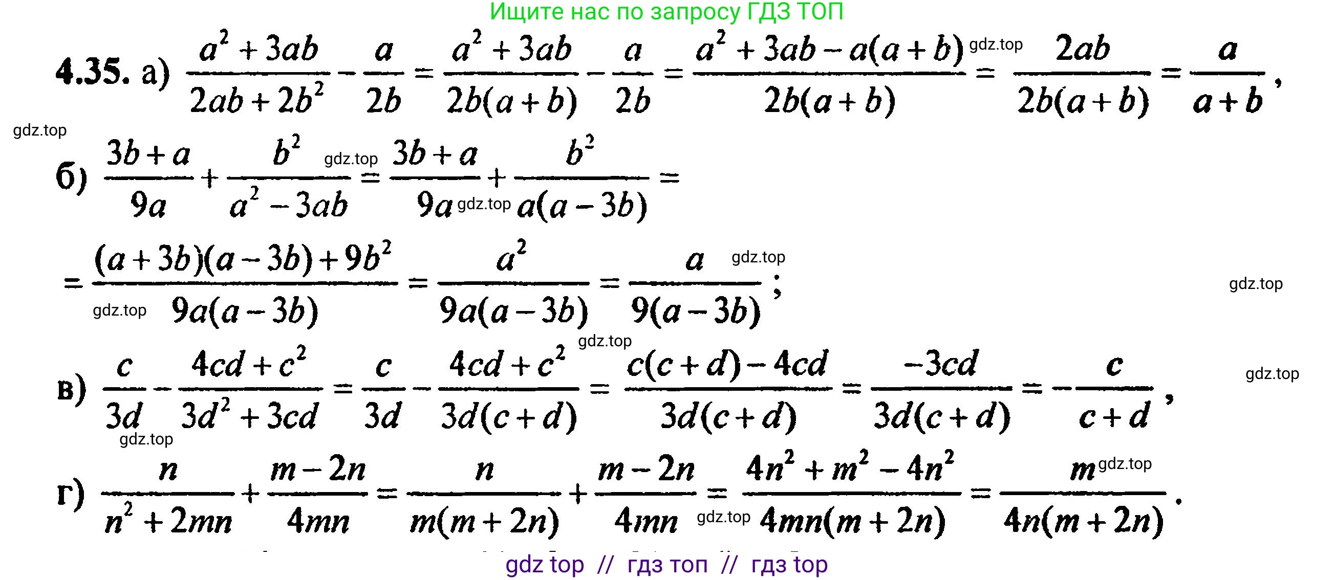
4.35 а) $\frac{a^2 + 3ab}{2ab + 2b^2} - \frac{a}{2b^2};$
б) $\frac{3b + a}{9a} + \frac{b^2}{a^2 - 3ab};$
в) $\frac{c}{3d} - \frac{4cd + c^2}{3d^2 + 3cd};$
г) $\frac{n}{m^2 + 2mn} + \frac{m - 2n}{4mn}.$
Решение 1. №4.35 (с. 34)




Решение 2. №4.35 (с. 34)

Решение 4. №4.35 (с. 34)

Решение 6. №4.35 (с. 34)
а) $\frac{a^2 + 3ab}{2ab + 2b^2} - \frac{a}{2b}$
Чтобы выполнить вычитание дробей, приведем их к общему знаменателю. Для этого сначала разложим на множители знаменатель первой дроби.
$2ab + 2b^2 = 2b(a + b)$
Теперь выражение выглядит так: $\frac{a^2 + 3ab}{2b(a + b)} - \frac{a}{2b}$.
Общий знаменатель для этих дробей – $2b(a + b)$. Домножим числитель и знаменатель второй дроби на дополнительный множитель $(a + b)$.
$\frac{a^2 + 3ab}{2b(a + b)} - \frac{a(a+b)}{2b(a+b)} = \frac{a^2 + 3ab - a(a+b)}{2b(a+b)}$
Раскроем скобки в числителе и приведем подобные слагаемые.
$\frac{a^2 + 3ab - a^2 - ab}{2b(a+b)} = \frac{2ab}{2b(a+b)}$
Сократим полученную дробь на общий множитель $2b$.
$\frac{2ab}{2b(a+b)} = \frac{a}{a+b}$
Ответ: $\frac{a}{a+b}$
б) $\frac{3b + a}{9a} + \frac{b^2}{a^2 - 3ab}$
Приведем дроби к общему знаменателю. Сначала разложим на множители знаменатель второй дроби.
$a^2 - 3ab = a(a - 3b)$
Выражение примет вид: $\frac{a + 3b}{9a} + \frac{b^2}{a(a - 3b)}$.
Общий знаменатель – $9a(a - 3b)$. Дополнительный множитель для первой дроби – $(a - 3b)$, для второй – $9$.
$\frac{(a + 3b)(a - 3b)}{9a(a - 3b)} + \frac{b^2 \cdot 9}{9a(a - 3b)} = \frac{(a + 3b)(a - 3b) + 9b^2}{9a(a - 3b)}$
В числителе используем формулу разности квадратов $(x+y)(x-y)=x^2-y^2$.
$\frac{a^2 - (3b)^2 + 9b^2}{9a(a - 3b)} = \frac{a^2 - 9b^2 + 9b^2}{9a(a - 3b)} = \frac{a^2}{9a(a - 3b)}$
Сократим полученную дробь на $a$.
$\frac{a^2}{9a(a - 3b)} = \frac{a}{9(a - 3b)}$
Ответ: $\frac{a}{9(a - 3b)}$
в) $\frac{c}{3d} - \frac{4cd + c^2}{3d^2 + 3cd}$
Для приведения к общему знаменателю разложим на множители знаменатель второй дроби.
$3d^2 + 3cd = 3d(d + c)$
Выражение: $\frac{c}{3d} - \frac{4cd + c^2}{3d(d + c)}$.
Общий знаменатель – $3d(d + c)$. Дополнительный множитель для первой дроби – $(d + c)$.
$\frac{c(d+c)}{3d(d+c)} - \frac{4cd + c^2}{3d(d+c)} = \frac{c(d+c) - (4cd + c^2)}{3d(d+c)}$
Раскроем скобки в числителе и приведем подобные слагаемые.
$\frac{cd + c^2 - 4cd - c^2}{3d(d+c)} = \frac{-3cd}{3d(d+c)}$
Сократим дробь на $3d$.
$\frac{-3cd}{3d(d+c)} = \frac{-c}{d+c} = -\frac{c}{c+d}$
Ответ: $-\frac{c}{c+d}$
г) $\frac{n}{m^2 + 2mn} + \frac{m - 2n}{4mn}$
Разложим на множители знаменатель первой дроби, чтобы найти общий знаменатель.
$m^2 + 2mn = m(m + 2n)$
Выражение: $\frac{n}{m(m + 2n)} + \frac{m - 2n}{4mn}$.
Общий знаменатель – $4mn(m + 2n)$. Дополнительный множитель для первой дроби – $4n$, для второй – $(m + 2n)$.
$\frac{n \cdot 4n}{4mn(m + 2n)} + \frac{(m - 2n)(m + 2n)}{4mn(m + 2n)} = \frac{4n^2 + (m - 2n)(m + 2n)}{4mn(m + 2n)}$
В числителе применим формулу разности квадратов.
$\frac{4n^2 + m^2 - (2n)^2}{4mn(m + 2n)} = \frac{4n^2 + m^2 - 4n^2}{4mn(m + 2n)} = \frac{m^2}{4mn(m + 2n)}$
Сократим дробь на $m$.
$\frac{m^2}{4mn(m + 2n)} = \frac{m}{4n(m + 2n)}$
Ответ: $\frac{m}{4n(m + 2n)}$
Другие задания:
Помогло решение? Оставьте отзыв в комментариях ниже.
Присоединяйтесь к Телеграм-группе @top_gdz
ПрисоединитьсяМы подготовили для вас ответ c подробным объяснением домашего задания по алгебре за 8 класс, для упражнения номер 4.35 расположенного на странице 34 для 2-й части к учебнику 2019 года издания для учащихся школ и гимназий.
Теперь на нашем сайте ГДЗ.ТОП вы всегда легко и бесплатно найдёте условие с правильным ответом на вопрос «Как решить ДЗ» и «Как сделать» задание по алгебре к упражнению №4.35 (с. 34), авторов: Мордкович (Александр Григорьевич), Александрова (Лилия Александровна), Мишустина (Татьяна Николаевна), Тульчинская (Елена Ефимовна), Семенов (Павел Владимирович), 2-й части учебного пособия издательства Мнемозина.