Номер 4.40, страница 34, часть 2 - гдз по алгебре 8 класс учебник Мордкович, Александрова

Авторы: Мордкович А. Г., Александрова Л. А., Мишустина Т. Н., Тульчинская Е. Е., Семенов П. В.
Тип: Учебник
Издательство: Мнемозина
Год издания: 2019 - 2025
Часть: 2
Цвет обложки:
Допущено Министерством просвещения Российской Федерации
Популярные ГДЗ в 8 классе
Параграф 4. Сложение и вычитание алгебраических дробей с разными знаменателями. Глава 1. Алгебраические дроби. Часть 2 - номер 4.40, страница 34.
№4.40 (с. 34)
Условие. №4.40 (с. 34)
скриншот условия

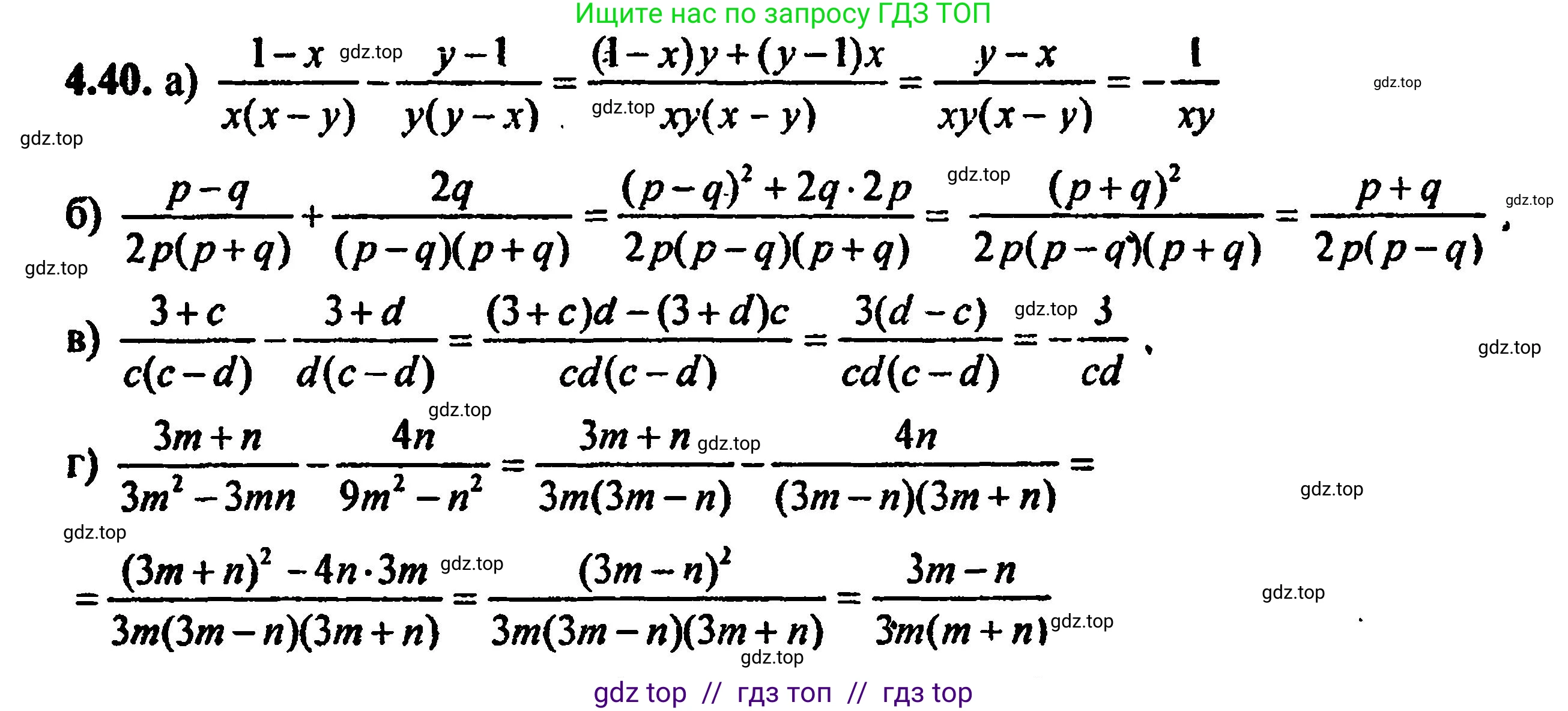
4.40 a) $\frac{1 - x}{x^2 - xy} - \frac{y - 1}{y^2 - xy}$;
б) $\frac{p - q}{2p^2 + 2pq} + \frac{2q}{p^2 - q^2}$;
в) $\frac{3 + c}{c^2 - cd} + \frac{3 + d}{d^2 - cd}$;
г) $\frac{3m + n}{9m^2 - 3mn} - \frac{4n}{9m^2 - n^2}$.
Решение 1. №4.40 (с. 34)




Решение 2. №4.40 (с. 34)

Решение 6. №4.40 (с. 34)
а) Чтобы выполнить вычитание дробей $\frac{1-x}{x^2 - xy} - \frac{y-1}{y^2 - xy}$, сначала упростим знаменатели, вынеся общие множители за скобки.
Знаменатель первой дроби: $x^2 - xy = x(x - y)$.
Знаменатель второй дроби: $y^2 - xy = y(y - x)$.
Заметим, что $(y - x) = -(x - y)$. Поэтому знаменатель второй дроби можно переписать как $-y(x - y)$.
Выражение принимает вид:
$\frac{1-x}{x(x - y)} - \frac{y-1}{-y(x - y)} = \frac{1-x}{x(x - y)} + \frac{y-1}{y(x - y)}$
Теперь найдем общий знаменатель. Он равен $xy(x - y)$.
Приведем дроби к общему знаменателю. Дополнительный множитель для первой дроби — $y$, для второй — $x$.
$\frac{y(1-x)}{xy(x-y)} + \frac{x(y-1)}{xy(x-y)} = \frac{y(1-x) + x(y-1)}{xy(x-y)}$
Раскроем скобки в числителе и упростим его:
$y - xy + xy - x = y - x$
Подставим упрощенный числитель обратно в дробь:
$\frac{y-x}{xy(x-y)}$
Вынесем в числителе $-1$ за скобки: $y - x = -(x - y)$.
$\frac{-(x - y)}{xy(x - y)}$
Сократим общий множитель $(x-y)$:
$-\frac{1}{xy}$
Ответ: $-\frac{1}{xy}$
б) Чтобы выполнить сложение дробей $\frac{p-q}{2p^2 + 2pq} + \frac{2q}{p^2 - q^2}$, разложим знаменатели на множители.
Знаменатель первой дроби: $2p^2 + 2pq = 2p(p + q)$.
Знаменатель второй дроби (разность квадратов): $p^2 - q^2 = (p - q)(p + q)$.
Выражение принимает вид:
$\frac{p-q}{2p(p + q)} + \frac{2q}{(p - q)(p + q)}$
Общий знаменатель равен $2p(p - q)(p + q)$.
Приведем дроби к общему знаменателю. Дополнительный множитель для первой дроби — $(p-q)$, для второй — $2p$.
$\frac{(p-q)(p-q)}{2p(p+q)(p-q)} + \frac{2q \cdot 2p}{2p(p+q)(p-q)} = \frac{(p-q)^2 + 4pq}{2p(p-q)(p+q)}$
Раскроем скобки в числителе и упростим его, используя формулу квадрата разности $(a-b)^2=a^2-2ab+b^2$:
$(p-q)^2 + 4pq = p^2 - 2pq + q^2 + 4pq = p^2 + 2pq + q^2$
Свернем полученное выражение в числителе по формуле квадрата суммы $(a+b)^2=a^2+2ab+b^2$:
$p^2 + 2pq + q^2 = (p+q)^2$
Подставим упрощенный числитель обратно в дробь:
$\frac{(p+q)^2}{2p(p-q)(p+q)}$
Сократим общий множитель $(p+q)$:
$\frac{p+q}{2p(p-q)}$
Ответ: $\frac{p+q}{2p(p-q)}$
в) Чтобы выполнить сложение дробей $\frac{3+c}{c^2 - cd} + \frac{3+d}{d^2 - cd}$, разложим знаменатели на множители.
Знаменатель первой дроби: $c^2 - cd = c(c - d)$.
Знаменатель второй дроби: $d^2 - cd = d(d - c) = -d(c - d)$.
Выражение принимает вид:
$\frac{3+c}{c(c - d)} + \frac{3+d}{-d(c - d)} = \frac{3+c}{c(c - d)} - \frac{3+d}{d(c - d)}$
Общий знаменатель равен $cd(c - d)$.
Приведем дроби к общему знаменателю. Дополнительный множитель для первой дроби — $d$, для второй — $c$.
$\frac{d(3+c)}{cd(c-d)} - \frac{c(3+d)}{cd(c-d)} = \frac{d(3+c) - c(3+d)}{cd(c-d)}$
Раскроем скобки в числителе и упростим его:
$3d + cd - (3c + cd) = 3d + cd - 3c - cd = 3d - 3c = 3(d - c)$
Подставим упрощенный числитель обратно в дробь:
$\frac{3(d-c)}{cd(c-d)}$
Так как $d-c = -(c-d)$, мы можем сократить дробь:
$\frac{-3(c-d)}{cd(c-d)} = -\frac{3}{cd}$
Ответ: $-\frac{3}{cd}$
г) Чтобы выполнить вычитание дробей $\frac{3m+n}{9m^2 - 3mn} - \frac{4n}{9m^2 - n^2}$, разложим знаменатели на множители.
Знаменатель первой дроби: $9m^2 - 3mn = 3m(3m - n)$.
Знаменатель второй дроби (разность квадратов): $9m^2 - n^2 = (3m)^2 - n^2 = (3m - n)(3m + n)$.
Выражение принимает вид:
$\frac{3m+n}{3m(3m - n)} - \frac{4n}{(3m - n)(3m + n)}$
Общий знаменатель равен $3m(3m - n)(3m + n)$.
Приведем дроби к общему знаменателю. Дополнительный множитель для первой дроби — $(3m+n)$, для второй — $3m$.
$\frac{(3m+n)(3m+n)}{3m(3m-n)(3m+n)} - \frac{4n \cdot 3m}{3m(3m-n)(3m+n)} = \frac{(3m+n)^2 - 12mn}{3m(3m-n)(3m+n)}$
Раскроем скобки в числителе и упростим его, используя формулу квадрата суммы $(a+b)^2=a^2+2ab+b^2$:
$(3m+n)^2 - 12mn = (9m^2 + 6mn + n^2) - 12mn = 9m^2 - 6mn + n^2$
Свернем полученное выражение в числителе по формуле квадрата разности $(a-b)^2=a^2-2ab+b^2$:
$9m^2 - 6mn + n^2 = (3m - n)^2$
Подставим упрощенный числитель обратно в дробь:
$\frac{(3m-n)^2}{3m(3m-n)(3m+n)}$
Сократим общий множитель $(3m-n)$:
$\frac{3m-n}{3m(3m+n)}$
Ответ: $\frac{3m-n}{3m(3m+n)}$
Другие задания:
Помогло решение? Оставьте отзыв в комментариях ниже.
Присоединяйтесь к Телеграм-группе @top_gdz
ПрисоединитьсяМы подготовили для вас ответ c подробным объяснением домашего задания по алгебре за 8 класс, для упражнения номер 4.40 расположенного на странице 34 для 2-й части к учебнику 2019 года издания для учащихся школ и гимназий.
Теперь на нашем сайте ГДЗ.ТОП вы всегда легко и бесплатно найдёте условие с правильным ответом на вопрос «Как решить ДЗ» и «Как сделать» задание по алгебре к упражнению №4.40 (с. 34), авторов: Мордкович (Александр Григорьевич), Александрова (Лилия Александровна), Мишустина (Татьяна Николаевна), Тульчинская (Елена Ефимовна), Семенов (Павел Владимирович), 2-й части учебного пособия издательства Мнемозина.